数学北师大版 (2019)2 指数幂的运算性质说课课件ppt
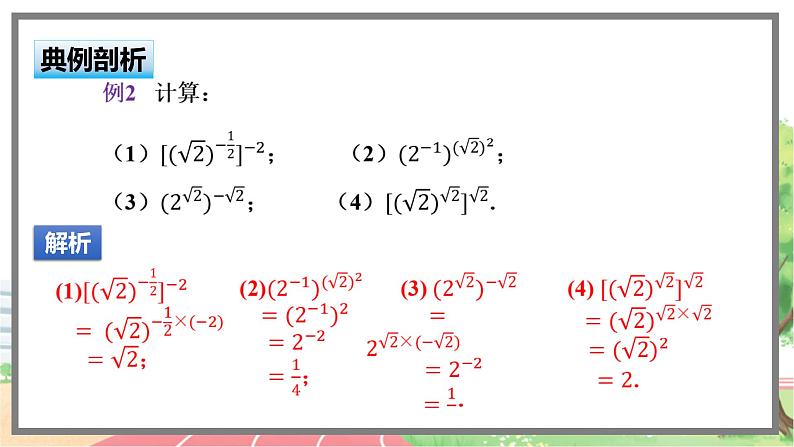
展开与初中学习的指数运算性质一样,实数指数幂的运算性质如下:
高中数学北师大版 (2019)必修 第一册1 指数幂的拓展图文课件ppt: 这是一份高中数学北师大版 (2019)必修 第一册<a href="/sx/tb_c4000401_t3/?tag_id=26" target="_blank">1 指数幂的拓展图文课件ppt</a>,共16页。PPT课件主要包含了导入新课,指数是分数,探究新知,典例剖析,巩固练习等内容,欢迎下载使用。
高中数学北师大版 (2019)必修 第一册2 指数幂的运算性质一等奖ppt课件: 这是一份高中数学北师大版 (2019)必修 第一册<a href="/sx/tb_c4000402_t3/?tag_id=26" target="_blank">2 指数幂的运算性质一等奖ppt课件</a>,共15页。PPT课件主要包含了导入课题,新知探究,典例剖析,指数幂的综合运算,课堂小结等内容,欢迎下载使用。
数学2 指数幂的运算性质精品课件ppt: 这是一份数学2 指数幂的运算性质精品课件ppt,共19页。

