还剩5页未读,
继续阅读
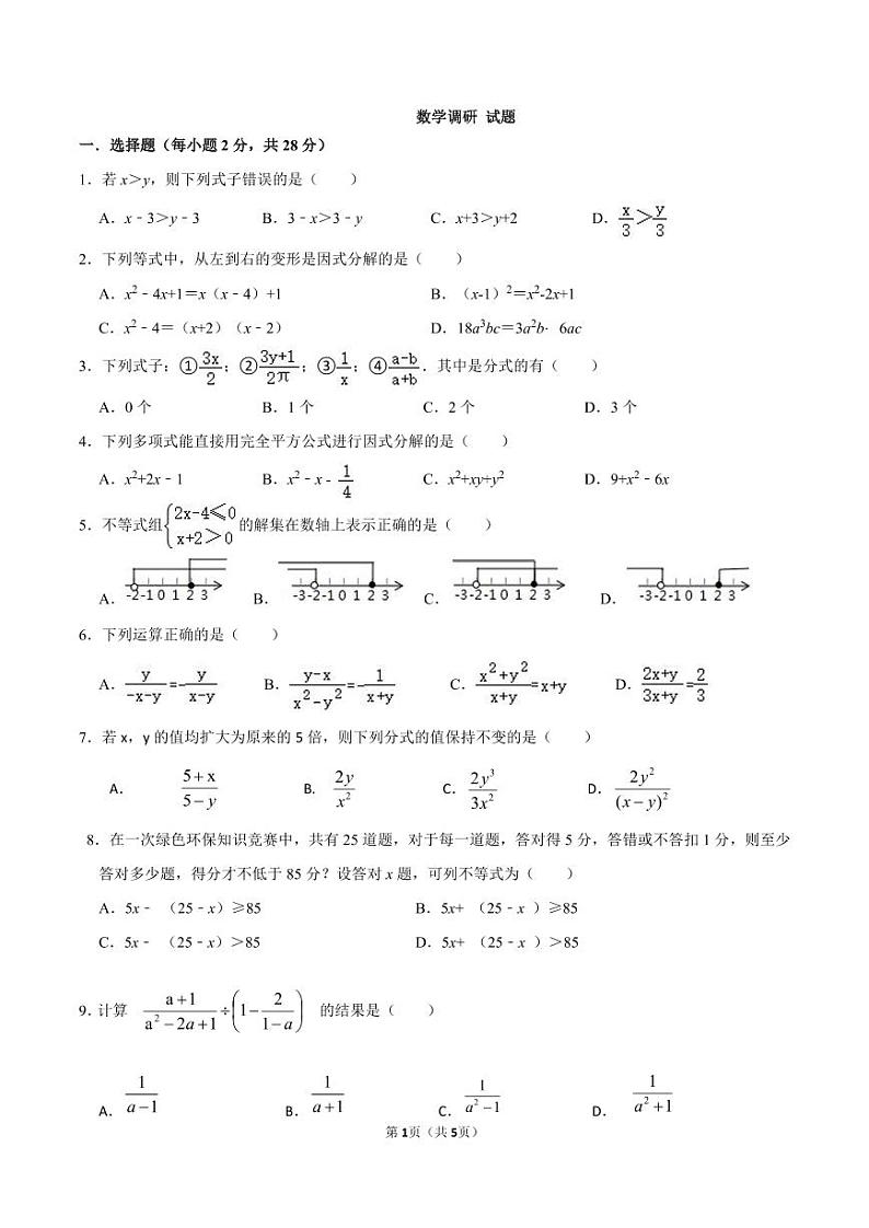
辽宁省沈阳市第七中学2021-2022学年八年级下学期4月数学月考试题(图片版含答案)
展开
这是一份辽宁省沈阳市第七中学2021-2022学年八年级下学期4月数学月考试题(图片版含答案),共8页。
相关试卷
辽宁省沈阳市第七中学2021-2022学年八年级下学期4月数学月考试题:
这是一份辽宁省沈阳市第七中学2021-2022学年八年级下学期4月数学月考试题
辽宁省沈阳市沈河区第七中学2022-2023学年八年级上学期期中数学试题(含答案):
这是一份辽宁省沈阳市沈河区第七中学2022-2023学年八年级上学期期中数学试题(含答案),共8页。试卷主要包含了选择题,填空题,解答题等内容,欢迎下载使用。
辽宁省沈阳市第七中学2022-2023学年八年级上学期10月月考数学试题(含答案):
这是一份辽宁省沈阳市第七中学2022-2023学年八年级上学期10月月考数学试题(含答案),共7页。试卷主要包含了选择题,填空题,解答题等内容,欢迎下载使用。

