2021届四川省棠湖中学高三上学期第一次月考数学(文)试题(解析版)
展开
这是一份2021届四川省棠湖中学高三上学期第一次月考数学(文)试题(解析版),共20页。试卷主要包含了单选题,填空题,解答题等内容,欢迎下载使用。
2021届四川省棠湖中学高三上学期第一次月考数学(文)试题
一、单选题
1.若集合,则()( )
A. B.
C. D.
【答案】B
【解析】根据指数函数的性质,以及一元二次不等式的解法求得集合,再结合集合的交集和补集的概念及运算,即可求解.
【详解】
由题意,集合或,
可得,所以.
故选:B.
【点睛】
本题主要考查了结合的混合运算,以及指数函数的性质和一元二次不等式的求解,其中解答中结合指数函数的性质,以及一元二次不等式的解法求得集合是解答的关键,着重考查运算与求解能力,属于基础题.
2.在复平面内,复数 (i为虚数单位)的共轭复数对应的点位于( )
A.第一象限 B.第二象限
C.第三象限 D.第四象限
【答案】D
【解析】分析:首先求得复数z,然后求解其共轭复数即可.
详解:由复数的运算法则有:,
则,其对应的点位于第四象限.
本题选择D选项.
点睛:本题主要考查复数的运算法则及其应用等知识,意在考查学生的转化能力和计算求解能力.
3.若,,,则( )
A. B.
C. D.
【答案】C
【解析】利用指数函数、对数函数性质,逐个分析abc取值范围,进而比较大小.
【详解】
,,
,且,则
故选C
【点睛】
对数式和指数式比较大小题型,通常将数与0、1、2或-1等比较,确定范围,再比较大小.
4.已知向量,,若,则实数( )
A. B. C. D.
【答案】A
【解析】由向量垂直得向量的数量积为0可解得.
【详解】
由已知,
∵,∴,解得.
故选:A.
【点睛】
本题考查向量垂直的数量积表示,考查数量积的坐标运算,属于基础题.
5.若函数在区间上单调递增,则实数的取值范围为( )
A. B. C. D.
【答案】A
【解析】本题先求导函数,根据已知条件建立不等式,接着参变分离,构造新函数,求最大值即可解题.
【详解】
解:∵ ,
∴ ,
∵ 函数在区间上单调递增,
∴恒成立,
∴ 恒成立,
令,即
∴,
故选:A.
【点睛】
本题考查利用导函数研究原函数的单调性的应用,参变分离三角函数求最值,恒成立问题,是基础题.
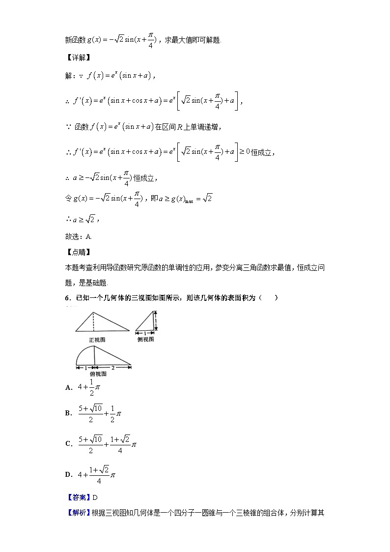
6.已知一个几何体的三视图如图所示,则该几何体的表面积为( )
A.
B.
C.
D.
【答案】D
【解析】根据三视图知几何体是一个四分子一圆锥与一个三棱锥的组合体,分别计算其表面积得解.
【详解】
四分子一圆锥表面积
,
所以组合体表面积为
故选:D
【点睛】
本题考查三视图还原几何体求表面积问题.
几何体三视图还原其直观图时,要熟悉柱、锥、球、台的三视图,结合空间想象将三视图还原为直观图.
7.各项均为正数的等比数列中,,数列的前项和为.则( )
A. B. C. D.
【答案】A
【解析】设等比数列的公比为利用等比数列通项公式,结合得到关于的方程,解方程求出公比,然后代入等比数列通项公式求出即可.
【详解】
设等比数列的公比为,由题意知,
则
解得,由等比数列通项公式可得,
.
故选:A
【点睛】
本题考查等比数列通项公式和前n项和公式;考查运算求解能力;熟练掌握等比数列通项公式和前n项和公式是求解本题的关键;属于基础题.
8.在中,,,则( )
A. B.
C. D.
【答案】C
【解析】利用平面向量基本定理分析求解即可.
【详解】
由已知可得点是靠近点的三等分点,又点是的中点.
故选
【点睛】
本题考查平面向量基本定理的应用,属基础题.
9.已知,则( )
A. B. C. D.
【答案】B
【解析】利用诱导公式结合二倍角的余弦公式可求得的值.
【详解】
.
故选:B.
【点睛】
本题考查利用二倍角的余弦公式和诱导公式求值,考查计算能力,属于中等题.
10.已知点在表示的平面区域内,则的最小值为( )
A. B. C. D.
【答案】A
【解析】画出约束条件的可行域,转化m2+n2为x,y的关系,利用目标函数的几何意义转化求解即可.
【详解】
表示的平面区域如图阴影部分,
点(m+n,m-n)在表示的平面区域内,
设,即在表示的平面区域内,
且,
所以,
则m2+n2的最小值为可行域内的点与原点距离的平方的一半.
由可行域可知,可行域内的点与坐标原点的距离的最小值为P到原点的距离,
即原点到直线2x-y-2=0的距离,所以距离的最小值为:
所以m2+n2的最小值为:,
故选:A.
【点睛】
本题考查线性规划的简单应用,考查数形结合以及转化思想的应用,是中档题.
11.函数的部分图象大致为( )
A. B. C. D.
【答案】A
【解析】首先根据题意得到为奇函数,从而排除B,C,再根据,即可得到答案.
【详解】
令,
则,为奇函数.
又因为为偶函数,的定义域为,
故为奇函数,排除B,C.
因为,
,排除D.
故选:A
【点睛】
本题主要考查函数的图象,利用函数的奇偶性和特值法为解题的关键,属于中档题.
12.已知函数,方程恰有两个不同的实数根、,则的最小值与最大值的和( )
A. B.
C. D.
【答案】C
【解析】作出函数的图象,数形结合可得出实数的取值范围,将、用表示,可将表示为以为自变量的函数,利用导数可求得的最大值和最小值,进而可求得结果.
【详解】
作出函数的图象如下图所示:
由图象可知,当时,直线与函数的图象有两个交点、,
,则,可得,则,
构造函数,其中,则.
当时,,此时函数单调递减;
当时,,此时函数单调递增.
所以,,
,,显然,.
因此,的最大值和最小值之和为.
故选:C.
【点睛】
本题考查利用导数求解代数式的最值,解题的关键就是将表示为以为自变量的函数,考查计算能力,属于中等题.
二、填空题
13.某单位有男女职工共人,现用分层抽样的方法从所有职工中抽取容量为的样本,已知从女职工中抽取的人数为,那么该单位的女职工人数为__________.
【答案】
【解析】根据分层抽样的定义建立比例关系即可得到结论.
【详解】
设该单位的女职工人数为,则,解得,即该单位的女职工人数为.
故答案为:.
【点睛】
本题主要考查分层抽样的应用,根据条件建立比例关系是解决本题的关键,比较基础.
14.已知直线:,:,且,则k的值______.
【答案】
【解析】根据两直线平行列关于的方程,解出的值,然后代入两直线方程进行验证是否满足,即可得出实数的值.
【详解】
直线:,:,且,
则,解得或.
当时,,,两直线重合,不合乎题意;
当时,,即,,两直线平行,满足题意.
因此,.
故答案为:
【点睛】
本题考查利用两直线平行求参数,在求出参数后,还应将参数的值代入两直线方程,验证两直线是否平行,考查运算求解能力,属于基础题.
15.不等式在区间上的解集为__________.
【答案】
【解析】原不等式可化为,利用正弦函数的性质和整体法可求其解集.
【详解】
由 有,
所以 ,
解出,又,
所以 或,故解集为.
故答案为:.
【点睛】
本题考查三角不等式,注意利用三角变换公式将原不等式化简为的形式,再利用正弦函数的性质求解.
16.在三棱锥中,,,,,则三棱锥外接球的体积的最小值为______.
【答案】
【解析】先将三棱锥还原到长方体中,根据题意建立长方体的体对角线与的函数关系式,求解体对角线的最小值,由此得出外接球的体积的最小值.
【详解】
如图所示,三棱锥的外接圆即为长方体的外接圆,外接圆的直径为长方体的体对角线,设,那么,,所以.由题意,体积的最小值即为最小,,所以当时,的最小值为,所以半径为,故体积的最小值为.
【点睛】
根据题意把三棱锥还原到长方体是解决三棱锥外接球问题的常见解法,不同题目背景,还原方法不一样,但三棱锥的四个顶点一定是长方体的顶点.
三、解答题
17.的内角的对边分别为,已知.
(1)求的大小;
(2)若,求面积的最大值.
【答案】(1);(2).
【解析】(1)利用正弦定理将边化角,结合诱导公式可化简边角关系式,求得,根据可求得结果;
(2)利用余弦定理可得,利用基本不等式可求得,代入三角形面积公式可求得结果.
【详解】
(1)由正弦定理得:
,,
又,,,即
由得:.
(2)由余弦定理得:
又(当且仅当时取等号),
即
三角形面积的最大值为:
【点睛】
本题考查解三角形的相关知识,涉及到正弦定理化简边角关系式、余弦定理解三角形、三角形面积公式应用、基本不等式求积的最大值、诱导公式的应用等知识,属于常考题型.
18.某保险公司给年龄在岁的民众提供某种疾病的一年期医疗保险,现从名参保人员中随机抽取名作为样本进行分析,按年龄段、、、、分成了五组,其频率分布直方图如下图所示,参保年龄与每人每年应交纳的保费如下表所示.
年龄(单位:岁)
保费(单位:元)
(1)求频率分布直方图中实数的值,并求出该样本年龄的中位数;
(2)现分别在年龄段、、、、中各选出人共人进行回访.若从这人中随机选出人,求这人所交保费之和大于元的概率.
【答案】(1),中位数为;(2).
【解析】(1)利用频率分布直方图中所有矩形的面积之和为能求出的值,利用中位数左侧矩形的面积之和为可求出该样本年龄的中位数;
(2)回访的这人分别记为、、、、,从人中任选人,利用列举法能求出这人所交保费之和大于元的概率.
【详解】
(1),解得:.
设该样本年龄的中位数为,前两个矩形的面积之和为,
前三个矩形的面积之和为,所以
,解得;
(2)设回访的这人分别记为、、、、,
从人中任选人的基本事件有:、、、、、、、、、,共种.
事件“两人保费之和大于元”包含的基本事件有:、、、,共种.
两人保费之和大于元的概率为.
【点睛】
本题考查频率、中位数、概率的求法,考查频率分布直方图、古典概型、列举法等基础知识,考查运算求解能力,是基础题.
19.在如图所示的五面体中,四边形为菱形,且,平面,,为中点.
(1)求证:平面;
(2)若平面平面,求到平面的距离.
【答案】(1)证明见解析;(2)
【解析】(1)由线面平行的性质可证得,由三角形中位线性质知,结合长度关系可证得,从而证得,根据线面平行判定定理证得结论;
(2)根据(1)中平行关系可知所求距离即为点到平面的距离;根据面面垂直的性质可证得平面,即为三棱锥的高,利用体积相等的可构造方程求得到平面的距离,进而得到结果.
【详解】
(1)连接,交于,连接,
四边形为菱形,为中点,又为中点,,
平面,平面,平面平面,
,又,,
,四边形为平行四边形,,
平面,平面,平面.
(2)由(1)知:平面,
到平面的距离等于到平面的距离,
取的中点,连接,
,为中点,,
平面平面,平面平面,平面,
平面,又平面,,
四边形为菱形,,,,
又,,
,
设到平面的距离为,又,
,解得:,
即点到平面的距离为.
【点睛】
本题考查立体几何中线面平行关系的证明、点到面的距离的求解问题;涉及到线面平行的判定定理、线面垂直和面面垂直的性质定理等知识;求解点到面的距离的常用方法是将问题转化为三棱锥的高的求解问题,利用体积桥构造方程求得结果.
20.己知椭圆的离心率为分别是椭圈的左、右焦点,椭圆的焦点到双曲线渐近线的距离为.
(1)求椭圆的方程;
(2)直线与椭圆交于两点,以线段为直径的圆经过点,且原点到直线的距离为,求直线的方程.
【答案】(1);(2).
【解析】(1)根据焦点到双曲线渐近线的距离求出,再由离心率求出,利用即可求解.
(2)利用点到直线的距离公式可得,联立,消整理关于的一元二次方程,,再由,利用向量数量积的坐标表示以及韦达定理可得,与联立即可求解.
【详解】
(1)由题意知,
双曲线方程知其渐近线方程为:
∴焦点到双曲线渐近线距离:,解得:
由椭圆离心率得:,
∴椭圆的方程为:
(2)原点到直线距离为:,整理得:
设
由得:
则,即:
∵以为直径的圆过点,
又,
,即:,
由且,得:,满足
∴直线方程为:.
【点睛】
本题考查了由离心率求椭圆的标准方程、直线与椭圆的位置关系,考查了计算求解能力,属于难题.
21.已知函数,.
(1)求的极值;
(2)若方程有三个解,求实数的取值范围.
【答案】(1)当时,极小值;当时,无极值;当时,极大值;(2).
【解析】(1)求得的定义域和导函数,对分成三种情况进行分类讨论 的极值.
(2)构造函数,通过的导函数研究的零点,对分成进行分类讨论,结合有三个零点,求得的取值范围.
【详解】
(1)的定义域为,,
当时,在上递减,在上递增,所以在处取得极小值 ,
当时,,所以无极值,
当时,在上递增,在上递减,所以在处取得极大值.
(2)设,即,
.
①若,则当时,,单调递减,当时,,单调递增,至多有两个零点.
②若,则,(仅).单调递增,至多有一个零点.
③若 ,则 ,当或时,, 单调递增;当时,,单调递减,要使有三个零点,必须有成立.
由,得,这与矛盾,所以不可能有三个零点.
④若,则.当或时,,单调递增;当时,,单调递减,要使有三个零点,必须有 成立,
由,得,由 及,得,
.
并且当时,,,,.
综上,使有三个零点的的取值范围为.
【点睛】
本小题主要考查利用导数研究函数的极值,考查利用导数研究方程的根,考查分类讨论的数学思想方法,属于难题.
22.在直角坐标系中,曲线的参数方程为(为参数),以原点为极点,以轴正半轴为极轴建极坐标系.
(1)求的极坐标方程;
(2)直线,的极坐标方程分别为,,直线与曲线的交点为,直线与曲线的交点为,求线段的长度.
【答案】(1);(2).
【解析】(1)利用,将参数方程化简为直角坐标方程,再根据公式,即可求得其极坐标方程;
(2)利用极坐标方程,求得,即可由余弦定理,即可求得的值.
【详解】
(1)由曲线的参数方程为得曲线的直角坐标方程为:,
所以极坐标方程为即.
(2)将代入中有,即,
将代入中有,即,
,
余弦定理得
,
.
【点睛】
本题考查参数方程化普通方程、普通方程化极坐标方程、余弦定理,考查综合分析求解能力,属基础题.
23.已知,且.
(1)求证:;
(2)当时,不等式恒成立,求的取值范围.
【答案】(1)见证明;(2).
【解析】(1)由柯西不等式即可证明;
(2)可先计算的最小值,再分,,三种情况讨论即可得到答案.
【详解】
解:(1)由柯西不等式得.
∴,当且仅当时取等号.
∴;
(2),
要使得不等式恒成立,即可转化为,
当时,,可得,
当时,,可得,
当时,,可得,
∴的取值范围为:.
【点睛】
本题主要考查柯西不等式,均值不等式,绝对值不等式的综合应用,意在考查学生的分析能力,计算能力,分类讨论能力,难度中等.
相关试卷
这是一份2024四川省双流棠湖中学高三上学期10月月考数学(文)试题含解析,共13页。试卷主要包含了选择题,填空题,解答题等内容,欢迎下载使用。
这是一份2024成都双流棠湖中学高三上学期10月月考试题数学(文)含解析,共13页。试卷主要包含了选择题,填空题,解答题等内容,欢迎下载使用。
这是一份四川省双流棠湖中学2023-2024学年高三数学(文)上学期10月月考试题(Word版附解析),共4页。试卷主要包含了选择题,填空题,解答题等内容,欢迎下载使用。

