精品解析:江苏省镇江市2022-2023学年高一下学期6月期末数学试题(原卷版+解析版)
展开注意事项:
1.答卷前,考生务必特自己的姓名、考生号等填写在答题卡和试卷指定位置上.
2.回答选择题时,选出每小题答案后,用铅笔把答题卡上对应题目的答案标号涂黑.如需改动,用橡皮擦擦干净后,再选涂其他答案标号.回答非选择题时,将答案写在答题卡上.写在本试卷上无效.
3.考试结束后,将本试卷和答题卡一并交回.
一、单项选择题:本起共8小题,每小题5分,共40分.在每小题给出的四个选项中,只有一项是符合题目要求的.
1. 设复数,,若为实数,则实数( )
A. B. C. D. 3
2. 设与是两个不共线向量,向量,,,若,,三点共线,则( )
A B. C. D. 3
3. 某圆锥的侧面展开图是半径为3,圆心角为的扇形,则该圆锥的高为( )
A. 2B. 3C. D.
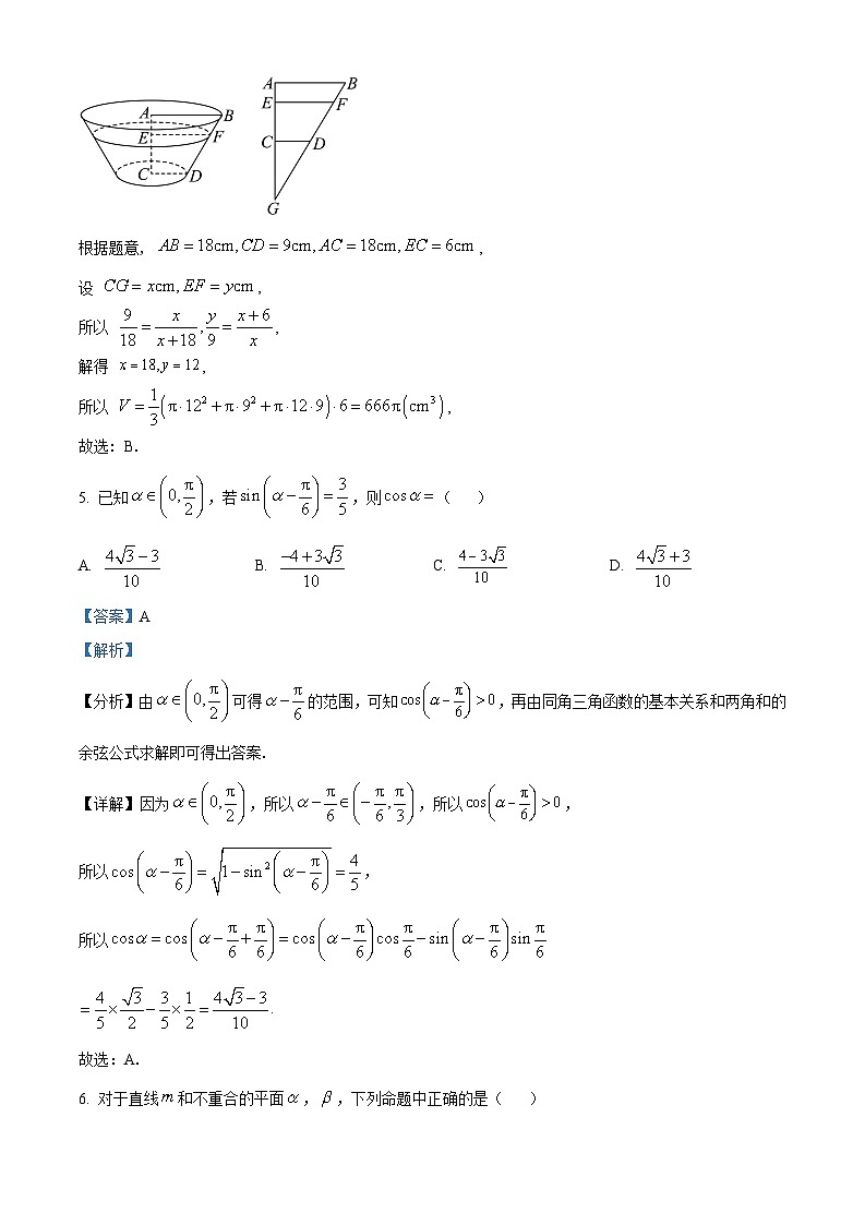
4. 龙洗,是我国著名的文物之一,因盆内有龙线,故称龙洗,为古代皇宫盥洗用具,其盆体可以近似看作一个圆台.现有一龙洗盆高18cm,盆口直径36cm,盆底直径18cm.现往盆内注水,当水深为6cm时,则盆内水的体积为( )
A. B. C. D.
5. 已知,若,则( )
A. B. C. D.
6. 对于直线和不重合的平面,,下列命题中正确的是( )
A. 若,,则B. 若,,则
C. 若,,则D. 若,,,则
7. 已知向量和满足,,,则向量在向量上的投影向量为( )
A. B. C. D.
8. 在正四棱台中,,侧棱,若为的中点,则过,,三点截面的面积为( )
A. B. C. D.
二、多项选择题:本题共4小题,每小题5分,共20分.在每小题给出的选项中,有多项符合题目要求,全部选对的得5分,部分选对的得2分,有选错的得0分.
9. 设是的共轭复数,下列说法正确的是( )
A. B. 若,则
C. 若,则D. 是实数
10. 在中,角,,所对的边分别为,,,则下列说法中正确的是( )
A. 若,则
B. 若为锐角三角形,则
C. 若,则为钝角三角形
D. 若,则为等腰三角形
11. 两个相交平面构成四个二面角,其中较小的二面角称为这两个相交平面所成角;在正方体中,不在同一表面上的两条平行的棱所确定的平面称为该正方体的对角面.则在某正方体中,两个不重合的对角面所成角的大小可能为( )
A. B. C. D.
12. 如图,在梯形中,,,,,,为线段的中点,为线段上一动点(包括端点),,则下列说法正确的是( )
A. B. 若为线段的中点,则
C. D. 的最小值为6
三、填空题:本大题共4小题,每小题5分,共20分.请把答案填写在答题卡相应位置上.
13. 在中,点为边上的点,且,若,则的值是__________.
14. 欧拉是科学史上最多才的一位杰出的数学家,他发明的公式为,是虚数单位.将指数函数的定义域扩大到复数集,则在复平面内,复数对应的点在第__________象限.
15. 在中,在边上且平分,若,,则线段长为__________.
16. 棱长为的正四面体的四个顶点都在球的球面上,则球的表面积为__________;直线与之间的距离为__________.
四、解答题:本大题共6小题,共70分.请在答题卡指定区域内作答,解答时应写出必要的文字说明,证明过程或演算步骤.
17. 已知,,求下列各式的值:
(1);
(2)
18. 一副三角板(为等腰直角三角形,,为直角三角形,)按如图所示的方式拼接,现将沿边折起,使得平面平面.
(1)求证:平面;
(2)求直线与平面所成角的余弦值.
19. 为进一步落实国家乡村振兴政策,某网红村计划在村内一圆形地块中种植油菜花,助推乡村旅游经济.为了让油菜花种植区与观赏路线布局合理,设计者们首先规划了一个平面图,如图所示,与是油菜花种植区,其中,(不计宽度)是观赏路线.在四边形中,,,.
(1)若时,求路线的长;
(2)当时,求路线的长.
20. 已知异面直线,所成角为,,,,,,,且,,.
(1)求证:;
(2)求证:.
21. 在三棱柱中,侧面平面,且,,分别为棱,的中点.
(1)证明:平面;
(2)若,,求点到平面之间的距离.
22. 在①;②;③设面积为,且.这三个条件中任选一个,补充在下面的横线上.并加以解答.
在中,角,,的对边分别为,,,已知__________,且.
(1)若,求面积;
(2)若为锐角三角形,求的取值范围.(如果选择多个条件分别解答,按第一个解答计分)
精品解析:江苏省徐州市2022-2023学年高一下学期期末数学试题(原卷版+解析版): 这是一份精品解析:江苏省徐州市2022-2023学年高一下学期期末数学试题(原卷版+解析版),文件包含精品解析江苏省徐州市2022-2023学年高一下学期期末数学试题原卷版docx、精品解析江苏省徐州市2022-2023学年高一下学期期末数学试题解析版docx等2份试卷配套教学资源,其中试卷共31页, 欢迎下载使用。
精品解析:江苏省常州市2022-2023学年高一下学期期末数学试题(原卷版+解析版): 这是一份精品解析:江苏省常州市2022-2023学年高一下学期期末数学试题(原卷版+解析版),文件包含精品解析江苏省常州市2022-2023学年高一下学期期末数学试题原卷版docx、精品解析江苏省常州市2022-2023学年高一下学期期末数学试题解析版docx等2份试卷配套教学资源,其中试卷共26页, 欢迎下载使用。
精品解析:江苏省宿迁市2022-2023学年高一下学期期末数学试题(原卷版+解析版): 这是一份精品解析:江苏省宿迁市2022-2023学年高一下学期期末数学试题(原卷版+解析版),文件包含精品解析江苏省宿迁市2022-2023学年高一下学期期末数学试题原卷版docx、精品解析江苏省宿迁市2022-2023学年高一下学期期末数学试题解析版docx等2份试卷配套教学资源,其中试卷共26页, 欢迎下载使用。

