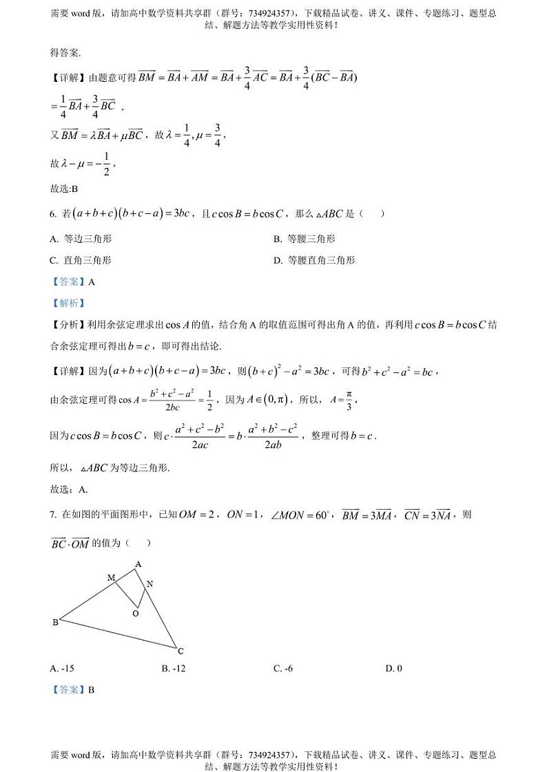
浙江省嘉兴市八校联盟2022-2023学年高一下学期期中联考数学试题
展开2023-2024学年浙江省嘉兴市八校联盟高一上学期期中联考数学试题(含解析): 这是一份2023-2024学年浙江省嘉兴市八校联盟高一上学期期中联考数学试题(含解析),共14页。试卷主要包含了单选题,多选题,填空题,解答题等内容,欢迎下载使用。
2023-2024学年浙江省嘉兴市海盐高级中学八校联盟高一上学期期中联考数学试题含答案: 这是一份2023-2024学年浙江省嘉兴市海盐高级中学八校联盟高一上学期期中联考数学试题含答案,共10页。试卷主要包含了考试结束后,只需上交答题纸,设,,,则,,的大小关系为,函数的零点所在区间为,下面各组函数中是同一函数的是等内容,欢迎下载使用。
浙江省嘉兴市八校联盟2023-2024学年高一上学期期中联考数学试题(Word版附答案): 这是一份浙江省嘉兴市八校联盟2023-2024学年高一上学期期中联考数学试题(Word版附答案),共8页。试卷主要包含了考试结束后,只需上交答题纸,设,,,则,,的大小关系为,函数的零点所在区间为,下面各组函数中是同一函数的是等内容,欢迎下载使用。

