高中数学4.2 导数的乘法与除法法则一等奖课件ppt
展开基本初等函数的导数公式(1)若f(x)=c(常数),则f′(x)=;(2)若f(x)=xα(α∈R),则f′(x)= ;(3)若f(x)=sin x,则f′(x)=;(4)若f(x)=cs x,则f′(x)=;
(5)若f(x)=tan x,则f′(x)=;(6)若f(x)=ct x,则f′(x)=(7)若f(x)=ax,则f′(x)= (a>0);(8)若f(x)=ex,则f′(x)=;(9)若f(x)=lgax,则f′(x)=(a>0,且a≠1);(10)若f(x)=ln x,则f′(x)=.
如果两个已知函数的导数会求或易求,引进四则运算的求导法则,就能得到两个函数的和、差、积、商的导数,就可以将比较复杂的函数的导数问题,化为会求或易求的函数的导数问题,从而使许多函数的求导过程得到简化.
思考:实数有四则运算法则,那么导数呢?学习导数的运算法则有什么用处?
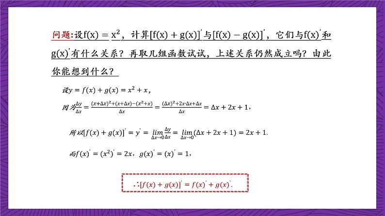
导数加法或减法求导法则
法则1: 两个函数的和(或差)的导数,等于这两个函数的导数的和(或差),即:
证明:令y=f(x)+g(x),则
推广:这个法则可以推广到任意有限个函数,
变式.已知曲线S1:y=x2与S2:y=-(x-2)2,若直线l与S1,S2均相切,求l的方程.
解:设l与S1相切于P(x1,x12),l与S2相切于Q(x2,-(x2-2)2).
若x1=0,x2=2,则l为y=0;若x1=2,x2=0,则l为y=4x-4.
所以所求l的方程为:y=0或y=4x-4.
解:(1)令s=0,即1/4t4-4t3+16t2=0,所以t2(t-8)2=0,解得: t1=0,t2=8.故在t=0或t=8秒末的时刻运动物体在 始点.
故在t=0,t=4和t=8秒时物体运动的速度为零.
问题 设函数y=f(x)在x = x处的导数为f'(x),g(x)=x2.求函数y=f(x)g(x)在x =x处的导数.
事实上,对于两个函数f(x)和 g(x)的积的导数,我们有如下法则:
即:两个函数的积的导数,等于第一个函数的导数乘第二个函数,加上第一个函数乘第二个函数的导数
即 :两个函数的商的导数,等于第一个函数的导数乘第二个函数,减去第一个函数乘第二个函数的导数 ,再除以第二个函数的平方.
事实上,对于两个函数f(x)和 g(x)的商的导数,我们有如下法则:
3.已知函数y=2xln x,则y′=________.
法则1:两个函数的和(差)的导数,等于这两个函数的导数的和(差),即:
法则2:两个函数的积的导数,等于第一个函数的导数乘第二个函数,加上第一个函数乘第二个函数的导数 ,即:
法则3:两个函数的商的导数,等于第一个函数的导数乘第二个函数,减去第一个函数乘第二个函数的导数 ,再除以第二个函数的平方.即:
数学选择性必修 第二册第二章 导数及其应用4 导数的四则运算法则4.2 导数的乘法与除法法则教学演示课件ppt: 这是一份数学选择性必修 第二册第二章 导数及其应用4 导数的四则运算法则4.2 导数的乘法与除法法则教学演示课件ppt,共34页。PPT课件主要包含了素养目标•定方向,必备知识•探新知,关键能力•攻重难,题型探究,易错警示,课堂检测•固双基等内容,欢迎下载使用。
选择性必修 第二册4.2 导数的乘法与除法法则课前预习ppt课件: 这是一份选择性必修 第二册4.2 导数的乘法与除法法则课前预习ppt课件,共34页。PPT课件主要包含了目录索引,本节要点归纳等内容,欢迎下载使用。
数学选择性必修 第二册第二章 导数及其应用4 导数的四则运算法则4.2 导数的乘法与除法法则作业课件ppt: 这是一份数学选择性必修 第二册第二章 导数及其应用4 导数的四则运算法则4.2 导数的乘法与除法法则作业课件ppt,共33页。PPT课件主要包含了BCD,ABD等内容,欢迎下载使用。

