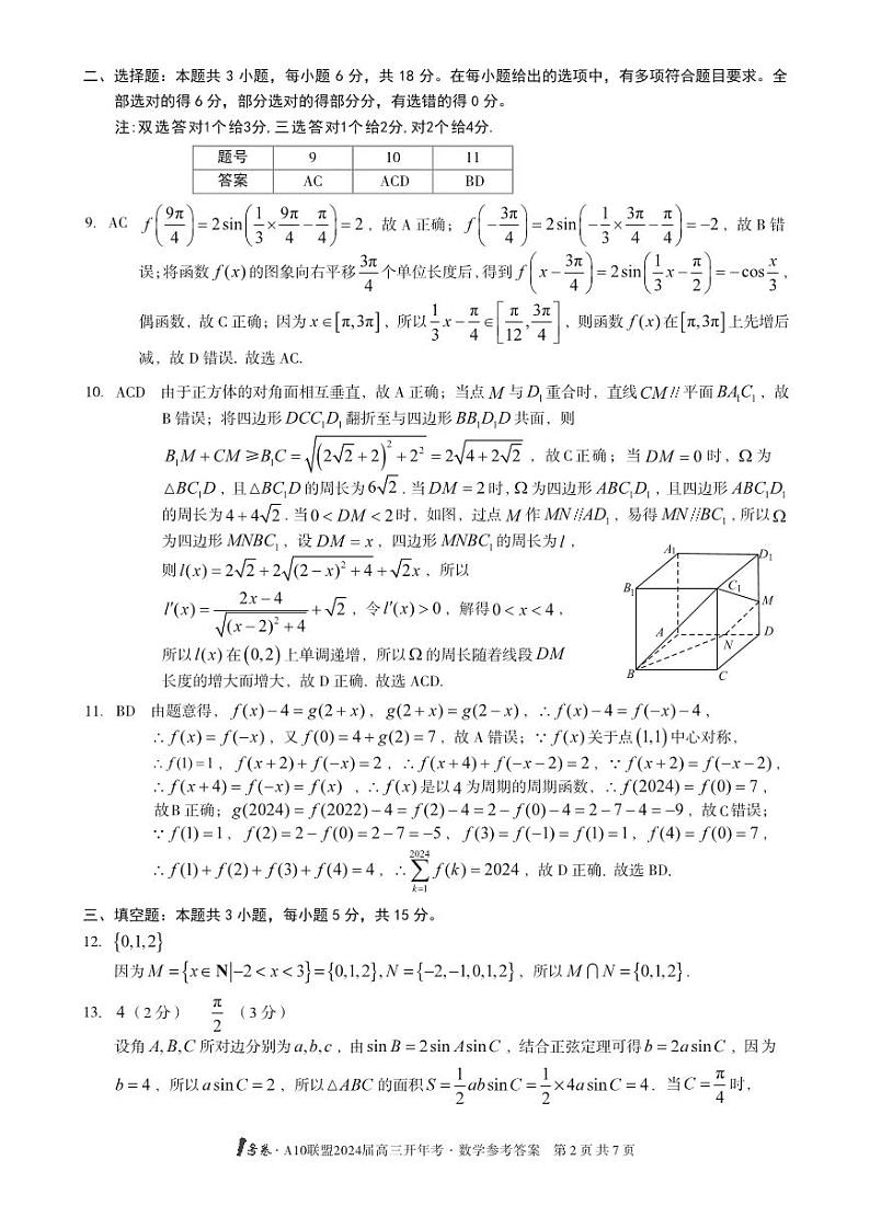
1号卷·A10联盟2024届高三下学期开学考数学试题+答题卡及答案
展开4. 1号卷·安徽A10联盟2024届高三下学期开学考考数学试题及答案: 这是一份4. 1号卷·安徽A10联盟2024届高三下学期开学考考数学试题及答案,文件包含41号卷·安徽A10联盟2024届高三开年考数学试题pdf、41号卷·安徽A10联盟2024届高三开年考数学答案pdf等2份试卷配套教学资源,其中试卷共9页, 欢迎下载使用。
1号卷A10联盟2024届高三开年考数学试题+答案: 这是一份1号卷A10联盟2024届高三开年考数学试题+答案,文件包含1号卷·A10联盟2024届高三开年考数学答案pdf、A10开年考高三数学pdf等2份试卷配套教学资源,其中试卷共11页, 欢迎下载使用。
2024届安徽1号卷A10联盟高三8月开学考数学试题+答案: 这是一份2024届安徽1号卷A10联盟高三8月开学考数学试题+答案,共9页。

