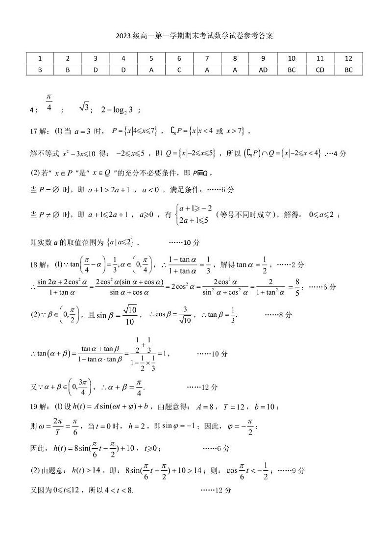
广东省汕头市金山中学2023-2024学年高一上学期期末考试数学试卷(PDF版附答案)
展开广东省汕头市金山中学2023-2024学年高二上学期期末考试数学试卷(Word版附答案): 这是一份广东省汕头市金山中学2023-2024学年高二上学期期末考试数学试卷(Word版附答案),文件包含2022级高二第一学期期末考试数学试卷及详解docx、2022级高二第一学期期末考试数学答题卡pdf、2022级高二第一学期期末考试数学试卷doc等3份试卷配套教学资源,其中试卷共24页, 欢迎下载使用。
广东省汕头市金山中学2023-2024学年高一上学期10月阶段数学试题(Word版附答案): 这是一份广东省汕头市金山中学2023-2024学年高一上学期10月阶段数学试题(Word版附答案),共5页。试卷主要包含了单选题,多选题,填空题,解答题等内容,欢迎下载使用。
广东省汕头市金山中学2023-2024学年高一上学期期中考试数学试卷: 这是一份广东省汕头市金山中学2023-2024学年高一上学期期中考试数学试卷,共4页。

