- 专题2-4 切线12种题型归类(讲+练)-高考数学一轮复习热点题型归纳培优讲义(新高考通用) 试卷 0 次下载
- 专题2-5 导数构造函数十二种题型归类(讲+练)-高考数学一轮复习热点题型归纳培优讲义(新高考通用) 试卷 0 次下载
- 专题3-1 三角函数与弧度制14种题型归类(讲+练)-高考数学一轮复习热点题型归纳培优讲义(新高考通用) 试卷 0 次下载
- 专题3-2 三角函数恒等变形与拆角、给值求值归类(讲+练)-高考数学一轮复习热点题型归纳培优讲义(新高考通用) 试卷 0 次下载
- 专题3-3 三角函数图像:平移及图像性质(讲+练)-高考数学一轮复习热点题型归纳培优讲义(新高考通用) 试卷 0 次下载
专题2-7 导数不等式证明18种题型归类 (讲+练)-高考数学一轮复习热点题型归纳培优讲义(新高考通用)
展开知识梳理与二级结论
1、应用导数证明不等式基础思维:
(1)直接构造函数法:证明不等式(或)转化为证明(或),进而构造辅助函数;
(2)适当放缩构造法:一是根据已知条件适当放缩;二是利用常见放缩结论;
(3)构造“形似”函数,稍作变形再构造,对原不等式同解变形,根据相似结构构造辅助函数.
2.“切线放缩”是处理不等式问题的一种技巧.如:在点处的切线为,如图所示,易知除切点外,图象上其余所有的点均在的上方,故有.该结论可构造函数并求其最小值来证明.显然,我们选择的切点不同,所得的不等式也不同.
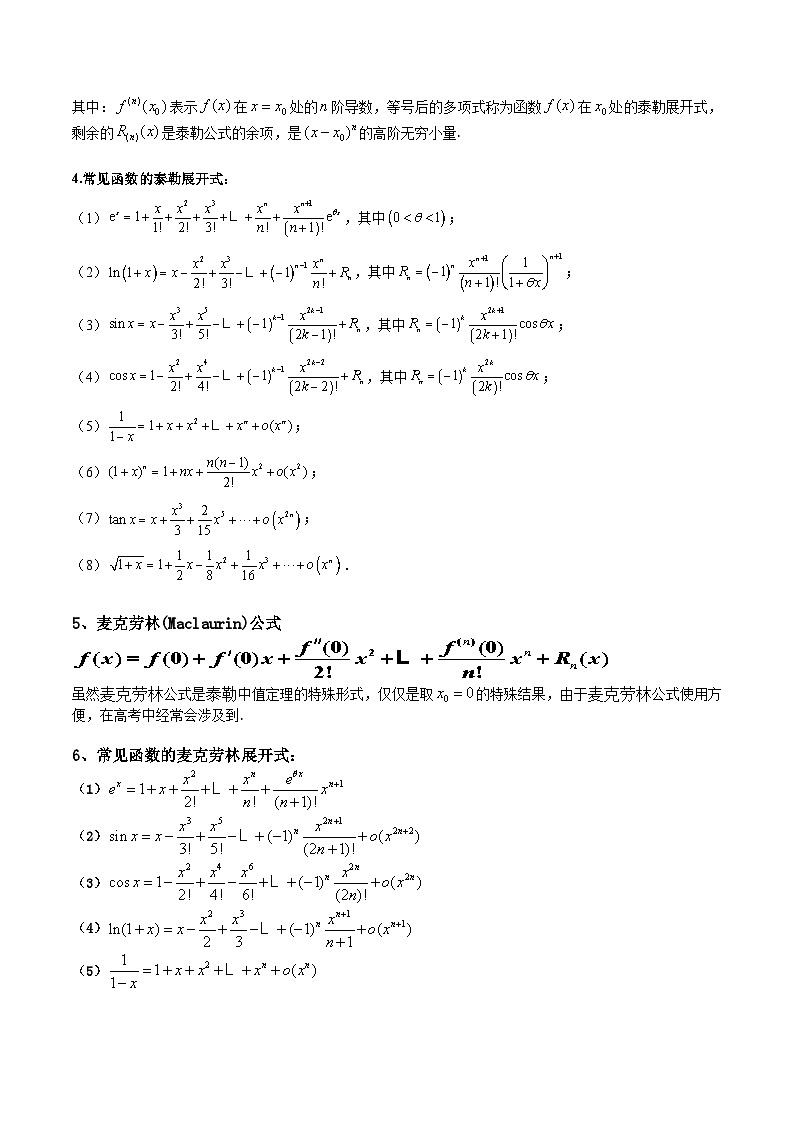
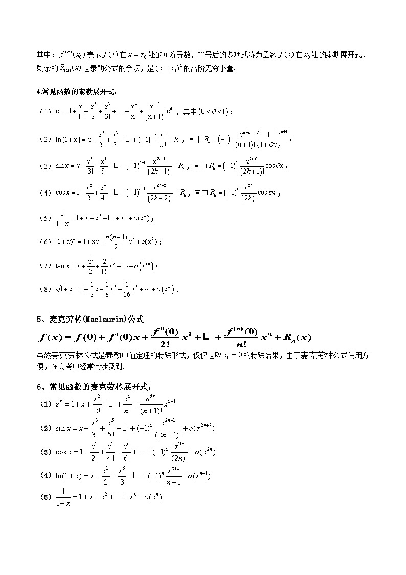
3、泰勒公式形式:
泰勒公式是将一个在处具有阶导数的函数利用关于的次多项式来逼近函数的方法.
若函数在包含的某个闭区间上具有阶导数,且在开区间上具有阶导数,则对闭区间上任意一点,成立下式:
其中:表示在处的阶导数,等号后的多项式称为函数在处的泰勒展开式,剩余的是泰勒公式的余项,是的高阶无穷小量.
4.常见函数的泰勒展开式:
(1),其中;
(2),其中;
(3),其中;
(4),其中;
(5);
(6);
(7);
(8).
5、麦克劳林(Maclaurin)公式
虽然麦克劳林公式是泰勒中值定理的特殊形式,仅仅是取的特殊结果,由于麦克劳林公式使用方便,在高考中经常会涉及到.
6、常见函数的麦克劳林展开式:
(1)
(2)
(3)
(4)
(5)
(6)
7、两个超越不等式:(注意解答题需先证明后使用)
(1)、对数型超越放缩:()
(2)、指数型超越放缩:()
8.极值点偏移问题的一般题设形式:
(1). 若函数存在两个零点且,求证:(为函数的极值点);
(2). 若函数中存在且满足,求证:(为函数的极值点);
(3). 若函数存在两个零点且,令,求证:;
(4). 若函数中存在且满足,令,求证:.
热点考题归纳
【题型一】不等式证明基础
【典例分析】
已知函数.
(1)求曲线在点处的切线方程;
(2)求证:.
【提分秘籍】
【变式演练】
1.(甘肃省武威市凉州区2022届高三下学期质量检测数学(文)试题)设函数,其中为自然对数的底数,曲线在处切线的倾斜角的正切值为.(1)求的值;
(2)证明:.
2.已知函数.
(1)若函数在定义域内为增函数,求实数的取值范围;
(2)若且,求证:.
【题型二】三角函数型不等式证明
【典例分析】
(北京市第八中学2023届高三上学期12月测试数学试题)已知函数(其中).
(1)若,判断函数在上的单调性;
(2)若,判断函数零点个数,并说明理由;
(3)若,求证:.
【变式演练】
(江苏省连云港市灌南高级中学、灌云高级中学2022-2023学年高三上学期10月联考数学试题)已知函数.
(1)当时,,求实数的取值范围;
(2)证明:.
【题型三】数列“累加型”不等式证明
【典例分析】
(2023·四川成都·石室中学校考模拟预测)已知函数.
(1)若,求实数a的值;
(2)已知且,求证:.
【提分秘籍】
【变式演练】
(2023·贵州黔东南·凯里一中校考三模)已知函数.
(1)证明:;
(2)证明:.
【题型四】双变量构造换元型不等式证明
【典例分析】
(2021·黑龙江·校联考模拟预测)已知.
(1)求关于的函数的单调区间;
(2)已知,证明:.
【提分秘籍】
【变式演练】
(2021·广东·统考一模)已知,,直线与函数、的图象都相切,且与函数的图象的切点的横坐标为.
(Ⅰ)求直线的方程及的值;
(Ⅱ)若(其中是的导函数),求函数的最大值;
(Ⅲ)当时,求证:.
【题型五】同构型不等式证明
【典例分析】
(四川省乐山市高中2022届第一次调查研究考试数学(理)试题)已知函数,,其中.(1)试讨论函数的单调性;
(2)若,证明:.
【提分秘籍】
【变式演练】
(2022·贵州黔东南·统考一模)已知函数.
(1)试讨论函数的单调性;
(2)对,且,证明:.
【题型六】双变量“比值代换型”不等式证明
【典例分析】
(2020·黑龙江哈尔滨·哈尔滨三中校考三模)函数
(1)求证:函数在上单调递增;
(2)若为两个不等的正数,试比较与的大小,并证明.
【提分秘籍】
【变式演练】
(2022·湖北黄冈·统考一模)已知函数.
(1)求函数的单调区间;
(2)若在上恒成立,求实数的取值范围;
【题型七】凸凹反转型不等式证明
【典例分析】
(宁夏青铜峡市高级中学2022届高三上学期第一次月考数学(理)试题)已知函数,.
(1)求函数的单调区间;
(2)当时,求的最小值;
(3)当时,证明:.
【提分秘籍】
【变式演练】
(陕西省西安市高新第一中学2021-2022学年高三上学期第一次月考理科数学试题)已知函数.
(1)讨论函数的单调性;
(2)证明:.
【题型八】极值点偏移型不等式证明
【典例分析】
已知函数f(x)=ln x+.
(1)求f(x)的最小值;
(2)若方程f(x)=0有两个根x1,x2(x1
【提分秘籍】
【变式演练】
已知函数.(1)讨论函数的单调性;
(2)当时,设函数的两个零点为,,试证明:.
【题型九】“极值型偏移”型不等式证明
【典例分析】
(湖北省新高考联考协作体2021-2022学年高三上学期12月联考数学试题)已知函数,.
(1)求函数的单调区间;
(2)若,,,为的两个极值点,证明:.
【变式演练】
(2023·贵州毕节·校考模拟预测)已知函数.
(1)当时,,求的取值范围.
(2)若函数有两个极值点,证明:.
【题型十】三角函数型极值点偏移不等式证明
【典例分析】
(2022·河南郑州·校联考二模)已知函数,.
(1)求函数的单调区间;
(2)若,且,证明:.
【变式演练】
(2023·福建宁德·统考模拟预测)已知函数.
(1)若,求实数的取值范围;
(2)若,且,求证:且.
【题型十一】三个零点型不等式证明
【典例分析】
(浙江省舟山中学2021-2022学年高三上学期12月月考数学试题)已知函数
.(1)求函数的最小值;
(2)若有三个零点,
①求的取值范围;
②求证:.
【提分秘籍】
【变式演练】
(浙江省杭州市第十四中学2021届高三下学期5月模拟考试数学试题)已知函数
(1)若对任意,不等式恒成立,求的取值范围;(2)已知函数有3个不同的零点.
(i)求的取值范围;(ii)求证:.
【题型十二】三个极值点型不等式证明
【典例分析】
已知函数.
(1)讨论f(x)的极值点的个数;
(2)若f(x)有3个极值点x1,x2,x3(其中x1<x2<x3),证明:x1x3<x22.
【变式演练】
已知函数(其中为常数).
(1)当时,求函数的单调减区间和极值点;
(2)当时,设函数的3个极值点为,,,且,
①求的取值范围;
②证明:当时,.
【题型十三】系数不一致型不等式证明
【典例分析】
(浙江省浙南名校联盟2021-2022学年高三上学期期末联考数学试题)设实数,且,函数.
(1)求函数的单调区间;
(2)若函数有两个不同的零点.
(i)求的取值范围;
(ii)证明:.
【提分秘籍】
【变式演练】
(浙江省绍兴市诸暨市2021-2022学年高三上学期期末数学试题)已知函数
.
(1)当时,求在处的切线方程;
(2)若有两个极值点、,且.
(ⅰ)求实数的取值范围;(ⅱ)求证:.
【题型十四】极值构造型(利用第一问结论)
【典例分析】
(2022·海南·统考一模)已知函数.
(1)求的单调区间;
(2)若在上恒成立,求实数的取值集合;
(3)当时,对任意的,求证:.
【提分秘籍】
【变式演练】
(2023·吉林·统考模拟预测)已知函数,且.
(1)求实数的取值范围;
(2)设为整数,且对任意正整数,不等式恒成立,求的最小值;
(3)证明:.
【题型十五】先放缩型证明不等式
【典例分析】
(2022届高三普通高等学校招生全国统一考试数学信息卷(二))已知函数,.在下列三个条件中任选一个填在下面的横线上,解答下列问题.
①,②,③.
(1)(ⅰ)______,曲线在点处的切线经过点,求实数a的值;
(ⅱ)求证:是曲线的一条切线.
(2),当,时,求证:.
【提分秘籍】
【变式演练】
(山东省2021-2022学年高三上学期12月备考监测第二次联合考试数学试题)函数.
(1)若恒成立,求的取值范围.
(2)证明:.
【题型十六】切线放缩型不等式证明
【典例分析】
(2021年高考数学押题预测卷(天津卷)01)已知函数,其中是自然对数的底数,是函数的导数.
(1)若,时 .
(i)当时,求曲线在处的切线方程.
(ⅱ)当时,判断函数在区间零点的个数.
(2)若,,当时,求证:若,且,则.
【变式演练】
(江苏省泰州市姜堰中学2020-2021学年高三上学期12月月考数学试题)已知函数,.
(1)讨论的单调性;
(2)当时,
①求函数在处的切线,并证明,函数图象恒在切线上方;
②若有两解,且,证明.
【题型十七】利用韦达定理置换型不等式证明
【典例分析】
(山西省山西大学附属中学2021届高三下学期三月模块诊断理科数学试题)已知函数,.
(1)讨论函数的单调性;
(2)若有两个极值点,,证明:.
【提分秘籍】
【变式演练】
已知函数,().
(1)若存在两个极值点,求实数的取值范围;
(2)若,为的两个极值点,证明:.
【题型十八】啊泰勒展开型不等式证明
【典例分析】
(2022·辽宁沈阳·东北育才学校校考模拟预测)给出以下三个材料:①若函数可导,我们通常把导函数的导数叫做的二阶导数,记作.类似地,二阶导数的导数叫做三阶导数,记作,三阶导数的导数叫做四阶导数……一般地,阶导数的导数叫做阶导数,记作.②若,定义.③若函数在包含的某个开区间上具有阶的导数,那么对于任一有,我们将称为函数在点处的阶泰勒展开式.例如,在点处的阶泰勒展开式为.根据以上三段材料,完成下面的题目:
(1)求出在点处的阶泰勒展开式,并直接写出在点处的阶泰勒展开式;
(2)比较(1)中与的大小.
(3)证明:.
【提分秘籍】
【变式演练】
(2022春·广东广州·高三校级联考)已知函数.
(1)求函数的单调区间;
(2)证明:.
高考真题对点练
1.(2023·天津·统考高考真题)已知函数.
(1)求曲线在处切线的斜率;
(2)当时,证明:;
(3)证明:.
2.(2022·全国·统考高考真题)已知函数.
(1)若,求a的取值范围;
(2)证明:若有两个零点,则.
3.(2022·北京·统考高考真题)已知函数.
(1)求曲线在点处的切线方程;
(2)设,讨论函数在上的单调性;
(3)证明:对任意的,有.
4.(2021·浙江·统考高考真题)设a,b为实数,且,函数
(1)求函数的单调区间;
(2)若对任意,函数有两个不同的零点,求a的取值范围;
(3)当时,证明:对任意,函数有两个不同的零点,满足.
(注:是自然对数的底数)
5.(2021·全国·统考高考真题)设函数,已知是函数的极值点.
(1)求a;
(2)设函数.证明:.
6.(2021·全国·统考高考真题)已知函数.
(1)讨论的单调性;
(2)设,为两个不相等的正数,且,证明:.
最新模考真题
1.(2023·西藏昌都·校考模拟预测)已知函数.
(1)讨论函数的单调区间;
(2)若为函数的极值点,求证:.
2.(2023·贵州毕节·校考模拟预测)已知函数在处取得极小值.(1)求实数的值;
(2)当时,证明:.
3.(2023·贵州贵阳·校联考三模)实数,,.
(1)讨论的单调性并写出过程;
(2)求证:.
4.(2023·四川·校联考一模)已知函数.
(1)求的单调区间;(2)令,若有两个零点,,且是的唯一极值点,求证:.
5.(2023·福建三明·统考三模)已知函数.
(1)讨论的单调性;
(2)若,证明:.
6.(2023·山东济南·校考模拟预测)设函数,已知恒成立.
(1)求实数的值;
(2)若数列满足,且,证明:.
7.(2023·江西赣州·统考模拟预测)已知函数.
(1)若函数,讨论函数的单调性;
(2)证明:当时,.
8.(2023·江西赣州·统考模拟预测)已知函数,.
(1)若,讨论函数的单调性;
(2)证明:当时,函数的图象在函数的图象的下方.
结束一、知识梳理与二级结论
二、热考题型归纳
【题型一】 不等式证明基础
【题型二】 三角函数型不等式证明
【题型三】 数列“累加型”不等式证明
【题型四】 双变量构造换元型不等式证明
【题型五】 同构型不等式证明
【题型六】 双变量“比值代换”型不等式证明
【题型七】 凸凹反转型不等式证明
【题型八】 极值点偏移型不等式证明
【题型九】 “极值型偏移”不等式证明
【题型十】 三角函数型极值点偏移不等式证明
【题型十一】三个零点型不等式证明
【题型十二】三个极值点型不等式证明
【题型十三】系数不一致型不等式证明
【题型十四】极值构造(利用第一问结论)
【题型十五】先放缩型不等式证明
【题型十六】切线放缩型不等式证明
【题型十七】利用韦达定理置换型不等式证明
【题型十八】泰勒展开型不等式证明
三、高考真题对点练
四、最新模考题组练
利用导数证明不等主要方法有两个:
一、比较简单的不等式证明,不等式两边作差构造函数,利用导数研究函数的单调性,求出函数的最值即可;
二、较为综合的不等式证明,要观察不等式特点,结合已解答的问题把要证的不等式变形,并运用已证结论先行放缩,然后再化简或者进一步利用导数证明.
涉及到三角函数型不等式证明,证明思路和基础不等式导数证明思路一致,对于三角函数,主要是正余弦,要充分利用正余弦函数的有界性。
涉及函数的双零点问题,不管待证的是两个变量的不等式,还是导函数的值的不等式,都是把双变量的等式或不等式转化为一元变量问题求解,途径都是构造一元函数.
利用函数同等变形,通过构造“形似”函数新形式,稍作变形再构造,对原不等式同解变形,根据相似结构构造辅助函数.
比值代换常见经验思维:
1.一般当有对数差时,可以运算得到对数真数商,这是常见的比值代换形式
2.两个极值点(或者零点),可代入得到两个“对称”方程
3.适当的恒等变形,可构造出“比值”型整体变量。
类型特征:
特殊技巧;
分开为两个函数,各自研究,甚至用上放缩法。
利用导数证明不等式常见类型及解题策略:
(1)构造差函数,根据差函数导函数符号,确定差函数单调性,利用单调性得不等量关系,进而证明不等式;
(2)根据条件,寻找目标函数,一般思路为利用条件将求和问题转化为对应项之间大小关系,或利用放缩、等量代换将多元函数转化为一元函数.
对于三个极值点或者三个零点题型,可以有以下常见思维:
1.可以通过代换消去一个极值点。
2.一些函数也可以求出具体的极值点
3.通过分类讨论可以“锁定”一个的取值范围,适当放缩。
系数不一致题型,多有前提条件:极值点或者 零点
1.可以借助“比值”等代换方式引入参数,转化为一个变量。
2.可以利用“极值点”偏移构造新函数证明。
一些试题,可以通过对第一问分类讨论,得出一些不等式放缩式子或者放缩方向
1.可以利用第一问单调性提炼出不等式
2.可以利用第一问极值或者最值提炼出常数不等式
3.可以利用题干和第一问结论构造新函数(新不等式)
放缩构造法:
1.根据已知条件适当放缩;
2.利用常见放缩结论;
常见的切线不等式放缩思维
1.题干条件大多数是与函数额极值x1,x2有关。
2.利用韦达定理代换:可以消去x1,x2留下参数
利用泰勒公式证明不等式:若函数在含有的某区间有定义,并且有直到阶的各阶导数,又在点处有阶的导数,则有公式
在上述公式中若(或),则可得
或
专题5-2 截面与动点10题型归类(讲+练)-高考数学一轮复习热点题型归纳培优讲义(新高考通用): 这是一份专题5-2 截面与动点10题型归类(讲+练)-高考数学一轮复习热点题型归纳培优讲义(新高考通用),文件包含专题5-2截面与动点原卷版docx、专题5-2截面与动点解析版docx等2份试卷配套教学资源,其中试卷共78页, 欢迎下载使用。
专题5-1 外接球15题型归类(讲+练)-高考数学一轮复习热点题型归纳培优讲义(新高考通用): 这是一份专题5-1 外接球15题型归类(讲+练)-高考数学一轮复习热点题型归纳培优讲义(新高考通用),文件包含专题5-1外接球归类讲+练原卷版docx、专题5-1外接球归类讲+练解析版docx等2份试卷配套教学资源,其中试卷共93页, 欢迎下载使用。
专题4-4 数列求和综合大题15题型归类(讲+练)-高考数学一轮复习热点题型归纳培优讲义(新高考通用): 这是一份专题4-4 数列求和综合大题15题型归类(讲+练)-高考数学一轮复习热点题型归纳培优讲义(新高考通用),文件包含专题4-4数列求和综合大题归类讲+练原卷版docx、专题4-4数列求和综合大题归类讲+练解析版docx等2份试卷配套教学资源,其中试卷共66页, 欢迎下载使用。

