2024长沙宁乡高一上学期期末数学试题含解析
展开(考试时量:120分钟 满分150分)
一、单选题:(本大题共8小题,每小题5分,共40分.在每小题给出的四个选项中,只有一项是符合题目要求的.)
1. 已知集合,,则( )
A. B. C. D.
【答案】A
【解析】
【分析】直接求交集可得答案.
【详解】.
故选:A.
2. 命题“,”的否定是( )
A. ,B. ,
C. ,D. ,
【答案】D
【解析】
【分析】根据特称命题的否定直接得出答案.
【详解】因为特称命题的否定是全称命题,
所以命题“,”的否定是为:,,
故选:D.
3. 已知函数分别由下表给出:则的值是( )
A. 1B. 2C. 3D. 1和2
【答案】C
【解析】
【分析】根据表中自变量与函数值的对应关系,先求得,再求即得.
【详解】由表可知:,则.
故选:C.
4. 已知a,b,,且,则下列不等式恒成立的是( )
A. B. C. D.
【答案】D
【解析】
【分析】由不等式的性质,应用特殊值法判断各项正误.
【详解】A:时不成立;
B、C:时、不成立;
D:,即成立.
故选:D
5. 设偶函数在区间上单调递增, 则( )
A. B.
C. D.
【答案】B
【解析】
【分析】根据偶函数的性质得到,再根据函数的单调性判断即可.
【详解】因为为偶函数,所以,
又在区间上单调递增,,所以,
则.
故选:B
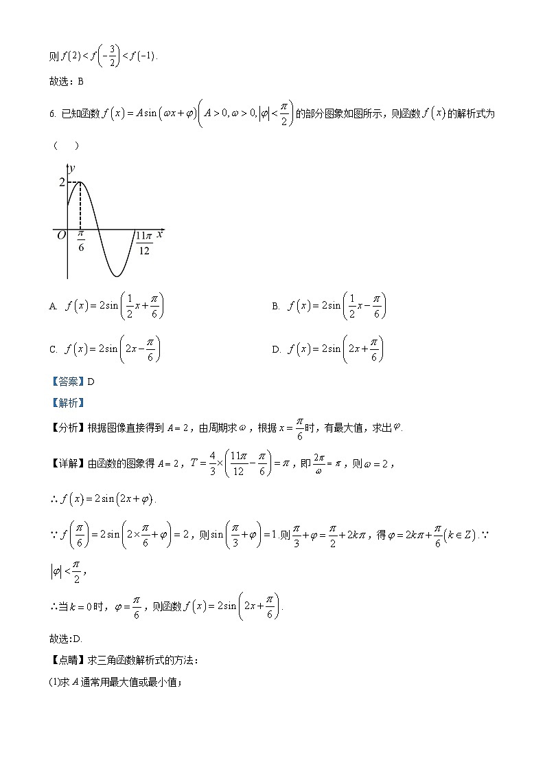
6. 已知函数的部分图象如图所示,则函数的解析式为( )
A. B.
C. D.
【答案】D
【解析】
【分析】根据图像直接得到,由周期求,根据时,有最大值,求出.
【详解】由函数的图象得,,即,则,
∴.
∵,则.则,得.∵,
∴当时,,则函数.
故选:D.
【点睛】求三角函数解析式的方法:
(1)求A通常用最大值或最小值;
(2)求ω通常用周期;
(3)求φ通常利用函数上的点带入即可求解.
7. 设,,,则,,的大小关系是( )
A. B.
C. D.
【答案】D
【解析】
【分析】寻找中间量0,1,结合指数函数和三角函数和对数函数的性质可得结果.
【详解】因为所以,,
故
故选:D.
8. 已知函数,若,则函数的零点个数是( )
A. 1B. 2C. 3D. 4
【答案】D
【解析】
【分析】令,即,即将函数的零点个数问题转化为对应方程的根的个数问题.
详解】令,得,
即或
当时,由或,
得或;
当时,由或,
得或;
则函数的零点个数是4个.
故选:D.
二、多项选择题:(本大题共4小题,每小题5分,共20分.在每小题给出的选项中,有多项符合题目要求,全部选对的得5分,部分选对的得2分,有选错的得0分.)
9. 下列哪些函数是幂函数( )
A. B. C. D.
【答案】BD
【解析】
【分析】由幂函数的定义对比选项即可求解.
【详解】由幂函数的标准形式,对比选项可知,与符合题意.
故选:BD.
10. 下列各式中值为1的是( )
A. B.
C. D.
【答案】ABD
【解析】
【分析】对于A项,逆用两角和的正切公式计算即得;对于B项,利用二倍角的正弦公式即得;对于C项,利用二倍角的余弦公式即得;对于D项,利用诱导公式和同角的基本关系式计算即得.
【详解】对于A项,,故A项符合;
对于B项,,故B项符合;
对于C项,,故C项不符合;
对于D项,,故D项符合.
故选:ABD.
11. 已知函数,则下列结论正确的是( )
A. 是奇函数B. 是奇函数
C. 是偶函数D. 是偶函数
【答案】AD
【解析】
【分析】由题意首先得分别是奇函数,偶函数,进一步根据函数奇偶性的定义逐一判断每一选项即可求解.
【详解】由题意函数的定义域都是关于原点对称,
且,所以分别是奇函数,偶函数,
对于A,定义域为关于原点对称,
且,所以是奇函数,故A正确;
对于B,若有意义,则,解得,即函数定义域为关于原点对称,
且,所以是偶函数,故B错误;
对于C,定义域为关于原点对称,
且,所以是奇函数,故C错误;
对于D,定义域为关于原点对称,
且,所以是偶函数,故D正确.
故选:AD.
12. 关于函数,下列叙述正确的是( )
A. 其图像关于直线对称
B. 其图像可由图像上所有点的横坐标变为原来的得到
C. 其图像关于点对称
D. 其值域是
【答案】BD
【解析】
【分析】根据正弦函数的性质逐一判断即可.
【详解】对于A,因为,
所以直线不是函数图象的对称轴,故A错误;
对于B,函数的图象上所有点的横坐标变为原来的,
可得,故B正确;
对于C,因为,
所以函数的图象关于点对称,故C错误;
对于D,因为,
所以,故D正确.
故选:BD.
三、填空题:(本大题共4小题,每小题5分,共20分.)
13. 已知函数是奇函数,则实数的值为_____.
【答案】2
【解析】
【分析】由函数是奇函数可得,求出的值,再验证所求函数的奇偶性即可.
【详解】的定义域为,
且是奇函数,
,
,此时,是奇函数,符合题意,故答案为2.
【点睛】本题主要考查函数的奇偶性,属于中档题. 已知函数的奇偶性求参数,主要方法有两个,一是利用:(1)奇函数由 恒成立求解,(2)偶函数由 恒成立求解;二是利用特殊值:奇函数一般由 求解,偶函数一般由求解,用特殊法求解参数后,一定要注意验证奇偶性.
14. 若,则“”是“”的______条件.(请用“充要”“充分不必要”“必要不充分”“既不充分也不必要”回答)
【答案】充分不必要
【解析】
【分析】由指数函数单调性得,由此即可判断.
【详解】由题意,而是的充分不必要条件,
所以“”是“”的充分不必要条件.
故答案:充分不必要.
15. 已知函数在区间上为增函数,则实数a的取值范围是________.
【答案】
【解析】
【分析】首先函数分离常数,根据分数函数的单调性,即可求得实数a的取值范围.
【详解】,
因为函数在区间上为增函数,所以,
解得:.
故答案为:
16. 已知函数,,若对任意,存在,使得,则取值范围______.
【答案】
【解析】
【分析】由题意可判断,由此求出,可得相应不等式恒成立,转化为函数最值问题,求解即可.
【详解】由题意知;
当时,,
故需同时满足以下两点:
①对时,
∴恒成立,
由于当时,为增函数,
∴;
②对时,,
∴恒成立,
由于,当且仅当,即时取得等号,
∴,
∴,
故答案为:
四、解答题:(本大题共6小题,共70分,解答应写出文字说明、证明过程或演算步骤.)
17. 已知集合,.
(1)若,求;
(2)若,求实数m的取值范围.
【答案】(1);
(2).
【解析】
【分析】(1)解一元一次不等式求集合A,应用集合交运算求结果;
(2)由题意,列不等式组求参数范围.
【小问1详解】
由题设,,,
所以.
【小问2详解】
由题意,则,可得
18. 已知函数.
(1)若,求的取值范围;
(2)若,求的值域.
【答案】(1)
(2)
【解析】
【分析】(1)先考虑函数定义域,再运用对数函数单调性求解不等式即得;
(2)根据求函数值域的从内到外的原则,先由的范围求的范围,再运用对数函数单调性求的范围,最后即得函数值域.
【小问1详解】
由可知,即得:,
由得:,即,
因在定义域内是增函数,故得,即,
又因,故的取值范围.
【小问2详解】
由可得,
因在定义域内是增函数,则,故得:,
即函数的值域为.
19. 已知函数.
(1)判断在上的单调性,并用定义法证明;
(2)已知在上的最大值为m,若正实数a,b满足,求最小值.
【答案】(1)在上单调递增,证明见解析;(2)2.
【解析】
【分析】(1)令,作差通过运算判断符号得出结论;
(2)由(1)知函数在上单调递增,最大值为即
根据基本不等式求解即可.
【详解】(1)函数在上单调递增.
证明如下:
令,
.
因为,所以,,
所以,
所以,即,
所以函数在上单调递增.
(2)由(1)知函数在上单调递增,
所以函数在上的最大值为,
即,所以,
所以,
当且仅当时等号成立.
【点睛】易错点睛:利用基本不等式求最值时,要注意其必须满足的三个条件:
(1)“一正二定三相等”“一正”就是各项必须为正数;
(2)“二定”就是要求和的最小值,必须把构成和的二项之积转化成定值;要求积的最大值,则必须把构成积的因式的和转化成定值;
(3)“三相等”是利用基本不等式求最值时,必须验证等号成立的条件,若不能取等号则这个定值就不是所求的最值,这也是最容易发生错误的地方.
20. (1)已知,求值:;
(2)化简:
【答案】(1)18(2)1
【解析】
【分析】(1)由诱导公式化简求值即可.
(2)由两角差的正切公式、二倍角公式以及平方关系、商数关系化简求值即可.
【详解】(1)由题意,
原式
.
(2)原式
.
21. 新冠肺炎疫情造成医用防护服短缺,某地政府决定为防护服生产企业公司扩大生产提供()(万元)的专项补贴,并以每套80元的价格收购其生产的全部防护服,公司在收到政府(万元)补贴后,防护服产量将增加到(万件),其中为工厂工人的复工率(),公司生产万件防护服还需投入成本(万元).
(1)将公司生产防护服的利润(万元)表示为补贴(万元)的函数(政府补贴万元计入公司收入);
(2)当复工率时,政府补贴多少万元才能使公司的防护服利润达到最大?并求出最大值.
【答案】(1),,
(2)当复工率时,政府补贴2万元才能使公司的防护服利润达到最大值60万元
【解析】
【分析】(1)根据题意得,代入化简即可;
(2)根据题意,代入,再结合均值不等式即可求解.
【小问1详解】
由题意得
,
即,,.
【小问2详解】
由,得,
因,当且仅当时取等号,所以.
故当复工率时,政府补贴2万元才能使公司的防护服利润达到最大值60万元.
22. 已知函数,.
(1)求函数的单调减区间;
(2)若存在,使等式成立,求实数的取值范围.
【答案】(1),.(2)
【解析】
【分析】(1)利用降次公式和辅助角公式化简表达式,根据三角函数单调区间的求法,求得函数的单调减区间.
(2)首先求得当时的值域.利用换元法令,将转化为,根据的范围,结合二次函数的性质,求得的取值范围.
【详解】(1)
由 ()
解得 ().
所以所求函数的单调减区间是 ,.
(2)当时,,,
即.
令 (),则关于的方程在上有解,
即关于的方程在上有解.
当时,.
所以,则.
因此所求实数取值范围是 .1
2
3
1
3
1
3
2
1
湖南省长沙市宁乡市2023-2024学年高一上学期期末数学试题(Word版附解析): 这是一份湖南省长沙市宁乡市2023-2024学年高一上学期期末数学试题(Word版附解析),文件包含湖南省长沙市宁乡市2023-2024学年高一上学期期末考试数学试题原卷版docx、湖南省长沙市宁乡市2023-2024学年高一上学期期末考试数学试题Word版含解析docx等2份试卷配套教学资源,其中试卷共18页, 欢迎下载使用。
2023-2024学年湖南省长沙市宁乡市高二(上)期末数学试卷(含解析): 这是一份2023-2024学年湖南省长沙市宁乡市高二(上)期末数学试卷(含解析),共14页。试卷主要包含了单选题,多选题,填空题,解答题等内容,欢迎下载使用。
2024长沙平高教育集团六校高一上学期期末数学试题含解析: 这是一份2024长沙平高教育集团六校高一上学期期末数学试题含解析,文件包含湖南省长沙市平高教育集团六校2023-2024学年高一上学期期末质量检测数学试题原卷版docx、湖南省长沙市平高教育集团六校2023-2024学年高一上学期期末质量检测数学试题含解析docx等2份试卷配套教学资源,其中试卷共18页, 欢迎下载使用。

