四川省达州市普通高中2024届高三上学期第一次诊断性测试数学试题(理科)
展开注意事项:
1.答题前,考生务必将自己的姓名、准考证号填写在答题卡上.
2.回答选择题时,选出每小题答案后,用铅笔把答题卡上对应题目的答案标号涂黑.如需改动,用橡皮擦干净后,再选涂其它答案标号,回答非选择题时,将答案写在答题卡上,写在本试卷无效.
3.考试结束后,将本试卷和答题卡一并交回.
一、选择题:本题共12小题,每小题5分,共60分.在每小题给出的四个选项中,只有一项是符合题目要求的.
1.已知集合,,则
A.B.C.D.
2.复数满足,则在复平面内表示复数的点位于
A.第一象限B.第二象限C.第三象限D.第四象限
3.将某年级600名学生分配到甲、乙、丙、丁、戊这5个社区参加社会实践活动,每个人只能到一个社区.经统计,将到各个社区参加志愿者活动的学生人数绘制成如下不完整的两个统计图,则分到戊社区参加活动的学生人数为
A.30B.45C.60D.75
4.已知,是两条不同的直线,,,是三个不同的平面,则下列说法正确的是
A.,,则B.,则
C.,,则D.,,则
5.已知直线:和圆:,则是直线和圆有公共点的
A.充分不必要条件B.必要不充分条件
C.充要条件D.既不充分也不必要条件
6.已知向量,,,夹角为,则为
A.B.19C.D.18
7.从0,1,2,3,4,5这6个数中任选2个偶数和1个奇数,组成没有重复数字的三位数的个数为
A.36B.42C.45D.54
8.高为5的圆锥的顶点和底面圆都在球的表面上,若球的体积为,则这个圆锥的体积为
A.B.C.D.
9.《孙子算经》是我国南北朝时著名的数学著作,其中有物不知数问题:今有物不知其数,三三数之剩二,五五数之剩三,七七数之剩二.问物几何?意思是:有一些物品,不知道有多少个,只知道将它们三个三个地数,会剩下2个;五个五个地数,会剩下3个;七个七个地数,也会剩下2个,这些物品的数量是多少个?若一个正整数除以三余二,除以五余三,将这样的正整数由小到大排列,则前10个数的和为
A.754B.755C.756D.757
10.把不超过的最大整数记作,如,,,若实数,满足,且,则
A.6B.7C.8D.9
11.设双曲线的左、右焦点分别为,,过的直线分别交双曲线左、右两支于,两点,是以为斜边的等腰直角三角形,则双曲线离心率为
A.B.C.2D.3
12.已知,,若不等式的解集中只含有2个正整数,则的取值范围为
A.B.C.D.
二、填空题:本题共4小题,每小题5分,共20分。
13.写出一个同时满足下列两个条件的角______.(用弧度制表示)
①,②.
14.的展开式中的系数为20,则的值为______.
15.函数,且,则的值为______.
16.已知为平面四边形内一点,数列满足,当时,恒有,,相交于点,且,设数列的前项和为,则______.
三、解答题:共70分.解答应写出文字说明、证明过程或演算步䝒.第17~21题为必考题,每个试题考生都必须作答.第22、23题为选考题,考生根据要求作答.
(一)必考题:共60分.
17.(12分)
中国北斗卫星导航系统是中国自行研制的全球卫星导航系统.从全球应用北斗卫星的城市中随机选取了40个城市进行调研,下图是这40个城市北斗卫星导航系统与位置服务产业的产值(单位:万元)的频率分布直方图:
(1)根据频率分布直方图,求产值小于610万元的调研城市个数,并估计产值的中位数;
(2)视频率为概率,从全球应用北斗卫星的城市中任取5个城市,求恰有2个城市的产值超过600万元的概率.
18.(12分)
记的三个内角分别为,,,其对边分别为,,,若,的面积为.
(1)求;
(2)若,求.
19.(12分)
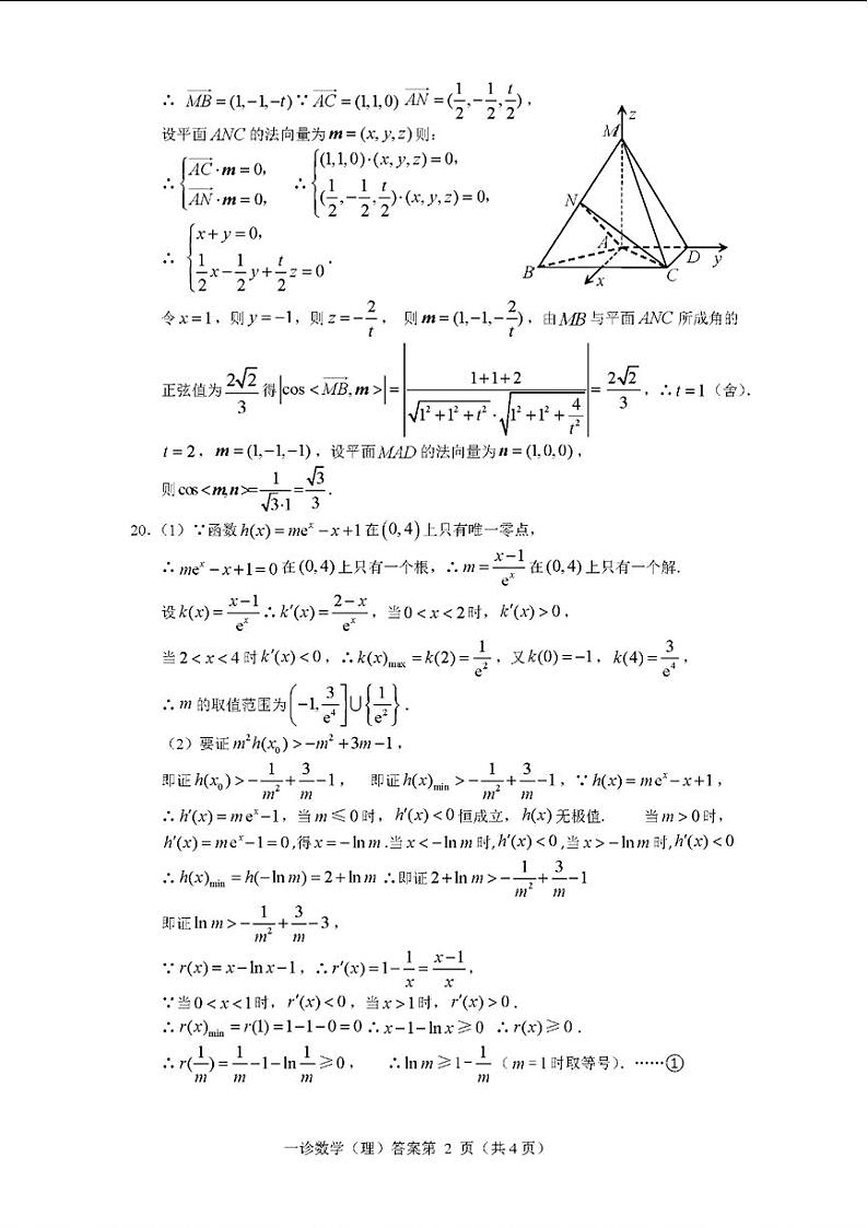
如图,在四棱锥中,平面,,,,,点为的中点.
(1)证明:平面平面:
(2)若直线与平面所成角的正弦值为,,求平面与平面所成锐二面角的余弦值.
20.(12分)
已知函数.
(1)若在上有唯一零点,求的取值范围;
(2)若对任意实数恒成立,证明:.
21.(12分)
已知,椭圆的面积为(其中,为椭圆的长半轴长,为椭圆的短半轴长).若椭圆:的左、右焦点分别为,,过的直线与交于,两点,直线与的另一交点为(,,均不与顶点重合),的周长为8,的面积为.
(1)求的标准方程;
(2)为原点,记直线,的斜率分别为,,求的值.
(二)选考题:共10分.请考生在第22、23题中任选一题作答,如果多做,则按所做的第一题计分.
22.[选修4-4:坐标系与参数方程](10分)
在平面直角坐标系中,以坐标原点为极点,轴正半轴为极轴建立极坐标系,曲线是以为圆心,且过点的圆.
(1)求曲线的直角坐标方程和极坐标方程;
(2)若,为曲线上两个动点,且,求面积的最大值.
23.[选修4-5:不等式选讲](10分)
记不等式的解集中最小整数为.
(1)求的值;
(2)若,且,求的最小值.
四川省达州市普通高中2024届高三第一次诊断性测试数学(文科)试题: 这是一份四川省达州市普通高中2024届高三第一次诊断性测试数学(文科)试题,文件包含2024达州一诊文数参考答案pdf、四川省达州市普通高中2024届第一次诊断性测试数学文科试题pdf等2份试卷配套教学资源,其中试卷共5页, 欢迎下载使用。
四川省达州市普通高中2024届高三第一次诊断性测试数学(文科)试题: 这是一份四川省达州市普通高中2024届高三第一次诊断性测试数学(文科)试题,文件包含2024达州一诊文数参考答案pdf、四川省达州市普通高中2024届第一次诊断性测试数学文科试题pdf等2份试卷配套教学资源,其中试卷共5页, 欢迎下载使用。
四川省达州市普通高中2023届高三第一次诊断性测试理科数学试题(解析版): 这是一份四川省达州市普通高中2023届高三第一次诊断性测试理科数学试题(解析版),共34页。试卷主要包含了 “”是“”的, 点为双曲线, 曲线在点处的切线平分圆,则等内容,欢迎下载使用。

