石嘴山市第一中学2023届高三上学期第三次月考数学(理)试卷(含答案)
展开
这是一份石嘴山市第一中学2023届高三上学期第三次月考数学(理)试卷(含答案),共17页。试卷主要包含了选择题,填空题,解答题等内容,欢迎下载使用。
一、选择题
1.已知集合,,则为( )
A.B.C.D.
2.已知,则( )
A.B.C.D.
3.已知,则等于( )
A.B.C.D.
4.已知向量,若,则等于( )
A.3B.C.D.
5.下列函数中,是奇函数且在区间上为增函数的是( )
A.B.C.D.
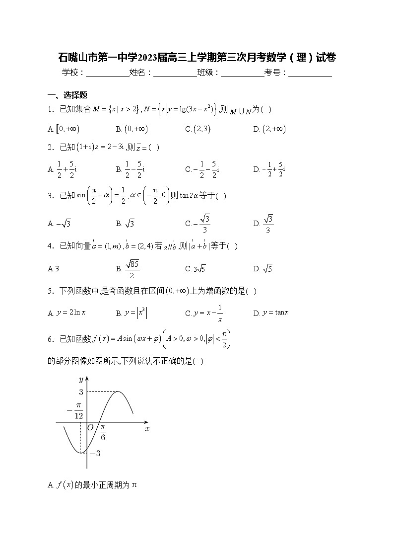
6.已知函数的部分图像如图所示,下列说法不正确的是( )
A.的最小正周期为
B.
C.关于直线对称
D.将的图像向左平移个单位长度后得到的图象关于原点对称
7.“苏州码子”发源于苏州,作为一种民间的数字符号流行一时,被广泛应用于各种商业场合.“苏州码子”0~9的写法依次为○、丨、刂、川、ㄨ、、〦、〧、〨、攵.某铁路的里程碑所刻数代表距离始发车站的里程,如某处里程碑上刻着“〦○”代表距离始发车站的里程为60公里,已知每隔3公里摆放一个里程碑,若在A点处里程碑上刻着“ㄨ”,在点处里程碑上刻着“攵〦”,则从A点到B点的所有里程碑上所刻数之和为( )
A.1029B.1125C.1224D.1650
8.函数的部分图象大致为( )
A.B.
C.D.
9.如图,在正方体中,M、N分别是CD、的中点,则异面直线与DN所成角的大小是( )
A.B.C.D.
10.已知直线l为曲线在处的切线,若l与二次曲线也相切,则( )
A. 0B.-4C.4D.0或4
11.已知三棱锥的直观图及其部分三视图如图所示,若三棱锥的四个面中面积最大的一个三角形面积是,则三棱锥的外接球体积为( )
A.B.C.D.
12.设函数是定义在R上的奇函数,对任意,都有,且当时,,若函数(且)在上恰有4个不同的零点,则实数a的取值范围是( )
A.B.C.D.
二、填空题
13.若命题“,”是假命题,则实数a的取值范围是__________.
14.把函数图象上各点的横坐标缩短到原来的(纵坐标不变),再将图象向右平移个单位长度,那么所得图象的一条对称轴方程为____________.
15.已知等差数列的前n项和为,且,,则____________;
16.已知向量,,满足,,与夹角为,,则最大值为____________.
三、解答题
17.已知函数.
(1)求函数的单调性;
(2)在中,角A,B,C的对边分别为a,b,c,且,,,求的面积.
18.如图,在四棱锥中,平面底面ABCD,,,,.
(1)证明:;
(2)求PD与平面PAB所成的角的正弦值.
19.已知等差数列的前n项和为,,.正项等比数列中,,.
(1)求与的通项公式;
(2)求数列的前n项和.
20.已知抛物线的焦点为F,直线分别与x轴交于点M,与抛物线E交于点Q,且.
(1)求抛物线E的方程;
(2)设横坐标依次为,,的三个点A,B,C都在抛物线E上,且,若是以AC为斜边的等腰直角三角形,求的最小值.
21.已知,e为自然对数的底数).
(1)讨论函数的单调性;
(2)若函数有两个不同零点,求证:.
22.在直角坐标系xOy中,直线,,以坐标原点为极点,x轴的非负半轴为极轴建立极坐标系.
(1)求,的极坐标方程;
(2)若的极坐标方程为,设与交于O,P两点(O为坐标原点),过O点与垂直的直线与,分别相交于M,N(N异于点O)两点,求的面积.
23.已知函数.
(1)求不等式的解集;
(2)若,,,求的最大值.
参考答案
1.答案:B
解析:因为,所以
而,所以
故选:B.
2.答案:D
解析:由已知得,所以.
故选:D.
3.答案:B
解析:因,则,而,于是得,
所以.
则
故选:B.
4.答案:C
解析:因为,若,
所以,
所以,
所以.
故选:C.
5.答案:C
解析:对于A,定义域为,不关于原点对称,所以为非奇非偶函数,A错误;
对于B,因定义域为R,且,为偶函数;B错误;
对于C,定义域为,,所以为奇函数,又函数在单调递增,函数在上单调递减,所以函数在上单调递增,C正确;
对于D,定义域为,,为奇函数;又,所以函数在区间上不是增函数,D错误.
故选:C.
6.答案:D
解析:由图可知,,即,故选项A正确;
由,可得,则,
因为,即,
所以,,得, ,
因为,所以,所以,故选项B正确;
由,,可得,即关于直线对称,故选项C正确;
将的图象向左平移个单位长度后得到,
所以为偶函数,图象不关于原点对称.
故选:D.
7.答案:B
解析:由题意知,A点处里程碑刻着数字54,B点处里程碑刻着数字96,
里程碑上的数字成等差数列,公差为3,
则从A到B的所有里程碑个数为,
所以从A到B的所有里程碑上的数字之和为.
故选:B.
8.答案:B
解析:函数,定义域为,,
所以函数为奇函数,则排除AD项;
当时,,,所以有,所以,B项符合条件.
故选:B.
9.答案:D
解析:若E为CN中点,连接ME,,又M是CD的中点,则,
所以与DN所成角,即为与ME所成角,
令正方体棱长为2,则,,,
在中,则.
故选:D.
10.答案:C
解析:因为,所以,所以,
所以曲线在处的切线斜率为,
则曲线在处的切线方程为,即.
由于切线与曲线相切,
由,得,
又,两线相切有一切点,
所以,
解得或(舍去).
故选:C.
11.答案:C
解析:由已知可得:底面ABC,是边长为4的等边三角形,
可得侧面SAB的面积最大,设,则,解得(负值舍去).
设三棱锥的外接球的半径为R,则,即.
三棱锥的外接球的体积.
故选:C.
12.答案:C
解析:函数是定义在R上的奇函数,当时,,
当时,,所以,
即当时,
又对任意,都有,则关于对称,且,
,即函数的周期为4,
又由函数且在上恰有4个不同的零点,
得函数与的图像在上有4个不同的交点,又,
当时,由图可得,解得;
当时,由图可得,解得.
综上可得.
故选:C.
13.答案:
解析:命题“,”是假命题,
命题“,”是真命题,
则,解得,
则实数的取值范围是.
故答案为:.
14.答案:(答案不唯一)
解析:将图象上各点的横坐标缩短到原来的(纵坐标不变),得到函数;
再将图象向右平移个单位长度,得到函数,
令,,解得,,
故是其图象的一条对称轴方程.
故答案为:(答案不唯一)
15.答案:60
解析:若数列{an}为等差数列则,,仍然成等差数列.
所以,,仍然成等差数列.
因为在等差数列中有,,
所以.
故答案为60.
16.答案:
解析:由题意,因为,,与夹角为,
可设,,
又由,
即,即,
可得圆心坐标为,半径为1的圆,
又由表示圆上的点到点的距离,
所以的最大值为.
故答案为:.
17.答案:(1)在上单调递增,在上单调递减,;
(2).
解析:(1),
由,得,;
由,得,.
故在上单调递增,在上单调递减,;
(2),则 ,
, ,即,
由正弦定理得,即,解得 , 或,
当时,,舍去,所以,故,
.
18.答案:(1)证明见解析
(2)
解析:(1)证明:在四边形ABCD中,因为,,,,
由余弦定理得,,解得,
所以,即,
因为平面平面ABCD,平面平面,平面ABCD,
所以平面PAD,
又因为平面PAD,
所以.
(2)如图,作AD的中点M,AB的中点E,连接ME,以点M为原点建立空间直角坐标系,
,则,,,,
则,,,
设平面PAB的法向量,
则有
可取,
则,
所以PD与平面PAB所成角的正弦值为.
19.答案:(1),
(2)
解析:(1)等差数列的前n项和为,,,设公差为d
所以,解得
所以
正项等比数列中,,,设公比为q
所以,所以
解得,或(舍去)
所以
(2)由(1)知:
所以
两式相减得:
20.答案:(1)
(2)32
解析:(1)设点,
因为点Q在抛物线E上,且,
所以,解得,
所以抛物线E的方程为,
(2)由题可设直线AB的斜率为,
因为,所以直线BC的斜率为,
因,所以,
所以,
因为,
所以,得,
因为,所以,
所以,
所以,
所以,
所以,
所以
,
因为,所以,
因为,所以,
所以,当且仅当时取等号,
所以,
所以的最小值为32.
21.答案:(1)详见解析;
(2)证明见解析.
解析:(1)
由题可得,
当时,,当时,;
所以当时,在上是增函数,在上是减函数;
当时,在上是减函数,在上是增函数;
(2)因为有两个不同零点,,则,,
因此,即,
要证,只要证明,即证,
不妨设,记,则,,
因此只要证明,即,
记,则,
令,则,
所以函数在上递增,
则,即,
在上单调递增,
,
即成立,
.
22.答案:(1)曲线,曲线
(2)1
解析:(1)因为,,
所以曲线,曲线;
(2)由题意:点P为,的交点,联立,
得:,直角坐标,
直线,
点M为,交点,联立,
得:,
点N为,的交点,联立,
得:.
所以,
点到直线的距离,
所以的面积.
23.答案:(1)
(2)
解析:(1)当时,原不等式等价于,
即成立,所以;
当时,原不等式等价于,解得,
又,所以;
当时,原不等式等价于,
即不成立,解得;
综上所述,不等式的解集为;
(2)由柯西不等式得,
所以,
当且仅当,即且时等号成立,
即的最大值为.
相关试卷
这是一份宁夏石嘴山市平罗中学2024届高三上学期期中考试数学(理)试卷(含答案),共14页。试卷主要包含了选择题,填空题,解答题等内容,欢迎下载使用。
这是一份西藏林芝市第二高级中学2024届高三上学期第三次月考数学(理)试卷(含答案),共14页。试卷主要包含了选择题,填空题,解答题等内容,欢迎下载使用。
这是一份2024届宁夏石嘴山市平罗中学高三上学期第三次月考数学(理)试题含答案,共15页。试卷主要包含了单选题,填空题,解答题等内容,欢迎下载使用。

