河南省安阳市2023届高三三模文科数学试题-(含答案)
展开河南省安阳市2023届高三三模文科数学试题
学校:___________姓名:___________班级:___________考号:___________
一、单选题
1.已知集合,,则( )
A. B. C. D.
2.已知的实部与虚部互为相反数,则实数( )
A. B. C. D.
3.已知,则的大小关系为( )
A. B.
C. D.
4.已知正方形的边长为为正方形的中心,是的中点,则( )
A. B. C. D.1
5.小明在跨境电商平台上从国外购买了几件商品,这些商品的价格如果按美元计,则平均数为20,方差为50,如果按人民币计(汇率按1美元元人民币),则平均数和方差分别为( )
A.20,50 B.140,350 C.140,700 D.140,2450
6.以双曲线的右焦点为圆心作圆,与的一条渐近线相切于点,则的焦距为( )
A.4 B. C.6 D.8
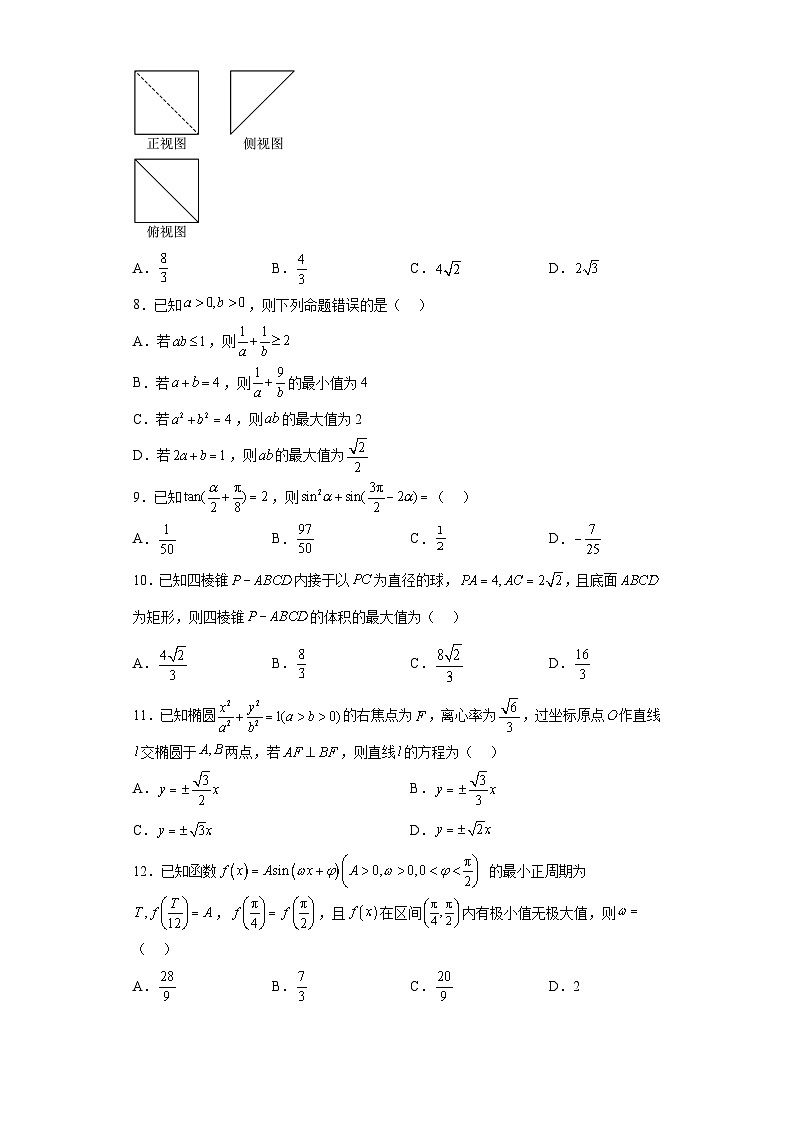
7.如图是某四棱锥的三视图,其中正视图和俯视图是边长为2的正方形,侧视图是直角边长为2的等腰直角三角形,则该四棱锥的体积为( )
A. B. C. D.
8.已知,则下列命题错误的是( )
A.若,则
B.若,则的最小值为4
C.若,则的最大值为2
D.若,则的最大值为
9.已知,则( )
A. B. C. D.
10.已知四棱锥内接于以为直径的球,,且底面为矩形,则四棱锥的体积的最大值为( )
A. B. C. D.
11.已知椭圆的右焦点为,离心率为,过坐标原点作直线交椭圆于两点,若,则直线的方程为( )
A. B.
C. D.
12.已知函数 的最小正周期为,,且在区间内有极小值无极大值,则( )
A. B. C. D.2
二、填空题
13.已知函数的图象关于坐标原点对称,则__________.
14.若变量x,y满足约束条件,则的最大值是______.
15.半圆弧上有包括直径端点在内的5个点,从中随机选取3个点,则以这3个点为顶点的三角形是钝角三角形的概率为__________.
16.已知函数,若是的极小值点,则的取值范围是__________.
三、解答题
17.某市为了制定合理的节水方案,对居民用水情况进行了调查.经过随机抽样,获得200户居民的年用水量(单位:吨)数据,按分成九组,制成如图所示的频率分布直方图:
(1)求直方图中的值;
(2)根据频率分布直方图估计该市的居民年用水量不超过吨,求的值;
(3)已知该市有100万户居民,规定:每户居民年用水量不超过50吨的正常收费,若超过50吨,则超出的部分每吨收1元水资源改善基金,请估计该市居民每年缴纳的水资源改善基金总数约为多少.(每组数据以所在区间的中点值为代表)
18.已知数列满足.
(1)求的通项公式;
(2)设,求数列的前项和.
19.如图所示,在直角三角形中,,将 沿折起到 的位置,使平面平面,点满足.
(1)证明:;
(2)求点到平面的距离.
20.已知函数.
(1)证明:曲线在点处的切线经过坐标原点;
(2)若,证明:有两个零点.
21.已知抛物线的焦点为,点是该抛物线上互不重合的三点,且轴,,设点的横坐标分别为.
(1)当时,求(点为坐标原点)的值;
(2)求的最小值.
22.在直角坐标系中,直线(为参数,)经过点,曲线(为参数),以坐标原点为极点,轴的正半轴为极轴建立极坐标系.
(1)求直线的普通方程以及曲线的极坐标方程;
(2)设直线与曲线交于两点,求.
23.已知函数.
(1)当时,解不等式;
(2)若函数在区间上的值域,求实数的取值范围.
参考答案:
1.B
2.A
3.B
4.C
5.D
6.C
7.A
8.D
9.B
10.D
11.B
12.A
13./1.5
14.5
15./
16.
17.(1)
(2)
(3)(元)
18.(1)
(2)
19.(1)证明见解析
(2)
20.(1)证明见解析
(2)证明见解析
21.(1)
(2)9
22.(1),
(2)
23.(1)
(2)
河南省安阳市2023届高三三模文科数学试题(Word版附解析): 这是一份河南省安阳市2023届高三三模文科数学试题(Word版附解析),共22页。试卷主要包含了 已知,则下列命题错误的是, 已知,则等内容,欢迎下载使用。
河南省安阳市2023届高三三模文科数学试题: 这是一份河南省安阳市2023届高三三模文科数学试题,共19页。
河南省郑州市2023届高三三模文科数学试题: 这是一份河南省郑州市2023届高三三模文科数学试题,共17页。

