2024年中考数学二轮培优专题07 二次函数-面积最大值问题(2份打包,原卷版+教师版)
展开TOC \ "1-1" \h \u \l "_Tc24222" 必备知识点 PAGEREF _Tc24222 \h 1
\l "_Tc16906" 考点一 三角形面积的最大值 PAGEREF _Tc16906 \h 1
\l "_Tc24876" 考点二 四边形面积的最大值 PAGEREF _Tc24876 \h 3
\l "_Tc18949" 考点三 图形面积和、差、比的最大值 PAGEREF _Tc18949 \h 5
知识导航
必备知识点
考点一 三角形面积的最大值
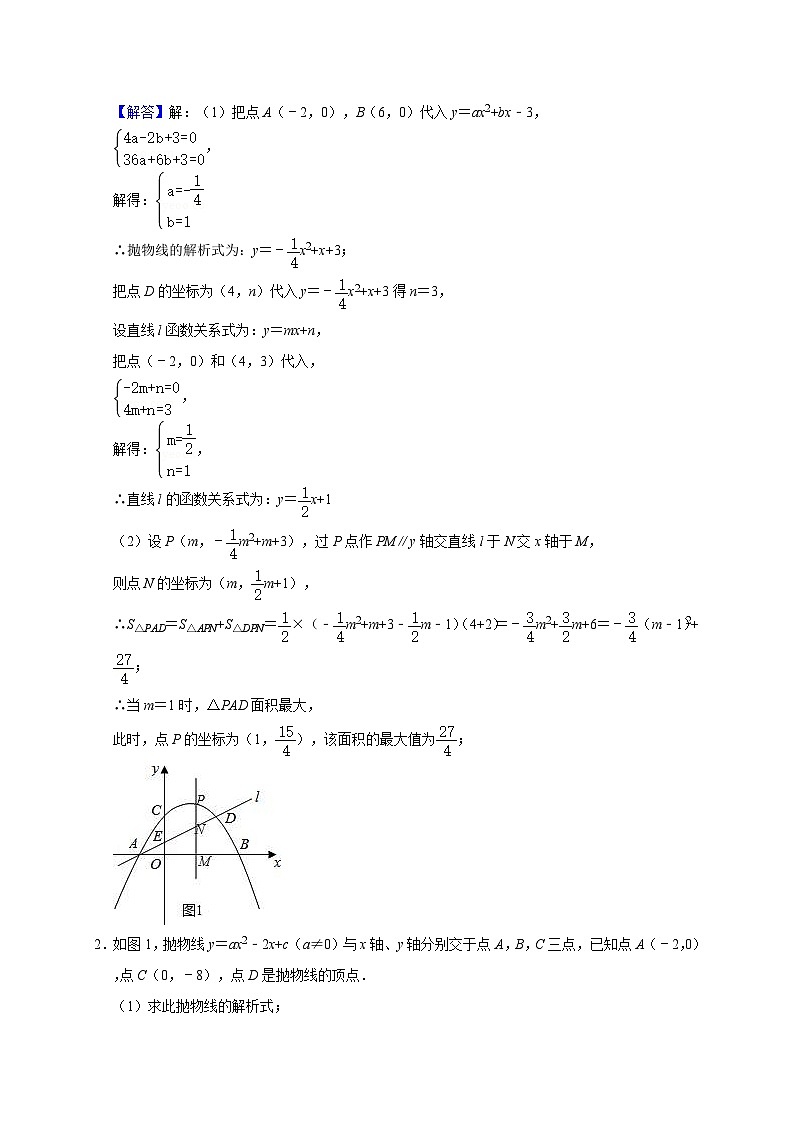
1.如图,抛物线y=ax2+bx+3与x轴交于A(﹣2,0)、B(6,0)两点,与y轴交于点C.直线l与抛物线交于A、D两点,点D的坐标为(4,n).
(1)求抛物线的解析式与直线l的解析式;
(2)若点P是抛物线上的点且在直线l上方,连接PA、PD,求当△PAD面积最大时点P的坐标及该面积的最大值;
2.如图1,抛物线y=ax2﹣2x+c(a≠0)与x轴、y轴分别交于点A,B,C三点,已知点A(﹣2,0),点C(0,﹣8),点D是抛物线的顶点.
(1)求此抛物线的解析式;
(2)若点P在直线BC下方的抛物线上运动,求点P运动到何处时,△PBC的面积最大?
3.如图,已知抛物线y=ax2+bx﹣4与x轴交于A,B两点,与y轴交于点C,且点A的坐标为(﹣2,0),直线BC的解析式为y=x﹣4.
(1)求抛物线的解析式.
(2)如图1,过点A作AD∥BC交抛物线于点D(异于点A),P是直线BC下方抛物线上一点,过点P作PQ∥y轴,交AD于点Q,过点Q作QR⊥BC于点R,连接PR.求△PQR面积的最大值及此时点P的坐标.
4.如图,抛物线y=x2+bx+c与x轴相交于点A(﹣1,0)和点B,交y轴于点C,.
(1)求抛物线的解析式;
(2)如图1,P点为一象限内抛物线上的一个动点,D点是BC中点,连接PD,BD,PB.求△BDP面积的最大值以及此时P点坐标;
考点二 四边形面积的最大值
5.如图,抛物线y=﹣x2+mx+2与x轴交于A、B两点,与y轴交于点C,抛物线的对称轴直线x=交x轴于点D.
(1)求m的值;
(2)点E是线段BC上的一个动点.过点E作x轴的垂线与抛物线相交于点F,与x轴相交于点H,连接CF、BF、OE.当四边形CDBF的面积最大时,请你说明四边形OCFE的形状.
6.如图,在平面直角坐标系中,抛物线y=ax2+bx+c与x轴交于A(﹣1,0),B(3,0),交y轴于点C,且OC=3.
(1)求该抛物线的解析式;
(2)点P为直线BC下方抛物线上的一点,连接AC、BC、CP、BP,求四边形PCAB的面积的最大值,以及此时点P的坐标;
7.如图,在平面直角坐标系中,抛物线交x轴于A、B两点(点A在点B左侧),交y轴于点C,一次函数y=kx+b(k≠0)与抛物线交于B、D两点,已知cs∠ABD=.
(1)求点D的坐标;
(2)点F是抛物线的顶点,连接BF.P是抛物线上F、D两点之间的任意一点,过点P作PE∥BF交BD于点E,连接PF、PD、FE.求四边形PFED面积的最大值及相应的点P的坐标;
8.如图1,在平面直角坐标系中,抛物线y=ax2+bx+c(a≠0)与直线交于x轴上的点B,y轴上的点C,且其对称轴为直线.该抛物线与x轴的另一交点为点A,顶点为M.
(1)求抛物线的解析式及顶点M的坐标;
(2)如图2,长度为的线段DF在线段BC上滑动(点D在点F的左侧),过D,F分别作y轴的平行线,交抛物线于E,P两点,连接PE.求四边形PFDE面积的最大值及此时点P坐标;
考点三 图形面积和、差、比的最大值
9.如图,在平面直角坐标系中,抛物线y=﹣x2+bx+c与x轴交于A(﹣,0)、B(1,0)两点,与y轴交于点C.
(1)求抛物线的解析式;
(2)连接AC,BC,点D是线段AC上一点,过点D作DE∥BC交线段AC上方的抛物线于点E,过点E作EM∥y轴交直线AC于点M,过点D作DN⊥EM于点N,求阴影部分面积S的最大值和此时点E的坐标.
10.如图,在平面直角坐标系xOy中,抛物线y=x2+x﹣2与x轴交于A、B两点(点A在点B的左侧),与y轴交于点C.
(1)求点A的坐标;
(2)如图1,连接AC,点D为线段AC下方抛物线上一动点,过点D作DE∥y轴交线段AC于E点,连接EO,记△ADC的面积为S1,△AEO的面积为S2,求S1﹣S2的最大值及此时点D的坐标;
11.已知抛物线与x轴交于A,B两点,且经过点C(0,﹣2),顶点坐标为(,).
(1)求抛物线的解析式;
(2)如图1,点D为第四象限抛物线上一点,连接AD,BC交于点E,连接BD,记△BDE的面积为S1,△ABE的面积为S2,当最大时,求D点坐标;
12.如图,抛物线y=ax2+bx+2(a≠0)与x轴交于A(﹣1,0),B(4,0),与y轴交于点C.
(1)求点C的坐标和抛物线的解析式;
(2)点P是第一象限抛物线上的一个动点,连接PA,交直线BC于点D.
①若sin∠PAB=,试求四边形OBPC的面积S;
②设△PDC的面积为S1,△ADC的面积为S2,求的最大值.
2024年中考数学二轮培优专题05 二次函数-线段最大值问题(2份打包,原卷版+教师版): 这是一份2024年中考数学二轮培优专题05 二次函数-线段最大值问题(2份打包,原卷版+教师版),文件包含2024年中考数学二轮培优专题05二次函数-线段最大值问题原卷版doc、2024年中考数学二轮培优专题05二次函数-线段最大值问题教师版doc等2份试卷配套教学资源,其中试卷共43页, 欢迎下载使用。
中考数学二轮压轴培优专题 二次函数与圆存在性问题(2份打包,教师版+原卷版): 这是一份中考数学二轮压轴培优专题 二次函数与圆存在性问题(2份打包,教师版+原卷版),文件包含中考数学二轮压轴培优专题二次函数与圆存在性问题教师版doc、中考数学二轮压轴培优专题二次函数与圆存在性问题原卷版doc等2份试卷配套教学资源,其中试卷共30页, 欢迎下载使用。
中考数学二轮压轴培优专题 二次函数与新定义综合问题(2份打包,教师版+原卷版): 这是一份中考数学二轮压轴培优专题 二次函数与新定义综合问题(2份打包,教师版+原卷版),文件包含中考数学二轮压轴培优专题二次函数与新定义综合问题教师版doc、中考数学二轮压轴培优专题二次函数与新定义综合问题原卷版doc等2份试卷配套教学资源,其中试卷共28页, 欢迎下载使用。

