精品解析:江苏省镇江市2022-2023学年高一下学期6月期末数学试题(解析版)
展开2022~2023学年度第二学期高一期末试卷
数学
注意事项:
1.答卷前,考生务必特自己的姓名、考生号等填写在答题卡和试卷指定位置上.
2.回答选择题时,选出每小题答案后,用铅笔把答题卡上对应题目的答案标号涂黑.如需改动,用橡皮擦擦干净后,再选涂其他答案标号.回答非选择题时,将答案写在答题卡上.写在本试卷上无效.
3.考试结束后,将本试卷和答题卡一并交回.
一、单项选择题:本起共8小题,每小题5分,共40分.在每小题给出的四个选项中,只有一项是符合题目要求的.
1. 设复数,,若为实数,则实数( )
A. B. C. D. 3
【答案】B
【解析】
【分析】先化简,根据实数可得答案.
【详解】因为,且为实数;
所以,即.
故选:B.
2. 设与是两个不共线向量,向量,,,若,,三点共线,则( )
A. B. C. D. 3
【答案】B
【解析】
【分析】若,,三点共线,则存在实数,使,结合向量的线性运算可求解.
【详解】若,,三点共线,则存在实数,使,
,
∴,
∵与是两个不共线向量,
∴,且,解得,
故选:B.
3. 某圆锥的侧面展开图是半径为3,圆心角为的扇形,则该圆锥的高为( )
A. 2 B. 3 C. D.
【答案】C
【解析】
【分析】求出扇形的弧长,进而求出圆锥的底面半径,由勾股定理即可得到圆锥的高.
【详解】因为圆锥的侧面展开图是半径为3,圆心角为的扇形,
所以该扇形的弧长为,圆锥的母线长为3,
设圆锥的底面半径为,则,解得,
设圆锥的母线长为,则,
所以圆锥的高为.
故选:C.
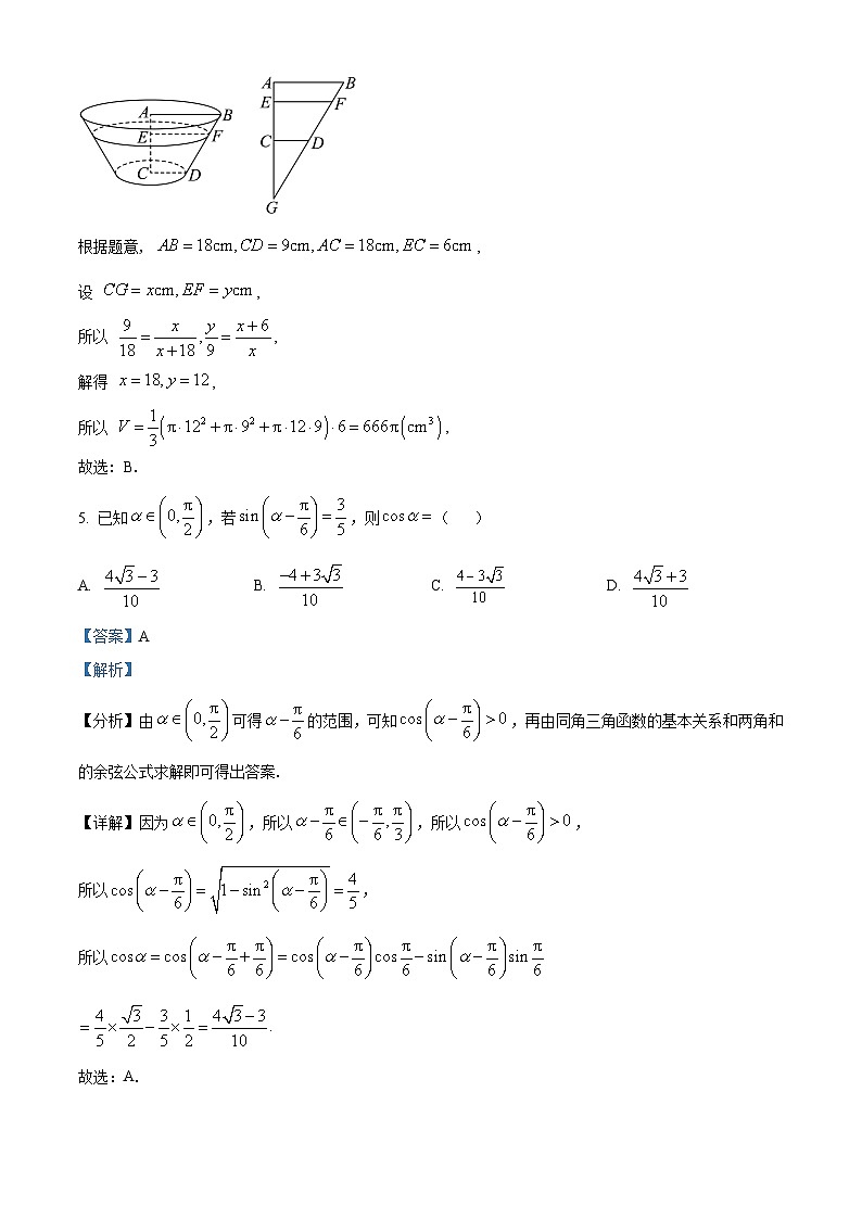
4. 龙洗,是我国著名的文物之一,因盆内有龙线,故称龙洗,为古代皇宫盥洗用具,其盆体可以近似看作一个圆台.现有一龙洗盆高18cm,盆口直径36cm,盆底直径18cm.现往盆内注水,当水深为6cm时,则盆内水的体积为( )
A. B. C. D.
【答案】B
【解析】
【分析】根据轴截面和相似关系, 以及圆台体积即可求解.
【详解】如图所示, 画出圆台的立体图形和轴截面平面图形, 并延长 EC 与FD交于点G.
根据题意, ,
设 ,
所以 ,
解得 ,
所以 ,
故选: B.
5. 已知,若,则( )
A. B. C. D.
【答案】A
【解析】
【分析】由可得的范围,可知,再由同角三角函数的基本关系和两角和的余弦公式求解即可得出答案.
【详解】因为,所以,所以,
所以,
所以
.
故选:A.
6. 对于直线和不重合的平面,,下列命题中正确的是( )
A 若,,则 B. 若,,则
C. 若,,则 D. 若,,,则
【答案】B
【解析】
【分析】根据题意作出图形可判断ACD;由线面垂直的性质可判断B.
【详解】对于A,若,,则可能相交,如图,故A错误;
对于B,若,,由线面垂直的性质可知,故B正确;
对于C,若,,则可能平行,如图,故C错误;
对于D,若,,,则可能,如图,故D错误.
故选:B.
7. 已知向量和满足,,,则向量在向量上的投影向量为( )
A. B. C. D.
【答案】D
【解析】
【分析】先求出向量,夹角的余弦值,然后利用求解投影向量的方法求解即可.
【详解】因为,所以,
又,,所以,得到,
所以,
设与的夹角为,则,
所以在上的投影向量为:,
故选:D.
8. 在正四棱台中,,侧棱,若为的中点,则过,,三点截面的面积为( )
A. B. C. D.
【答案】A
【解析】
【分析】取的中点,则,又,则,可得过,,三点截面为等腰梯形,利用题中数据及正四棱台的性质计算即可.
【详解】
取的中点,连接,则,
又,则,又根据正四棱台的性质得,
则为等腰梯形,即过,,三点截面为等腰梯形.
取的中点,连接,
在等腰梯形中,,
则,,
在等腰梯形中,,,
则梯形的高为,
所以等腰梯形的面积.
故选:A.
二、多项选择题:本题共4小题,每小题5分,共20分.在每小题给出的选项中,有多项符合题目要求,全部选对的得5分,部分选对的得2分,有选错的得0分.
9. 设是的共轭复数,下列说法正确的是( )
A. B. 若,则
C. 若,则 D. 是实数
【答案】ABD
【解析】
【分析】根据复数的四则运算、复数的模、共轭复数以及复数的定义加以计算判断.
【详解】对于A,令,则,
于是,所以A正确;
对于B,令,则,因为,
,所以B正确;
对于C,令,满足,
而,,所以C错误;
对于D,令,则,
而是实数,所以D正确.
故选:ABD.
10. 在中,角,,所对的边分别为,,,则下列说法中正确的是( )
A. 若,则
B. 若为锐角三角形,则
C. 若,则为钝角三角形
D. 若,则为等腰三角形
【答案】ABC
【解析】
【分析】由,得到,结合正弦定理可判定A;由为锐角三角形,得到,结合正弦函数的单调性可判定B;根据余弦定理可判断C;由,结合两角和差的正弦公式求解可判定D.
【详解】对于A,因为,得,所以(为外接圆的半径),
所以,故A正确;
对于B,由锐角三角形,可得,则,
因为,可得,
又函数在上单调递增,所以,故B正确;
对于C,若,则,而,
所以角为钝角,即为钝角三角形,故C正确;
对于D,由,得,
展开整理得,
因为,可得或,
所以是直角三角形或等腰三角形,故D错误.
故选:ABC.
11. 两个相交平面构成四个二面角,其中较小的二面角称为这两个相交平面所成角;在正方体中,不在同一表面上的两条平行的棱所确定的平面称为该正方体的对角面.则在某正方体中,两个不重合的对角面所成角的大小可能为( )
A. B. C. D.
【答案】CD
【解析】
【分析】结合图象,根据两个相交平面所成角的定义确定两个不重合的对角面所成角的可能大小即可.
【详解】如图:
平面与平面的交线为,
因为,
所以四边形为矩形,故,同理,
所以为二面角的平面角,
又,所以二面角的平面角为,
由相交平面所成角的定义可得平面与平面所成的角的大小为,
如图(2)
平面与平面的交线为,
因为,,平面,,
所以平面,设,
则平面,过点作,
则为二面角的平面角,
设正方体的边长为,则,
因为,
所以,所以,
所以,
所以,又,
所以,
所以平面与平面所成的角的大小为,
故选:CD.
12. 如图,在梯形中,,,,,,为线段的中点,为线段上一动点(包括端点),,则下列说法正确的是( )
A. B. 若为线段的中点,则
C. D. 的最小值为6
【答案】AC
【解析】
【分析】对于选项A,过作的垂直,再根据条件即可求出,从而判断出选项A的正误;
对于选项BCD,通过建立平面直角从标系,求出各点坐标,逐一对BCD分析判断即可得出结果.
【详解】选项A,过作的垂直,交于,所以,又,,,,,
所以,故选项A正确;
建立如图所示平面直角坐标系,则,,,,
选项B,因为为线段的中点,则,,,
所以,由,得到,所以,故选项B错误;
设,则,,
选项C,由,得到,解得,故选项C正确;
选项D,,,所以,
令,对称轴为,又,当时,所以的最小值为,故选项D错误;
故选:AC.
三、填空题:本大题共4小题,每小题5分,共20分.请把答案填写在答题卡相应位置上.
13. 在中,点为边上的点,且,若,则的值是__________.
【答案】##
【解析】
【分析】根据题意,由平面向量基本定理代入计算,即可得出答案.
【详解】因为点为边上的点,且,
所以,
又因为,所以,
所以.
故答案为:.
14. 欧拉是科学史上最多才的一位杰出的数学家,他发明的公式为,是虚数单位.将指数函数的定义域扩大到复数集,则在复平面内,复数对应的点在第__________象限.
【答案】四##4
【解析】
【分析】利用复数的运算及复数的几何意义即可解决.
【详解】因为,则,,所以 .复数对应的点为,在第四象限.
故答案为:四
15. 在中,在边上且平分,若,,则线段的长为__________.
【答案】
【解析】
【分析】由结合三角形面积公式求解.
【详解】∵,,
又,
∴
∴,∴,
故答案为:.
16. 棱长为的正四面体的四个顶点都在球的球面上,则球的表面积为__________;直线与之间的距离为__________.
【答案】 ①. ; ②. .
【解析】
【分析】将正四面体补形为正方体,求正方体的外接球的半径及其表面积可得球的表面积,再确定直线与的公垂线段,由此求两直线之间的距离.
【详解】如图,将正四面体补形为正方体,
则正四面体的外接球就是正方体的外接球,
由已知,所以正方体的边长为,
所以正方体的对角线长为,正方体的外接球的半径为,
所以球的表面积,
取的中点,的中点,
因为,,
所以,,
所以,
因为,
所以,
所以,
所以直线与之间的距离为线段的长,
又中,,,
所以,
所以直线与之间的距离为,
故答案为:,.
四、解答题:本大题共6小题,共70分.请在答题卡指定区域内作答,解答时应写出必要的文字说明,证明过程或演算步骤.
17. 已知,,求下列各式的值:
(1);
(2).
【答案】(1)
(2)
【解析】
【分析】(1)由平方后求得,从而可得,联立可得的值,即可得解;
(2)利用二倍角公式及齐次式计算即可.
【小问1详解】
因为①,
则,得,
则,
因为,则,
所以②,
由①②得,
所以.
【小问2详解】
.
18. 一副三角板(为等腰直角三角形,,为直角三角形,)按如图所示的方式拼接,现将沿边折起,使得平面平面.
(1)求证:平面;
(2)求直线与平面所成角的余弦值.
【答案】(1)证明见解析
(2)
【解析】
【分析】(1)由面ABC⊥面BCD,CD⊥BC,可得CD⊥面ABC,从而AB⊥CD,又AB⊥AC,由线面垂直的判定定理可证得结论;
(2)因为AB⊥面ACD,则为BD与平面ACD所成角,设,求出,在中求出,从而得出结果.
【小问1详解】
因为面ABC⊥面BCD,面ABC∩面BCD=BC, CD⊥BC,CD面BCD,
所以CD⊥面ABC,又AB面ABC,则AB⊥CD,
又AB⊥AC,AC∩CD=C,AC,CD面ACD ,所以AB⊥面ACD;
【小问2详解】
因为AB⊥面ACD,AD为BD在面ACD内的射影,则为BD与平面ACD所成角,
设,则,因为,则.
因为AB⊥面ACD,AD面ACD,所以AB⊥AD,
在中,,
则.
所以BD与平面ACD所成角的余弦值为.
19. 为进一步落实国家乡村振兴政策,某网红村计划在村内一圆形地块中种植油菜花,助推乡村旅游经济.为了让油菜花种植区与观赏路线布局合理,设计者们首先规划了一个平面图,如图所示,与是油菜花种植区,其中,(不计宽度)是观赏路线.在四边形中,,,.
(1)若时,求路线的长;
(2)当时,求路线的长.
【答案】(1)
(2)
【解析】
【分析】(1)在中,由余弦定理求得,在中,由余弦定理求得;
(2)在中求出,在中,由正弦定理求得,进而得,利用两角和的余弦公式求得,在中,由余弦定理可得.
【小问1详解】
因为四边形ABCD内接于圆,又,所以,
在中,由余弦定理得:
所以.
在中,由余弦定理得:
即,即,
所以(舍)或.
【小问2详解】
因为四边形ABCD内接于圆,,则,
因为,故.
由(1)知,
在中,,则,
所以在中,由正弦定理得,即,
所以,因为,所以,
所以.
在中,由余弦定理得:
,
所以.
20. 已知异面直线,所成角为,,,,,,,且,,.
(1)求证:;
(2)求证:.
【答案】(1)证明见解析
(2)证明见解析
【解析】
【分析】(1)根据线面平行得出线线平行,再由面面平行的判定定理得证.
(2)通过作辅助线得,在中,再根据余弦定理即可得证.
【小问1详解】
由题知三点可确定一个平面,平面,,平面,可设平面与平面的交线为,因为,所以.
又,,故.
又同理,,,,所以.
【小问2详解】
在直线取点,使,连接,,由(1)知, 得四边形为平行四边形,故.
由,可得,又,,,,所以,则 平面,又,所以.
在中.
因为,所成角为,,所以,夹角也为,
所以在中,或,根据余弦定理知.
所以.
21. 在三棱柱中,侧面平面,且,,分别为棱,的中点.
(1)证明:平面;
(2)若,,求点到平面之间的距离.
【答案】(1)证明见解析;
(2).
【解析】
【分析】(1)设点为的中点,连接,证明,根据线面平行判定定理证明结论;
(2)利用等体积法求点到平面之间的距离.
【小问1详解】
设点为的中点,连接
因为,分别为棱,的中点,
所以,,,
又,
所以,
所以四边形为平行四边形,
所以,
又平面,平面,
所以平面;
【小问2详解】
因为侧面平面,,
平面平面,平面,
所以平面,又平面,
所以,
连接,,
由已知,
所以为等边三角形,又点为的中点,
所以,又,
所以,又侧面平面,
平面平面,平面,
所以平面,
设点到平面的距离为,
则,
即,
中,,,所以,
在中,,,所以,
又,
所以,,
所以,
所以,
所以点到平面之间的距离为.
22. 在①;②;③设的面积为,且.这三个条件中任选一个,补充在下面的横线上.并加以解答.
在中,角,,对边分别为,,,已知__________,且.
(1)若,求的面积;
(2)若为锐角三角形,求的取值范围.(如果选择多个条件分别解答,按第一个解答计分)
【答案】(1)选①②③的面积都为,
(2)的取值范围为.
【解析】
【分析】(1)若选①,由正弦定理化角为边,结合余弦定理求,利用余弦定理求,再由三角形面积公式求面积;
若选②,通过三角恒等变换求,利用余弦定理求,再由三角形面积公式求面积;
若选③,由条件结合三角形面积公式,余弦定理可求,利用余弦定理求,再由三角形面积公式求面积;
(2)利用正弦定理化边为角,结合三角恒等变换可得,
再求的范围,结合二次函数性质可得结论.
【小问1详解】
若选①,设的外接圆的半径为,由正弦定理可得,
又,
所以,
所以,又
所以,所以,又,
所以,
所以,所以,
又,,所以,
所以的面积,
若选②,由,
所以,
所以,结合三角形内角性质,
所以,
所以,所以,又,
所以,
所以,所以,
又,,所以,
所以的面积,
若选③,因为,又,
所以,又
所以,所以,又,
所以,
所以,所以,
又,,所以,
所以的面积,
【小问2详解】
由(1),,所以,
因为,
所以,
,
因为为锐角三角形,,
所以,
所以,所以,
所以,
设,则,,
所以,
所以的取值范围为.
精品解析:江苏省镇江市句容碧桂园学校2022-2023学年高一下学期期中模拟数学试题(解析版): 这是一份精品解析:江苏省镇江市句容碧桂园学校2022-2023学年高一下学期期中模拟数学试题(解析版),共17页。试卷主要包含了单选题,多选题,填空题,解答题等内容,欢迎下载使用。
精品解析:江苏省镇江市丹阳市2022-2023学年高一下学期5月质量检测数学试题(解析版): 这是一份精品解析:江苏省镇江市丹阳市2022-2023学年高一下学期5月质量检测数学试题(解析版),共20页。试卷主要包含了 关于复数的命题正确的有等内容,欢迎下载使用。
精品解析:江苏省镇江市句容碧桂园学校2022-2023学年高一下学期期末数学试题(解析版): 这是一份精品解析:江苏省镇江市句容碧桂园学校2022-2023学年高一下学期期末数学试题(解析版),共18页。试卷主要包含了单选题,多选题,填空题,解答题等内容,欢迎下载使用。

