人教版高考数学一轮复习考点规范练22函数y=Asin(ωx+φ)含答案
展开考点规范练22 函数y=Asin(ωx+φ)
1.函数y=sin在区间上的简图是 ( )
答案 A
解析 令x=0,得y=sin=-,排除B,D.
由f=0,f=0,排除C,故选A.
2.若将函数f(x)=sin 2x+cos 2x的图象向左平移φ(φ>0)个单位长度,所得的图象关于y轴对称,则φ的最小值是( )
A. B. C. D.
答案 C
解析 将函数f(x)=sin 2x+cos 2x=sin的图象向左平移φ(φ>0)个单位长度,
所得函数y=sin(2x+2φ+)的图象关于y轴对称,则有2φ+=kπ+(k∈Z).
解得φ=kπ+(k∈Z).
由φ>0,则当k=0时,φ取得最小值.
故选C.
3.已知函数f(x)=Asin(ωx+φ)(A>0,ω>0,|φ|<π)是奇函数,将y=f(x)的图象上所有点的横坐标伸长到原来的2倍(纵坐标不变),所得图象对应的函数为g(x).若g(x)的最小正周期为2π,且g()=,则f()等于( )
A.-2 B.- C. D.2
答案 C
解析 已知函数f(x)为奇函数,且|φ|<π,故φ=0,即f(x)=Asin ωx,则g(x)=Asinx.
∵g(x)的最小正周期为2π,
∴=2π,∴ω=2.得g(x)=Asin x.
∵g=,即Asin,
∴A=2,∴f(x)=2sin 2x.
即f=2sin ,故选C.
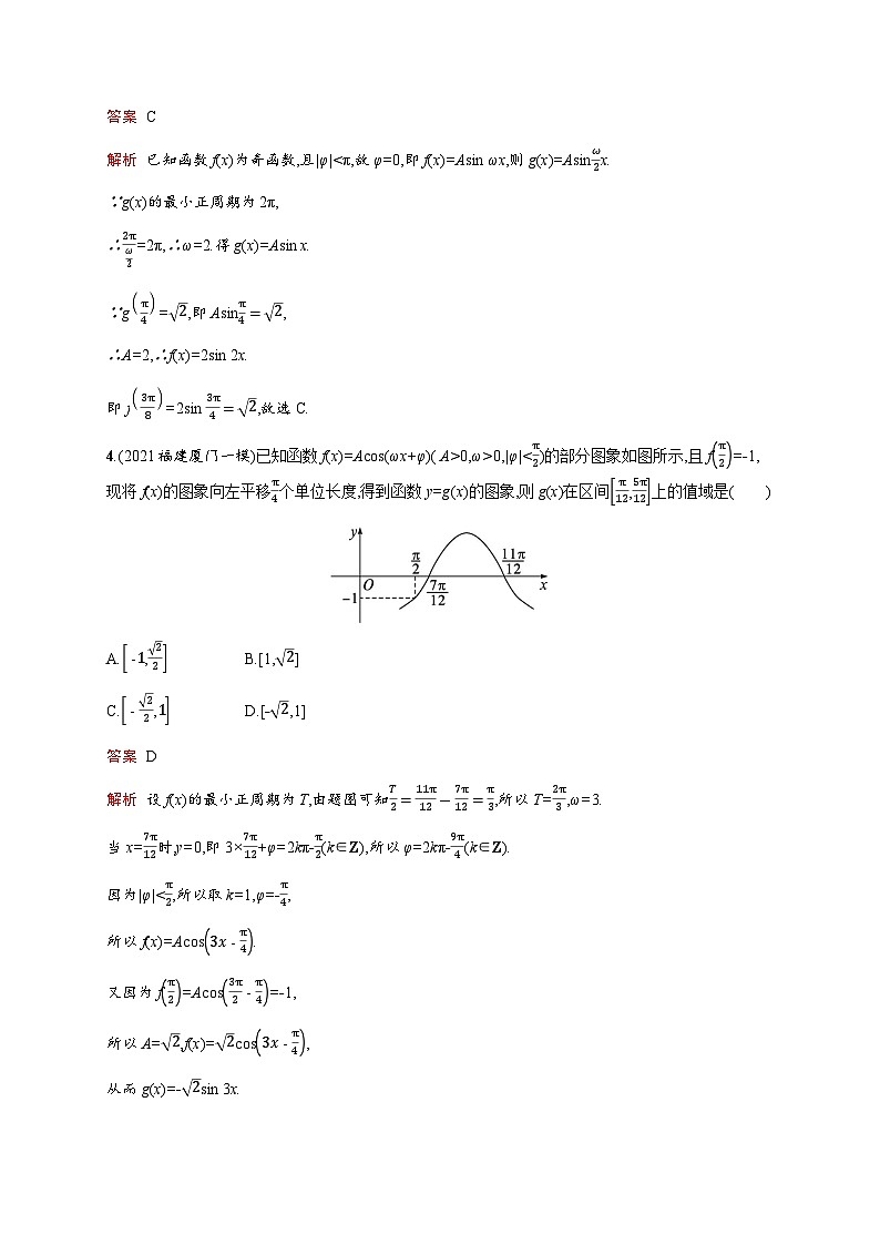
4.(2021福建厦门一模)已知函数f(x)=Acos(ωx+φ)( A>0,ω>0,|φ|<)的部分图象如图所示,且f=-1,现将f(x)的图象向左平移个单位长度,得到函数y=g(x)的图象,则g(x)在区间上的值域是( )
A. B.[1,]
C. D.[-,1]
答案 D
解析 设f(x)的最小正周期为T,由题图可知,所以T=,ω=3.
当x=时,y=0,即3×+φ=2kπ-(k∈Z),所以φ=2kπ-(k∈Z).
因为|φ|<,所以取k=1,φ=-,
所以f(x)=Acos.
又因为f=Acos=-1,
所以A=,f(x)=cos,
从而g(x)=-sin 3x.
当x∈时,3x∈,
所以sin 3x∈.
得g(x)=-sin 3x∈[-,1].
5.若关于x的方程2sin=m在区间上有两个不等实根,则m的取值范围是 ( )
A.(1,) B.[0,2] C.[1,2) D.[1,]
答案 C
解析 方程2sin=m可化为sin(2x+)=,当x∈时,2x+.
作出函数y=f(x)=sin(2x+)在区间[0,]上的图象如图所示.
由题意,得<1,即1≤m<2,得m的取值范围是[1,2),故选C.
6.已知函数f(x)=sin(ωx+φ)(ω>0,-≤φ≤)的图象上的一个最高点和它相邻的一个最低点的距离为2,且图象过点,则函数f(x)= .
答案 sin
解析 由题意得=2,ω>0,则=2,即ω=,所以f(x)=sin,因为该函数图象过点,所以sin(π+φ)=-,即sin φ=,而-≤φ≤,所以φ=,所以f(x)=sin.
7.已知函数y=g(x)的图象由y=f(x)=sin 2x的图象向右平移φ(0<φ<π)个单位得到,这两个函数的部分图象如图所示,则φ= .
答案
解析 由2x=,得函数f(x)=sin 2x的图象在y轴右侧自左向右的第一条对称轴的方程为x=.
直线x=关于直线x=对称的直线为x=,
由题中图象可知,y=f(x)的图象通过向右平移之后,横坐标为x=的点平移到横坐标为x=的点处,
则φ=.
2023年高考指导数学(人教A文一轮)课时规范练22 函数y=Asin(ωx+φ)的图象及三角函数的应用: 这是一份2023年高考指导数学(人教A文一轮)课时规范练22 函数y=Asin(ωx+φ)的图象及三角函数的应用,共4页。试卷主要包含了记函数f=cs的最小正周期为T等内容,欢迎下载使用。
高考数学一轮复习 专题5.5 函数y=Asin(ωx+φ)的图象及其应用(练): 这是一份高考数学一轮复习 专题5.5 函数y=Asin(ωx+φ)的图象及其应用(练),文件包含专题55函数y=Asinωx+φ的图象及其应用练教师版docx、专题55函数y=Asinωx+φ的图象及其应用练学生版docx等2份试卷配套教学资源,其中试卷共37页, 欢迎下载使用。
2023届高考数学一轮复习(新高考)考点专练九:函数y=Asin(ωx+φ)的图象及简单应用(含答案): 这是一份2023届高考数学一轮复习(新高考)考点专练九:函数y=Asin(ωx+φ)的图象及简单应用(含答案),共5页。试卷主要包含了选择题,填空题等内容,欢迎下载使用。

