高中数学北师大版 (2019)必修 第一册2 指数幂的运算性质完美版ppt课件
展开指数幂的运算性质
【教材分析】
指数幂的指数由整数扩充到了实数,其指数运算的运算性质照样适用。本节内容是实数指数幂的运算性质及利用性质进行综合运算,使学生能够熟练、准确地进行指数式、根式等的相互转化,能够熟练地利用性质进行数式的化简、求值等综合运算。
【教学目标】
(1)知识目标:
实数指数幂的运算性质及利用性质进行综合运算,使学生能够熟练、准确地进行指数式、根式等的相互转化,能够熟练地利用性质进行数式的化简、求值等综合运算。
(2)核心素养目标:
通过实数指数幂的综合运算,提高学生数学运算的核心素养。
【教学重难点】
(1)实数指数幂的运算性质;
(2)根式、指数式等的化简、求值以及综合运算。
【教学准备】
多媒体课件
【教学过程】
一、复习引入
, , 。
。
在初中,学习了整数指数幂的运算性质
。
二、新知识
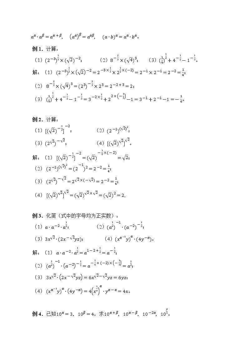
类似的,当指数是实数时,指数运算性质如下:
为正实数,为实数
。
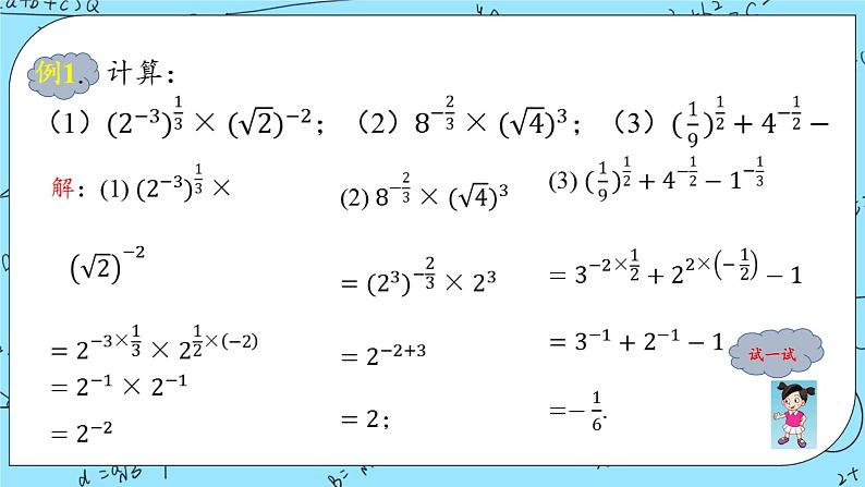
例1.计算:
(1); (2); (3)。
解:(1);
(2);
(3)。
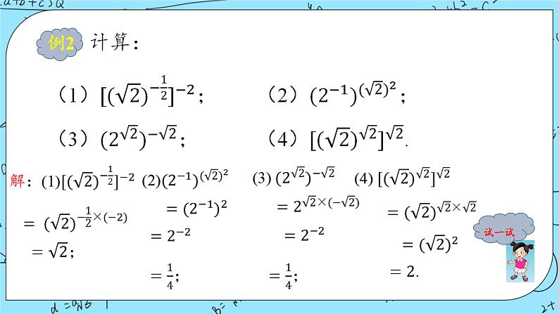
例2.计算:
(1); (2);
(3); (4)。
解:(1);
(2);
(3);
(4)
例3.化简(式中的字母均为正实数):
(1); (2);
(3); (4)。
解:(1);
(2);
(3);
(4)。
例4.已知,求。
解:;
;
;
。
例5.已知实数,且,求证:。
证明:根据指数幂的定义和运算性质,
。
思考讨论(综合练习)
(1)计算下列各式(式中的字母为正数):
①; ②。
(2)若,求的值。
提示:(1) ①
②。·
(2)由两边平方,得,再平方,
又
所以。
【教学反思】
在指数幂的运算中,一般都将根式化成分数指数进行运算,这样便于利用指数运算性质进行运算,另外在运算过程中注意运算顺序。
数学2 指数幂的运算性质精品课件ppt: 这是一份数学2 指数幂的运算性质精品课件ppt,共19页。
北师大版 (2019)必修 第一册2 指数幂的运算性质评优课ppt课件: 这是一份北师大版 (2019)必修 第一册2 指数幂的运算性质评优课ppt课件,共43页。
数学必修 第一册2 指数幂的运算性质教学ppt课件: 这是一份数学必修 第一册2 指数幂的运算性质教学ppt课件,文件包含高中数学必修第一册第三章课件2指数幂的运算性质-北师大版2019pptx、高中数学必修第一册第三章2指数幂的运算性质-教案-北师大版2019docx、高中数学必修第一册第三章2指数幂的运算性质-学案-北师大版2019docx等3份课件配套教学资源,其中PPT共15页, 欢迎下载使用。

