辽宁省沈阳市东北育才学校双语校区2023-2024学年高二下学期4月自主测评数学试题(原卷版+解析版)
展开命题:高一数学备课组 审题:高一数学备课组 考试时间:120分钟 分数:150分
一、选择题(本题共8小题,每小题5分,共40分.在每小题给出的四个选项中,只有一项是符合题目要求的)
1. 若,,则( )
A. B. C. 3D. 5
【答案】B
【解析】
【分析】利用向量加法和数量积的坐标表示直接计算求解即可.
【详解】由题意可知,
所以,
故选:B
2. 已知,则( )
A. B. C. D.
【答案】C
【解析】
【分析】根据诱导公式和二倍角的余弦公式即可.
【详解】因为,
所以.
故选:C.
3. 在中,若,则( )
A. B. C. D.
【答案】D
【解析】
【分析】由同角三角函数之间的基本关系可得,再由正弦定理可求得.
【详解】易知,由可得;
利用正弦定理可得.
故选:D
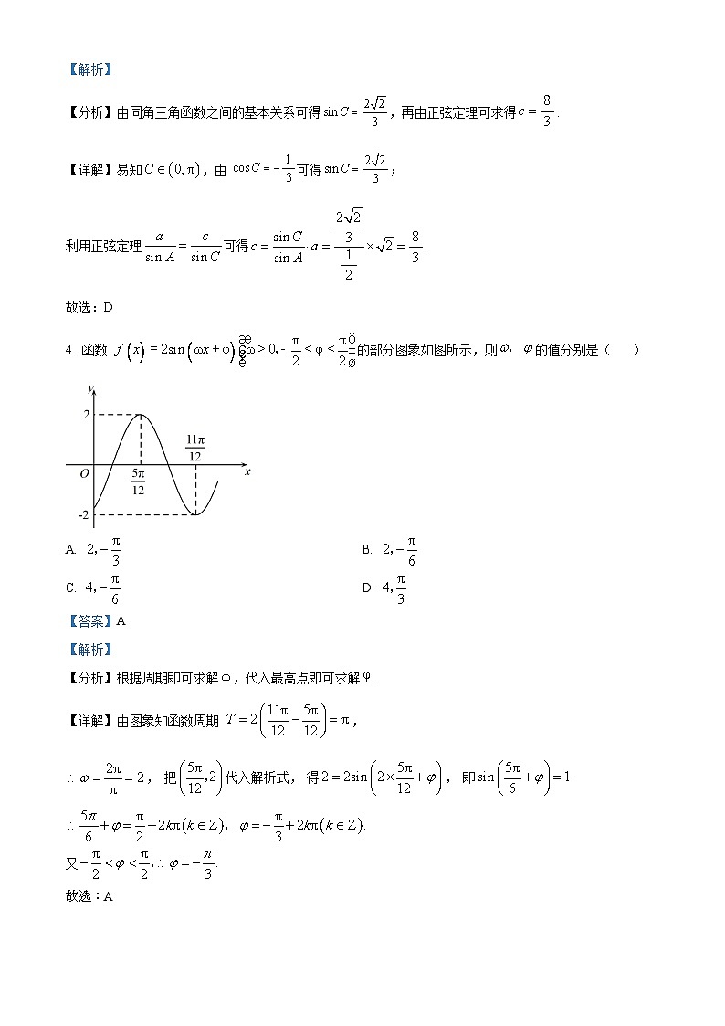
4. 函数 的部分图象如图所示,则的值分别是( )
A. B.
C. D.
【答案】A
【解析】
【分析】根据周期即可求解,代入最高点即可求解.
【详解】由图象知函数周期 ,
, 把代入解析式, 得, 即.
又
故选:A
5. 已知分别为三个内角的对边,且满足,则的形状为( )
A. 等腰三角形B. 直角三角形C. 等边三角形D. 等腰直角三角形
【答案】C
【解析】
【分析】分别利用正弦定理和余弦定理即可求解.
【详解】因为,由正弦定理可得,
,
因为,所以,
则有,
即,
所以,因为,所以,
整理可得,,即,因为,
所以或,则或(舍去).
又因为,由正弦定理可得,
因为,所以,
则,化简整理可得,,
所以,又因为,所以为等边三角形,
故选:C.
6. 如图,三棱柱中,为中点,为上一点,,为侧面上一点,且平面,则点的轨迹的长度为( )
A. 1B. C. D. 2
【答案】C
【解析】
【分析】在上取点,使得,在上取点,使得,则、,根据线面、面面平行的判定定理可证明平面平面,则点M的轨迹为线段,结合余弦定理计算即可求解.
【详解】由题意知,,在上取点,使得,
则且,所以四边形为平行四边形,
故,又平面,平面,
所以平面.
在上取点,使得,
有,所以,则,
又平面,平面,
所以平面,又平面,
所以平面平面,则点M的轨迹为线段.
在中,,由余弦定理,
得,
即点M的轨迹长度为.
故选:C
7. 已知函数(),若在上有两个零点,则的取值范围是( )
A. B.
C. D.
【答案】A
【解析】
【分析】求出的范围,数形结合得到关于的范围,求出的取值范围.
【详解】,,则,
故,解得:.
故选:A
8. 已知直四棱柱的底面为矩形,,且该棱柱外接球的表面积为,为线段上一点.则当该四棱柱的体积取最大值时,的最小值为( )
A. B. C. D.
【答案】D
【解析】
【分析】利用外接球的表面积和基本不等式,求出四棱柱体积最大时底面的长和宽,将平面沿展开,与处于同一平面,可求的最小值.
【详解】设外接球O的半径为R,则球O的表面积,所以,
设矩形的长和宽分别为x和y, 则,所以,
,当且仅当时取等号,
即底面为边长为2的正方形时,四棱柱的体积最大.
则有,
将平面沿展开,与处于同一平面,
则,
即平面图形中三点共线时,有最小值.
故选:D
二、多选题(本题共3小题,每小题6分,共18分.在每小题给出的四个选项中,有多项符合题目要求全部选对得6分,部分选得3分,有错误答案得0分)
9. 已知函数,则( )
A. 直线为图象的一条对称轴
B. 点为图象的一个对称中心
C. 将的图象向右平移个单位长度后关于轴对称
D. 在上单调递增
【答案】AC
【解析】
【分析】由正弦函数的对称轴,对称中心,平移,单调性性质逐一判断选项即可.
【详解】A:,故A正确;
B:,故B错误;
C:将函数的图象向右平移个单位长度后,得到,偶函数,故C正确;
D:因为,所以,则函数在上先增后减,故D错误.
故选:AC.
10. 给出下列四个命题,其中正确的命题是( )
A. 函数是最小正周期为的周期函数
B. 函数的最小值为
C. 若,则
D. 已知,则
【答案】BD
【解析】
【分析】由不是周期函数判断A;利用同角的平方关系和换元法可得,结合二次函数的性质计算即可判断B;根据线面之间的基本关系即可判断C;利用三角恒等变换化简计算求出即可判断D.
【详解】A:当时,为周期函数,当时,为周期函数,
但当时,的图象关于轴对称,不是周期函数,故A错误;
B:,
设,则,且,
则该二次函数在上单调递增,在上单调递减,
且当时,,当时,,
所以该函数在上的最小值为,即函数的最小值为,故B正确;
C:若,则或,故C错误;
D:由,得,
即,所以,
即,故D正确.
故选:BD
11. 约翰逊多面体是指除了正多面体、半正多面体(包括13种阿基米德多面体、无穷多种侧棱与底棱相等的正棱柱、无穷多种正反棱柱)以外,所有由正多边形面组成的凸多面体.其中,由正多边形构成的台塔是一种特殊的约翰逊多面体,台塔,又叫帐塔、平顶塔,是指在两个平行的多边形(其中一个的边数是另一个的两倍)之间加入三角形和四边形所组成的多面体.各个面为正多边形的台塔,包括正三、四、五角台塔.如图是所有棱长均为1的正三角台塔,则该台塔( )
A. 共有15条棱B. 表面积为
C. 高为D. 外接球的体积为
【答案】ACD
【解析】
【分析】由台塔结构特征,数棱的条数,计算表面积和高,由外接球半径计算体积.
【详解】台塔下底面6条棱,上底面3条棱,6条侧棱,共15条棱,A选项正确;
台塔表面有1个正六边形,3个正方形,4个正三角形,由所有棱长均为1,
表面积为,B选项错误;
上底面正三角形在下底面正六边形内的投影为,
则点是正六边形的中心,也是的中心,
和都是正三角形,是的中心,
由棱长为1,则,
所以台塔的高,C选项正确;
设上底面正三角形的外接圆圆心为,则半径,
下底面正六边形的外接圆圆心为,则半径,
设台塔外接球半径为,,
则有或,解得,
所以,台塔的外接球体积,D选项正确.
故选:ACD
三、填空题(本大题共3小题,每题5分,共15分)
12. 已知向量,且,则向量与的夹角为______.
【答案】
【解析】
【分析】利用向量夹角公式可求向量与的夹角.
【详解】因为,所以,
故,故,故,
而,故,
故答案:.
13. 已知某圆锥的侧面展开图是一个半径为的半圆,且该圆锥的体积为,则_________________.
【答案】
【解析】
【分析】设圆锥的底面圆的半径为,高为,则母线长为且,根据勾股定理求得,结合圆锥的体积公式计算即可求解.
【详解】由题意知,设圆锥的底面圆的半径为,高为,
则圆锥的母线长为,且,得,
所以,又圆锥的体积为,
所以,即,
解得.
故答案为:
14. 在锐角中,角A,B,C的对边分别为a,b,c,S为的面积,且,则的取值范围为______.
【答案】
【解析】
【分析】利用三角形面积公式与余弦定理,可得,再根据同角关系式可得,然后利用正弦定理与三角恒等变换公式化简可得,结合条件可得取值范围,进而求得的取值范围,令,则,然后由对勾函数的单调性即可求出.
【详解】在中,由余弦定理得,
且的面积,
由,得,化简得,
又,,联立得,
解得或(舍去),
所以,
因为为锐角三角形,
所以,,所以,
所以,所以,所以,
设,其中,所以,
由对勾函数单调性知在上单调递减,在上单调递增,
当时,;当时,;当时,,
所以,即的取值范围是.
故答案为:.
【点睛】关键点点睛:本题关键在于利用正弦定理与三角恒等变换公式化简可得,进而可以求解.
四、解答题(本大题共5小题共77分.解答应写出文字说明、证明过程或演算步骤)
15. 已知,x∈R.
(1)求函数y=f(x)的单调减区间;
(2)△ABC的内角A、B、C的对边分别为a、b、c,已知,求△ABC周长的取值范围.
【答案】(1);(2).
【解析】
【分析】(1)由二倍角公式降幂,再由两角差的正弦公式化函数为一个角的一个三角函数形式,然后利用正弦函数的单调性得减区间;
(2)由求得,用余弦定理得的关系式后利用基本不等式及三角形的性质得出的范围,从而得周长的范围.
【详解】(1),
,解得.
所以减区间是.
(2)由(1),又,所以,
由得,所以,当且仅当时等号成立,又,
所以,即周长的范围是.
【点睛】本题主要考查正弦型三角函数的单调性,考查余弦定理的应用,考查二倍角公式、两角差的正弦公式,解题中需恰当的选用公式求解.属于中档题.
16. 如图,四棱柱ABCDA1B1C1D1的底面ABCD是正方形.
(1)证明:平面A1BD∥平面CD1B1;
(2)若平面ABCD∩平面B1D1C=直线l,证明B1D1∥l.
【答案】(1)证明见解析(2)证明见解析
【解析】
【分析】(1)根据平行四边形可知BD∥B1D1,可得BD∥平面CD1B1,同理可得A1B∥D1C,A1B∥平面CD1B1,即可证明(2)根据两平面平行性质定理可知l∥直线BD,再根据平行四边形知B1D1∥BD,即可证明B1D1∥l.
【详解】证明:(1)由题设知BB1∥DD1,
所以四边形BB1D1D是平行四边形,
所以BD∥B1D1.
又BD⊄平面CD1B1,
B1D1⊂平面CD1B1,
所以BD∥平面CD1B1.
因为A1D1∥BC,
所以四边形A1BCD1是平行四边形,
所以A1B∥D1C.
又A1B⊄平面CD1B1,
D1C⊂平面CD1B1,
所以A1B∥平面CD1B1.
又因为BD∩A1B=B,
所以平面A1BD∥平面CD1B1.
(2)由(1)知平面A1BD∥平面CD1B1,
又平面ABCD∩平面B1D1C=直线l,
平面ABCD∩平面A1BD=直线BD,
所以直线l∥直线BD,
在四棱柱ABCDA1B1C1D1中,四边形BDD1B1为平行四边形,
所以B1D1∥BD,
所以B1D1∥l.
【点睛】本题主要考查了线面平行、面面平行的判定,面面平行的性质,属于中档题.
17 如图,在中,,,点在线段上.
(1)若,求的长;
(2)若,的面积为,求的值.
【答案】(1);
(2).
【解析】
【分析】(1)利用正弦定理结合两角和的正弦公式化简可得出,利用同角三角函数的平方关系可求得的值,然后在中,利用正弦定理可求得边的长;
(2)设,则,利用三角形的面积公式可求得的值,然后在、中利用正弦定理,再结合,可求得结果.
【小问1详解】
解:因为,
由正弦定理可得,
,则,故,则为锐角,所以,,
,则,
在中,由正弦定理得,,解得.
【小问2详解】
解:设,则,,则,
即,可得,故,
由余弦定理可得,
在中,由正弦定理可得,故,
在中,由正弦定理可得,故,
因为,
所以,.
18. 如图所示正四棱锥,,,为侧棱上的点,且,求:
(1)正四棱锥的表面积;
(2)若为的中点,求证:平面;
(3)侧棱上是否存在一点,使得平面.若存在,求的值;若不存在,试说明理由.
【答案】(1) (2)证明见解析
(3)在侧棱存在点,使得平面,
【解析】
【分析】(1)根据正四棱锥的结构求出侧面的高,即可求解正四棱锥的表面积;
(2)如图,连接交于点O,则,结合线面平行的判定定理即可证明;
(3)取的中点Q,过Q作的平行线交于E,得,,根据线面平行的判定定理可得平面、平面,结合面面平行的判定定理与性质即可下结论.
【小问1详解】
在正四棱锥中,,
则正四棱锥侧面的高为,
所以正四棱锥的表面积为;
【小问2详解】
如图,连接交于点O,连接,则O为AC的中点,
当M为SA的中点时,,
又平面平面,
所以平面;
【小问3详解】
在侧棱上存在点E,使得平面,满足.
理由如下:
取的中点Q,由,得,
过Q作的平行线交于E,连接,,
中,有,又平面,平面,
所以平面,由,得.
又,又平面,平面,
所以平面,又平面,
所以平面平面,而平面,
所以平面.
19. 已知函数,若存在实数m、k(),使得对于定义域内的任意实数x,均有成立,则称函数为“可平衡”函数;有序数对称为函数的“平衡”数对.
(1)若,求函数的“平衡”数对;
(2)若m=1,判断是否为“可平衡”函数,并说明理由;
(3)若、,且、均为函数的“平衡”数对,求的取值范围.
【答案】(1)
(2)是 (3)
【解析】
【分析】(1)根据“平衡数对”定义建立方程,根据恒成立求解即可;
(2) 时,判断是否存在使等式恒成立,利用三角函数化简求解即可;
(3)根据“平衡数对”的定义将用关于的三角函数表达,再利用三角函数的取值范围求解即可.
【小问1详解】
根据题意可知,对于任意实数,,
即,即对于任意实数恒成立,
只有,,故函数的“平衡”数对为,
【小问2详解】
若,则,
,
要使得为“可平衡”函数,需使对于任意实数均成立,只有,
此时,,故存在,所以是“可平衡”函数.
【小问3详解】
假设存在实数,对于定义域内的任意均有
则
均为函数的“平衡”数对,
,函数单调递增,
即的取范围为
辽宁省沈阳市东北育才学校2024届高三第三次模拟考试数学试题(原卷及解析版): 这是一份辽宁省沈阳市东北育才学校2024届高三第三次模拟考试数学试题(原卷及解析版),文件包含精品解析辽宁省沈阳市东北育才学校2024届高三第三次模拟考试数学试题原卷版docx、精品解析辽宁省沈阳市东北育才学校2024届高三第三次模拟考试数学试题解析版docx等2份试卷配套教学资源,其中试卷共29页, 欢迎下载使用。
辽宁省沈阳市东北育才双语学校2022-2023学年高二上学期期末数学试题(答案在卷尾): 这是一份辽宁省沈阳市东北育才双语学校2022-2023学年高二上学期期末数学试题(答案在卷尾),共21页。试卷主要包含了单选题,多选题,填空题,解答题等内容,欢迎下载使用。
辽宁省沈阳市沈北新区东北育才学校(双语校区)2022-2023学年高一上学期期末数学试题(含答案): 这是一份辽宁省沈阳市沈北新区东北育才学校(双语校区)2022-2023学年高一上学期期末数学试题(含答案),共19页。试卷主要包含了单选题,多选题,填空题,解答题等内容,欢迎下载使用。

