资料中包含下列文件,点击文件名可预览资料内容
还剩3页未读,
继续阅读
所属成套资源:2025届高三上学期开学摸底考数学试题+答案
成套系列资料,整套一键下载
1号卷·A10联盟2025届高三上学期开学摸底考数学试题+答案
展开
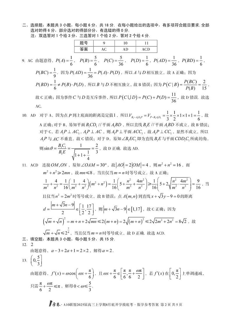
这是一份1号卷·A10联盟2025届高三上学期开学摸底考数学试题+答案,文件包含1号卷·A10联盟2025届高三上学期8月底开学摸底考数学答案pdf、1号卷·A10联盟2025届高三上学期8月底开学摸底考数学1pdf等2份试卷配套教学资源,其中试卷共7页, 欢迎下载使用。
相关试卷
1号卷·A10联盟2025届高三上学期开学摸底考数学试题+答案:
这是一份1号卷·A10联盟2025届高三上学期开学摸底考数学试题+答案,文件包含1号卷·A10联盟2025届高三上学期8月底开学摸底考数学答案pdf、1号卷·A10联盟2025届高三上学期8月底开学摸底考数学1pdf等2份试卷配套教学资源,其中试卷共7页, 欢迎下载使用。
安徽省A10联盟2025届高三上学期8月开学摸底考试数学试题:
这是一份安徽省A10联盟2025届高三上学期8月开学摸底考试数学试题,共9页。
2024届安徽省A10联盟高三上学期8月开学摸底考试数学试题含答案:
这是一份2024届安徽省A10联盟高三上学期8月开学摸底考试数学试题含答案,共19页。试卷主要包含了单选题,多选题,填空题,解答题等内容,欢迎下载使用。

