高一上数学必修一第四章《4.3 指数函数与对数函数的关系》同步练习
展开高一上数学必修一第四章《4.4幂函数》同步练习: 这是一份高一上数学必修一第四章《4.4幂函数》同步练习,共15页。
数学必修 第二册4.3 指数函数与对数函数的关系练习: 这是一份数学必修 第二册4.3 指数函数与对数函数的关系练习,共18页。试卷主要包含了3指数函数与对数函数的关系等内容,欢迎下载使用。
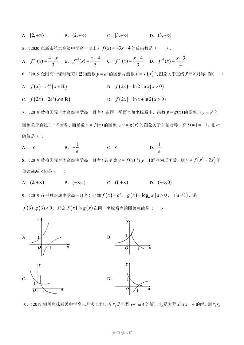
高中数学人教B版 (2019)必修 第二册4.3 指数函数与对数函数的关系练习: 这是一份高中数学人教B版 (2019)必修 第二册4.3 指数函数与对数函数的关系练习,文件包含八指数函数与对数函数的关系同步练习教师版-2022-2023学年高一上学期数学人教B版2019必修第二册docx、八指数函数与对数函数的关系同步练习学生版-2022-2023学年高一上学期数学人教B版2019必修第二册docx等2份试卷配套教学资源,其中试卷共12页, 欢迎下载使用。

