2022高考数学一轮总复习课件:综合突破二 三角函数与解三角形的综合问题
展开综合突破二 三角函数与解三角形的综合问题
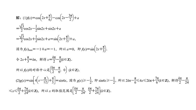
广东专用2024版高考数学大一轮总复习第四章三角函数与解三角形综合突破二三角函数与解三角形的综合问题课件: 这是一份广东专用2024版高考数学大一轮总复习第四章三角函数与解三角形综合突破二三角函数与解三角形的综合问题课件,共53页。PPT课件主要包含了核心考点精准突破,课时作业知能提升,考点四开放探索问题,解证明如图所示,考点六最值范围问题,化简式子等内容,欢迎下载使用。
《高考数学总复习》专题突破二 三角函数与解三角形的综合问题: 这是一份《高考数学总复习》专题突破二 三角函数与解三角形的综合问题,共37页。
广东专用2023版高考数学一轮总复习第四章三角函数与解三角形综合突破二三角函数与解三角形的综合问题课件: 这是一份广东专用2023版高考数学一轮总复习第四章三角函数与解三角形综合突破二三角函数与解三角形的综合问题课件,共41页。

