数学必修 第一册2 指数幂的运算性质教学ppt课件
展开与初中学习的指数运算性质一样,实数指数幂的运算性质如下:
思考讨论(综合练习):
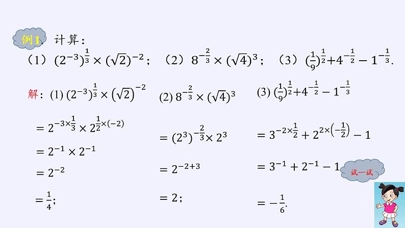
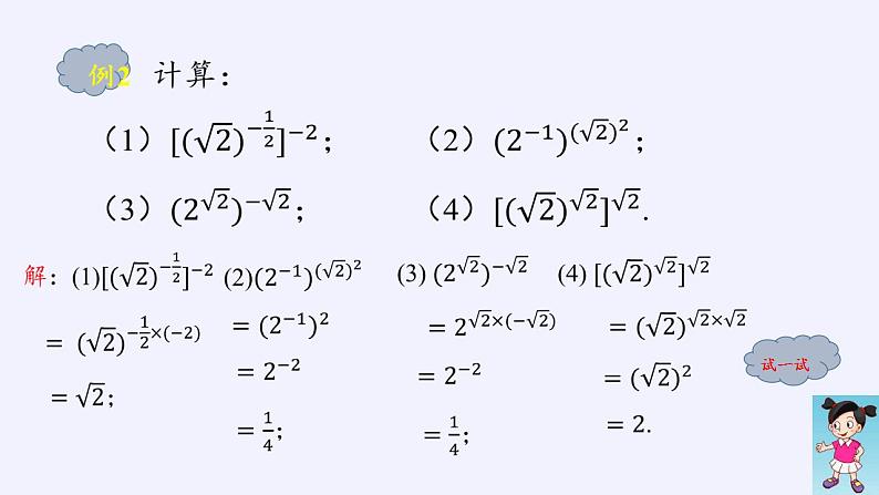
在指数幂的运算中,一般都将根式化成分数指数进行运算,这样便于利用指数运算性质进行运算,另外在运算过程中注意运算顺序。
数学2 指数幂的运算性质精品课件ppt: 这是一份数学2 指数幂的运算性质精品课件ppt,共19页。
北师大版 (2019)必修 第一册2 指数幂的运算性质评优课ppt课件: 这是一份北师大版 (2019)必修 第一册2 指数幂的运算性质评优课ppt课件,共43页。
高中数学北师大版 (2019)必修 第一册2 指数幂的运算性质完美版ppt课件: 这是一份高中数学北师大版 (2019)必修 第一册2 指数幂的运算性质完美版ppt课件,文件包含北师大版2019数学必修第一册32《指数幂的运算性质》课件pptx、北师大版2019数学必修第一册32《指数幂的运算性质》教案docx、北师大版2019数学必修第一册32《指数幂的运算性质》学案docx等3份课件配套教学资源,其中PPT共15页, 欢迎下载使用。

