备战2024年高考总复习一轮(数学)第4章 三角函数、解三角形 解答题专项二 三角函数中的综合问题课件PPT
展开考情分析:高考对三角函数与解三角形的考查有较强的规律性,三角解答题与数列解答题交替考查.只考小题的试卷有三道题目,共15分;考解答题时有一大一小两个题目,共17分.在三个小题中,分别考查三角函数的图象与性质、三角变换、解三角形;在一个小题和一个大题中,小题要么考查三角函数的图象与性质,要么考查三角变换,大题考查的基本是解三角形.
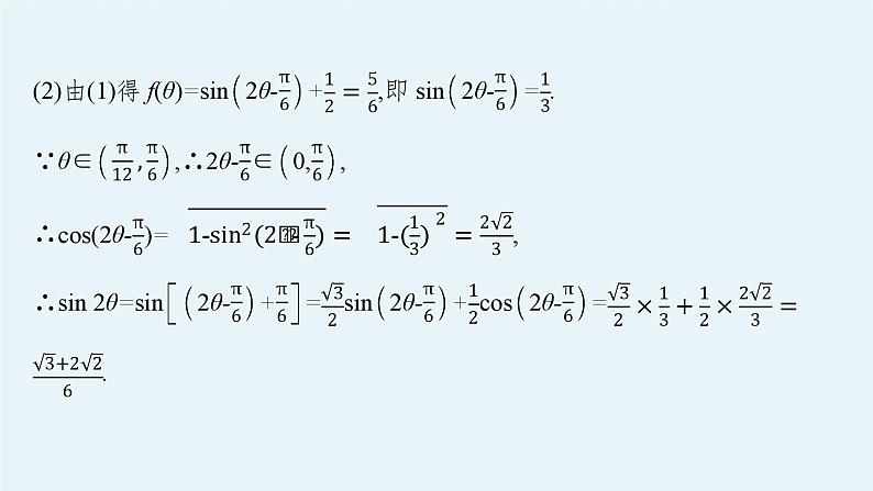
考向1三角函数与三角变换的综合
规律方法 1.解决三角变换在三角函数图象与性质中的应用的基本思路:通过变换把函数化为y=Asin(ωx+φ)的形式再研究其性质,解题时注意观察角、名、结构等特征,注意利用整体思想解决相关问题.2.三角变换的总体思路是化异为同,目的是通过消元减少未知量的个数.如把三角函数式中的异名、异角、异次化为同名、同角、同次,或把未知角用已知角表示.
考向2利用正弦、余弦定理解三角形例2(2021新高考Ⅰ,19)记△ABC的内角A,B,C的对边分别为a,b,c.已知b2=ac,点D在边AC上,BDsin∠ABC=asin C.(1)证明:BD=b;(2)若AD=2DC,求cs∠ABC.
(1)证明:由正弦定理,得BD·b=ac=b2,则BD=b.(2)解:由(1)知BD=b,∵AD=2DC,
规律方法 在三角形中,已知两角一边能应用正弦定理求其余的边;已知两边及其夹角求夹角的对边或已知两边及一边的对角求另一边都能直接利用余弦定理求解.
规律方法 解三角形与三角函数综合问题的一般步骤
对点训练3在△ABC中,a,b,c分别是角A,B,C的对边,向量m=(b,2a-c),n=(cs B,cs C),且m∥n.(1)求角B的大小;(2)设f(x)=cs +sin ωx(ω<0),且f(x)的最小正周期为π,求f(x)的单调区间.
考向4三角变换与解三角形的综合例4(2022全国乙,文17)记△ABC的内角A,B,C的对边分别为a,b,c,已知sin Csin(A-B)=sin Bsin(C-A).(1)若A=2B,求C;(2)证明:2a2=b2+c2.
(1)解:∵sin Csin(A-B)=sin Bsin(C-A),A=2B,∴sin Csin B=sin Bsin(C-A).又sin B>0,∴sin C=sin(C-A).
(2)证法一∵sin Csin(A-B)=sin Bsin(C-A),∴sin C(sin Acs B-cs Asin B)=sin B(sin C·cs A-cs Csin A),即sin Csin Acs B-sin Ccs Asin B=sin Bsin C·cs A-sin Bcs Csin A,即sin A(sin Ccs B+cs Csin B)=2sin Bsin C·cs A,即sin Asin(B+C)=2sin Bsin Ccs A,即sin2A=2sin Bsin Ccs A.证法二∵sin Csin(A-B)=sin Bsin(C-A),∴sin Csin Acs B-sin Csin Bcs A=sin Bsin Ccs A-sin Bsin Acs C,化简整理,得2a2=b2+c2.
规律方法 在含有边角关系的等式中,利用正弦定理能将等式两边的三角形的边化为边所对应角的正弦;也能利用余弦定理将三角形的角化为角所对应的边.在三角形中利用三角变换求三角式的值时,要注意角的范围的限制.
适用于新教材2024版高考数学一轮总复习第五章三角函数解三角形解答题专项二三角函数中的综合问题课件北师大版: 这是一份适用于新教材2024版高考数学一轮总复习第五章三角函数解三角形解答题专项二三角函数中的综合问题课件北师大版,共33页。
备战2024高考一轮复习数学(理) 第四章 三角函数与解三角形 习题课——解三角形中的综合问题课件PPT: 这是一份备战2024高考一轮复习数学(理) 第四章 三角函数与解三角形 习题课——解三角形中的综合问题课件PPT,共22页。
备战2024年高考总复习一轮(数学)第8章 立体几何 解答题专项四 立体几何中的综合问题课件PPT: 这是一份备战2024年高考总复习一轮(数学)第8章 立体几何 解答题专项四 立体几何中的综合问题课件PPT,共38页。

