沪科版七年级下册9.2 分式的运算优质课教案设计
展开9.2分式的运算
1.分式的乘除
【知识与技能】
1.掌握分式乘除的法则和分式乘方的法则.
2.能熟练地进行分式的乘除法运算和乘方运算.
【过程与方法】
引导学生通过观察,分析,归纳探索分式乘除的法则,培养学生用类比的方法探索新知识的能力.
【情感态度】
有意识地引导学生积极参与到数学活动过程中,培养学生的观察、分析、归纳能力,并通过合作交流体验成功的喜悦.
【教学重点】
分式的乘除法则和乘方法则.
【教学难点】
运用分式的乘除法则和乘方法则熟练地进行运算.
![]()
一、情境导入,初步认识
问题:你还记得分数的乘除运算吗?

【教学说明】教师提问题,学生回顾分数乘除法的计算法则,自然想到分式的乘除法是否也能这样进行计算,激发学生探求新知的欲望.
二、思考探究,获取新知
1.分式乘除的法则思考:任给下面式子中a,b,c,d一组数据,如a=2,b=3,c=-2,d=-3,求下面式子的值,再任选一组a,b,c,d的值进行计算,从中你能得出什么结论?

【教学说明】教师给出问题,学生根据给出的a,b,c,d的值进行计算,然后相互交流,发表各自的见解,最后共同归纳分式乘除的法则.
【归纳结论】两个分式相乘,用分子的积作积的分子,用分母的积作积的分母;两个分式相除,将除式的分子、分母颠倒位置后,与被除式相乘,即

【教学说明】教师提出问题,学生独立完成,然后相互交流,最后共同归纳分式的乘方法则.
【归纳结论】分式乘方就是把分子、分母分别乘方,即:
![]()
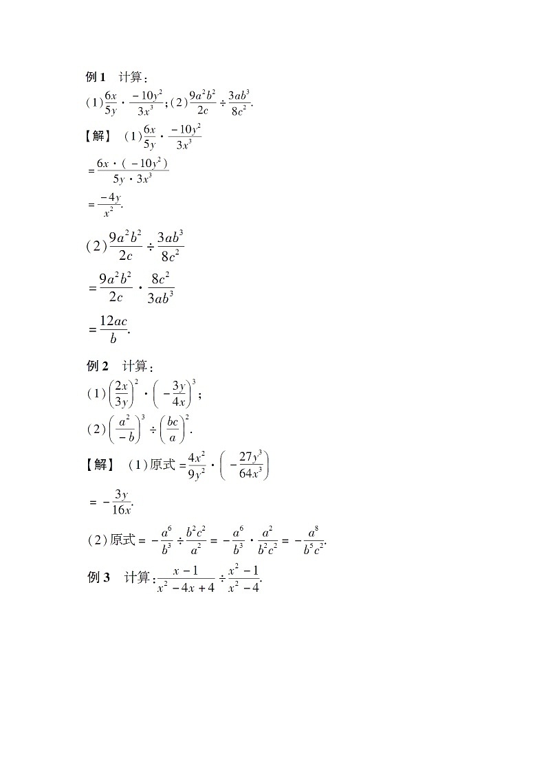
三、典例精析,掌握新知





【教学说明】教师给出例题,学生独立自主完成,教师可选几个学生上台,在黑板上演算,然后给予点评.
四、运用新知,深化理解


4.体育课上,李明和王亮进行单人定位投篮练习,李明投a次中b次,王亮投m次中n次,问李明投篮的命中率是王亮的几倍?
5.先化简,再求值.

【教学说明】教师给出题,学生独立自主完成,教师巡视,对有困难的学生进行点拨.



五、师生互动,课堂小结
通过这节课的学习,你掌握了哪些新知识?还有哪些疑问?请与同伴交流.
【教学说明】学生相互交流,回顾分式的乘除法则与分式的乘方法则,加深学生对所学知识的理解和应用.
![]()
完成练习册中本课时练习.
![]()
从探究分式的乘除法则和分式的乘方法则,到运用法则进行计算,学生积极主动,在合作交流中体验成功的喜悦,积累解决问题的经验.
数学七年级下册9.2 分式的运算精品教学设计: 这是一份数学七年级下册9.2 分式的运算精品教学设计,共5页。教案主要包含了知识与技能,过程与方法,情感态度,教学重点,教学难点,教学说明,归纳结论等内容,欢迎下载使用。
初中9.2 分式的运算教案设计: 这是一份初中9.2 分式的运算教案设计,共4页。教案主要包含了教学内容,教学目标,教学重点,教学难点,教学过程,作业布置等内容,欢迎下载使用。
沪科版七年级下册9.2 分式的运算教案: 这是一份沪科版七年级下册9.2 分式的运算教案,共8页。教案主要包含了教学内容,课时安排,第一课时,教学目标,教学重点,教学难点,教学方法,教学过程等内容,欢迎下载使用。

