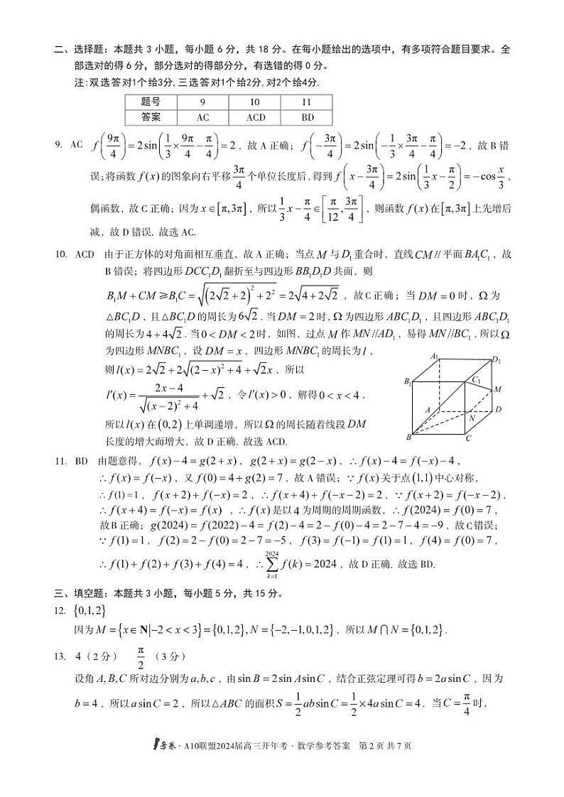
1号卷A10联盟2024届高三开年考数学试题+答案
展开1号卷A10联盟2024居高三开学摸底考数学试题及参考答案: 这是一份1号卷A10联盟2024居高三开学摸底考数学试题及参考答案,文件包含1号卷A10联盟2024居高三开学摸底考数学参考答案pdf、1号卷A10联盟2024居高三开学摸底考数学试题pdf等2份试卷配套教学资源,其中试卷共10页, 欢迎下载使用。
1号卷·A10联盟2021届高三开年考理科数学答案(1): 这是一份1号卷·A10联盟2021届高三开年考理科数学答案(1),共8页。
1号卷·A10联盟2021届高三开年考理科数学: 这是一份1号卷·A10联盟2021届高三开年考理科数学,共2页。

