2023-2024学年江苏省盐城市东台创新高级中学高一下学期2月月检测数学试题
展开(考试时间:120分钟 满分:150分)
时间:2023.2
一、 单项选择题:本题共8小题,每小题5分,共40分.在每小题给出的四个选项中,只有一项是符合题目要求的.
1. 设集合,,则( )
A. B.
C. D.
2. 命题“”的否定为( )
A. B.
C. D.
3. 中,“为锐角”是“”的( )
A. 充分不必要条件B. 必要不充分条件
C. 充要条件D. 既不充分又不必要条件
4. 已知扇形AOB的周长是6cm,该扇形的圆心角是1弧度,则该扇形的面积( )
A. 3B. 2C. 4D. 5
5. 已知是奇函数,当时,则f(-1)等于( )
A. 0B. -2C. 2D. -1
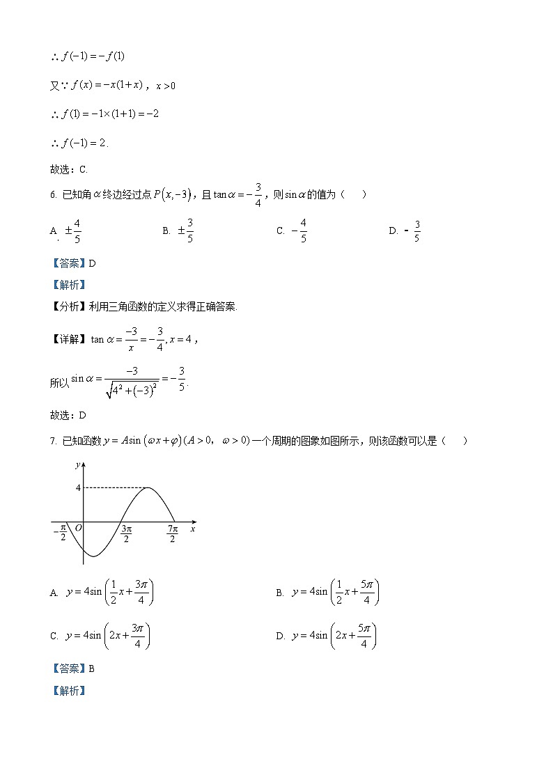
6. 已知角终边经过点,且,则值为( )
A. B. C. D.
7. 已知函数一个周期的图象如图所示,则该函数可以是( )
A. B.
C. D.
8. 函数的部分图象大致为( )
A. B.
C. D.
二、 多项选择题:本题共4小题,每小题5分,共20分.在每小题给出的选项中,有多项符合要求.全部选对的得5分,部分选对的得2分,有选错的得0分.
9. 已知,,则下列结论中不正确是( )
A. 与共线的一个单位向量是B.
C. D. 在上投影为
10. 下列关于平面向量的说法中不正确的是( )
A. ,,若,则
B. 单位向量,,则
C. 若且,则
D. 若点为的重心,则
11. 下列说法中正确的是( )
A. B. 若且,则
C. 若非零向量且,则D. 若,则有且只有一个实数,使得
12. 设均为单位向量,对任意的实数有恒成立,则( )
A. 与的夹角为B.
C. 的最小值为D. 的最小值为
三、 填空题:本题共4小题,每小题5分,共20分.
13. 已知向量,,若,则实数__________.
14. 已知平面向量,,若与垂直,则实数__________.
15. 已知正方形的边长为,边,的中点分别为,,则________.
16. 已知平面向量满足,则__________.
四、 解答题:本题共6小题,共70分.解答时应写出文字说明、证明过程或演算步骤.
17 已知向量,.
(1)求与的坐标;
(2)求向量,的夹角的余弦值.
18. 如图,在平行四边形中,,, ,求:
(1);
(2);
(3);
(4).
19. 已知,向量.
(1)若向量,求向量的坐标;
(2)若向量与向量的夹角为120°,求.
20. 如图,在中,为边上一点,且.
(1)设,求实数、的值;
(2)若,求的值;
(3)设点满足,求证:.
21. 年新冠肺炎仍在世界好多国家肆虐,并且出现了传染性更强的“德尔塔”变异毒株、拉姆达”变异毒株,尽管我国抗疫取得了很大的成绩,疫情也得到了很好的遏制,但由于整个国际环境的影响,时而也会出现一些散发病例,故而抗疫形势依然艰巨,日常防护依然不能有丝毫放松.在日常防护中,口罩是必不可少的防护用品.已知某口罩的固定成本为万元,每生产万箱,需另投入成本万元,为年产量单位:万箱;已知通过市场分析,如若每万箱售价万元时,该厂年内生产的商品能全部售完.利润销售收入总成本
(1)求年利润与万元关于年产量万箱函数关系式;
(2)求年产量为多少万箱时,该口罩生产厂家所获得年利润最大.
22. 函数的部分图象如图所示.
(1)求函数的单调递减区间;
(2)将的图象向右平移个单位长度,再将所得图象上所有点的横坐标伸长为原来的π倍(纵坐标不变),得到函数的图象,若在上有两个解,求a的取值范围.
2022-2023学年江苏省盐城市东台创新高级中学高一下学期3月检测数学试题: 这是一份2022-2023学年江苏省盐城市东台创新高级中学高一下学期3月检测数学试题,文件包含江苏省盐城市东台创新高级中学高一下学期3月检测数学试题原卷版docx、江苏省盐城市东台创新高级中学高一下学期3月检测数学试题解析版docx等2份试卷配套教学资源,其中试卷共19页, 欢迎下载使用。
2023-2024学年江苏省盐城市东台市高一上学期阶段联测数学试题含答案: 这是一份2023-2024学年江苏省盐城市东台市高一上学期阶段联测数学试题含答案,共15页。试卷主要包含了单选题,多选题,填空题,解答题等内容,欢迎下载使用。
2023-2024学年江苏省无锡市南菁高级中学高一创新班上学期10月月考数学试题含答案: 这是一份2023-2024学年江苏省无锡市南菁高级中学高一创新班上学期10月月考数学试题含答案,共19页。试卷主要包含了单选题,多选题,填空题,双空题,解答题等内容,欢迎下载使用。

