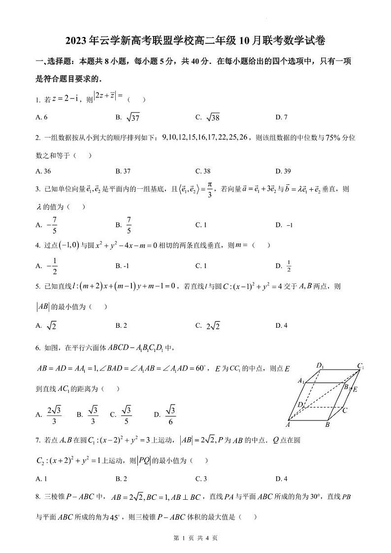
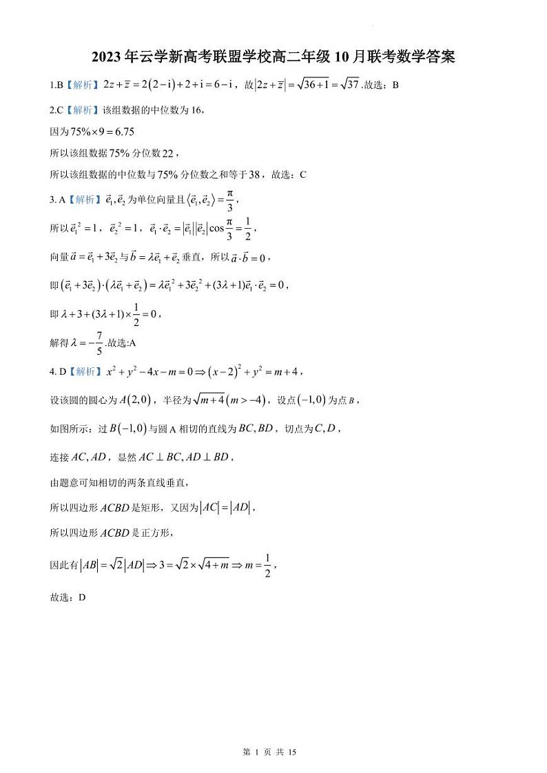
2023 年云学新高考联盟学校高二年级 10 月联考数学试卷(附答案)
展开湖北省云学新高考联盟学校2023-2024学年高二数学上学期10月联考试题(Word版附解析): 这是一份湖北省云学新高考联盟学校2023-2024学年高二数学上学期10月联考试题(Word版附解析),共3页。试卷主要包含了 若,则等内容,欢迎下载使用。
2024湖北省云学新高考联盟学校高二上学期10月联考数学试题含解析: 这是一份2024湖北省云学新高考联盟学校高二上学期10月联考数学试题含解析,共35页。试卷主要包含了 若,则等内容,欢迎下载使用。
湖北省云学新高考联盟学校2023-2024学年高二数学上学期10月联考试题(PDF版附答案): 这是一份湖北省云学新高考联盟学校2023-2024学年高二数学上学期10月联考试题(PDF版附答案),共8页。

