2022-2023学年福建省南平市高二上学期期末质量检测数学试题含解析
展开2022-2023学年福建省南平市高二上学期期末质量检测数学试题
一、单选题
1.如果质点A运动的位移S(单位:米)与时间t(单位:秒)之间的函数关系为那么该质点在秒时的瞬时速度为:( )(单位:米/秒)
A. B. C. D.
【答案】D
【分析】根据瞬时变化率的定义求解即可.
【详解】,
所以.
故选:D.
2.直线与直线之间的距离为( )
A. B. C. D.1
【答案】C
【分析】由两线距离公式求值即可.
【详解】,显然与另一条直线平行,则所求距离为.
故选:C.
3.函数,则( )
A. B.
C. D.
【答案】D
【分析】利用导数的除法法则和复合函数的导数法则进行求解.
【详解】因为;
所以;
故.
故选:D.
4.如图,在平行六面体中,M为与的交点.记,,则下列正确的是( )
A. B.
C. D.
【答案】C
【分析】利用平行六面体的性质以及空间向量的线性运算即可求解.
【详解】由题意可知:在平行六面体中,M为与的交点,
所以为的中点,则,
所以
,
故选:.
5.若函数在R上是增函数,则实数a的取值范围为( )
A. B. C. D.
【答案】B
【分析】原命题等价为在R上恒成立,结合二次函数的性质列不等式求解即可.
【详解】∵函数在R上是增函数,在R上恒成立,
∴.
故选:B.
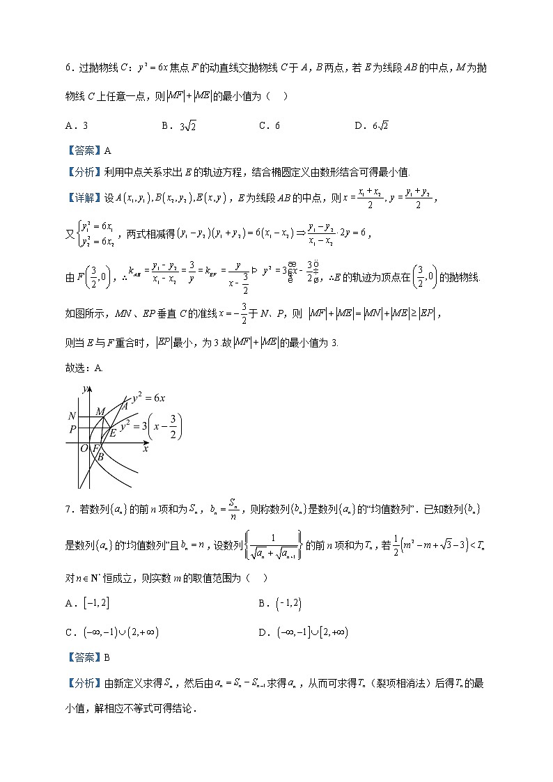
6.过抛物线C:焦点F的动直线交抛物线C于A,B两点,若E为线段AB的中点,M为抛物线C上任意一点,则的最小值为( )
A.3 B. C.6 D.
【答案】A
【分析】利用中点关系求出E的轨迹方程,结合椭圆定义由数形结合可得最小值.
【详解】设,E为线段AB的中点,则,
又,两式相减得,
由,∴,∴E的轨迹为顶点在的抛物线.
如图所示,、EP垂直C的准线于N、P,则 ,
则当与F重合时,最小,为.故的最小值为3.
故选:A.
7.若数列的前n项和为,,则称数列是数列的“均值数列”.已知数列是数列的“均值数列”且,设数列的前n项和为,若对恒成立,则实数m的取值范围为( )
A. B.
C. D.
【答案】B
【分析】由新定义求得,然后由求得,从而可求得(裂项相消法)后得的最小值,解相应不等式可得结论.
【详解】由题意,即,
∴时,,
又,∴时,,
,
,
易知是递增数列,∴的最小值是(时取得),
由题意,解得.
故选:B.
8.已知函数的最小值为-1,过点的直线中有且只有两条与函数的图象相切,则实数b的取值范围为( )
A. B.
C. D.
【答案】C
【分析】先利用导数求出函数的最小值,结合题意可得,设过点的直线与函数的图象相切的切点为,利用导数的几何意义求出切线方程,根据切线过点建立方程,再结合过点的直线有两条与函数的图象相切可得,解之即可求解.
【详解】因为,则,
令可得.
当时,,是增函数.
当时,,是减函数.
所以当时,有最小值,所以,
设过点的直线与函数的图象相切的切点为,
则切线方程为,
又切线过点,
所以,
即,
即.
过点的直线有两条与函数的图象相切,
则,即,
解得:或.
故选:.
二、多选题
9.若函数,则( )
A.函数只有极大值没有极小值 B.函数只有最大值没有最小值
C.函数只有极小值没有极大值 D.函数只有最小值没有最大值
【答案】CD
【分析】由导数法研究函数的极值、最值.
【详解】,单调递增,由,
则.
∴函数有唯一极小值,即最小值,没有极大值、最大值.
故选:CD.
10.函数,以下说法正确的是( )
A.函数有零点 B.当时,函数有两个零点
C.函数有且只有一个零点 D.函数有且只有两个零点
【答案】BC
【分析】利用导函数研究函数的单调性,进而得到函数的最值,根据零点存在定理求解即可.
【详解】,定义域,所以,
令解得,令解得,
所以在上单调递减,在上单调递增,,
则的图象如图所示:
故A错误;
又当时,,所以从图像可得,当时,函数有两个零点,B正确;
恒成立,
所以在上单调递减,
又,,所以函数有且只有一个零点,C正确,D错误;
故选:BC
11.已知数列是公差不为0的等差数列,前项和为.若对任意的,都有,则的值可能为( )
A.2 B. C. D.
【答案】ABC
【分析】由等差数数列前项和公式推导出,由此能求出的值不可能为.
【详解】数列是公差不为0的等差数列,前项和.
若对任意的,都有,
,,解得,
当时,.成立;
当时,.成立;
当时,.成立;
当时,.不成立.
的值不可能为.
故选:ABC.
12.双曲线E的一个焦点为,一条渐近线l的方程为,M,N是双曲线E上不同两点,则( )
A.渐近线l与圆相切
B.M,N的中点与原点连线斜率可能为
C.当直线MN过双曲线E的右焦点时,满足的直线MN只有3条
D.满足的点M有且仅有2个
【答案】AC
【分析】求出圆心到直线的距离即可判断A;根据题意求出双曲线的方程,假设存在点,符合题意,利用点差法求出,即可判断B;求出通径及实轴长即可判断C;分别比较与的大小即可判断D.
【详解】圆的圆心为,半径为1,
圆心到曲线E的渐近线的距离为,
所以渐近线l与圆相切,故A正确;
因,所以,即,
又一条渐近线l的方程为,所以,
可解得:,,
所以曲线E的方程为,
假设存在点,符合题意,
则的中点,,
由,,
相减得,
所以,
所以共线,故直线与渐近线重合,矛盾,故B不正确;
双曲线E的焦距为,则直线MN过左右顶点时,,符合题意,
令,则有,解得,
所以双曲线的通径为,
即直线MN过双曲线E的右焦点时,,
所以当直线不过左右顶点时,满足的线段有2条,
综上,满足的线段包含实轴共有3条,故C正确;
,所以右支上有两点满足题意,
,所以左支上有两点满足题意,
满足的点M有且仅有4个,D不正确.
故选:AC.
【点睛】结论点睛:
①已知椭圆的弦的中点,则;
②已知双曲线的弦的中点,则;
③已知抛物线的弦的中点,则.
三、填空题
13.已知等差数列的前n项和为,若,则______.
【答案】35
【分析】根据等差数列的前n项和公式,及等差数列的性质求解即可.
【详解】解:等差数列的前n项和为,,
,
故答案为:35.
14.已知抛物线的焦点为F,点P在抛物线上,且,请写出满足题意的直线PF的一个方程_____________.
【答案】(或,写其中一个即可)
【分析】求出焦点坐标,由焦半径公式求得点坐标后可得直线方程.
【详解】由题意焦点为为,设,
则,,,,
若,则,直线方程为,即,
若,则,直线方程为,即,
故答案为:或(写一个即可).
15.某牧场年年初牛的存栏数为,计划以后每年存栏数的增长率为,且每年年底卖出头牛,按照该计划预计经过_____________年后存栏数首次超过.(结果保留成整数)参考数据:,
【答案】
【分析】根据题意列出数列的递推公式,求出通项公式,解不等式得出答案.
【详解】设年年初牛的存栏数为,经过年(即年),年初牛的存栏数为,经过年年初牛的存栏数为,
则,即,所以数列是首项为,公比为的等比数列.
因此,由得,即.
所以按照该计划预计经过年后存栏数首次超过.
故答案为:7.
16.已知椭圆C:的左、右焦点分别为、,是椭圆上一点,的面积为,,则椭圆的长轴长为_____________.
【答案】7
【分析】先根据椭圆的定义结合余弦定理和三角形面积公式可得,再利用正弦定理列式即可求解.
【详解】因为是椭圆上一点,所以,,,
由余弦定理
,
可得,
所以,
即,
所以,
又因为,所以,
由及正弦定理得,
所以,即,又,所以长轴长,
故答案为:
四、解答题
17.已知圆M过点,,.
(1)求圆M的方程;
(2)求过点的直线被圆M截得的弦长的最小值.
【答案】(1)
(2)
【分析】(1)根据圆的性质设出圆心坐标,利用相等关系求出圆心和半径,进而可得方程;
(2)根据点在圆内,确定弦长最短的状态,结合勾股定理可得答案.
【详解】(1)由题意圆心M在AB中垂线上,设圆心,
则由得,
解得,,所以圆M的方程.
(2)因为,点在圆内,
当弦所在的直线和MN连线垂直时,截得弦长DE最短,
此时,,
即弦长的最小值为.
18.已知四面体ABCD的顶点坐标分别为,,,.
(1)若M是BD的中点,求直线CM与平面ACD所成的角的正弦值;
(2)若P,A,C,D四点共面,且BP⊥平面ACD,求点P的坐标.
【答案】(1)
(2)
【分析】(1)由题意分别求出向量和平面ACD的一个法向量,再用直线与平面所成的角的正弦值公式代入计算即可;
(2)由题意,,于是点P的坐标为,由P,A,C,D四点共面,可设,将坐标分别代入即可解得,从而求得点P的坐标.
【详解】(1)由题意,,,,,
可设平面ACD的法向量,
则,即,
化简得.
令,则,,
可得平面ACD的一个法向量,
设直线CM与平面ACD所成的角为,
则,
即直线CM与平面ACD所成的角的正弦值为;
(2)由题意,,于是点P的坐标为,
又P,A,C,D四点共面,可设,
即,
即,
解得,
所以所求点P的坐标为.
19.已知数列的前项和为,且满足,等差数列中,,.
(1)求数列,的通项公式;
(2)定义,记,求数列的前20项和.
【答案】(1),
(2)
【分析】(1)根据,作差即可得到是以为首项,为公比的等比数列,从而求出的通项公式,再设数列的公差为,即可得到方程组,解得、,从而求出的通项公式;
(2)根据通项公式判断数列的单调性,即可得到的通项公式,再用分组求和法计算可得.
【详解】(1)解:因为,当时,解得,
当时,所以,即,
所以,即是以为首项,为公比的等比数列,
所以;
设数列的公差为,由,,可得,解得,
所以.
(2)解:因为,即数列为递增数列,
即数列单调递减,
,,,,,,
,,,,,,
所以当时,当时,
所以,
所以
.
20.已知双曲线C:的右焦点为F,过F的直线l与双曲线交于M,N两点,当轴时,.
(1)求双曲线C的离心率e;
(2)当l倾斜角为时,线段MN垂直平分线交x轴于P,求的值.
【答案】(1)
(2)
【分析】(1)根据题意可得:,也即,进而求出双曲线的离心率;
(2)结合(1)的结论可得双曲线C的方程为,设直线MN的方程为,
联立方程组,利用韦达定理和中点坐标公式可得MN的垂直平分线的方程为,进而得到P的坐标为,计算可得,,进而求解.
【详解】(1)根据题意.
所以,所以双曲线C的离心率.
(2)由(1)知,双曲线C的方程为.
直线MN的方程为,
联立方程组,得,
设,,,
则,.
因为,所以MN的中点坐标为.
MN的垂直平分线的方程为,
所以P的坐标为,
所以.
又,
所以.
21.在多面体ABCDEF中,四边形ABCD是边长为2的正方形,M是AB的中点,且,,.
(1)证明:平面EDC⊥平面ABCD;
(2)若,当平面ABF与平面CEF所夹的角的余弦值为时,求的值.
【答案】(1)证明见解析
(2)
【分析】(1)利用面面垂直的判定定理进行证明;
(2)建立空间直角坐标系,求出两个平面的法向量,利用向量夹角的余弦值为求出的值.
【详解】(1)因为,取CD中点O,连接OE,则EO⊥DC,且EO=2,
因为O,M是AB的中点,所以OM=2,所以,即EO⊥OM,
又因为EO⊥DC,且,平面ABCD,平面ABCD,
所以EO⊥平面ABCD,又平面ABCD,
所以平面EDC⊥平面ABCD;
(2)由(1)以O为原点,OM,OC,OE为x,y,z轴,建立如图所示空间直角坐标系,
则,,,,,
,,,
设平面CEF的一个法向量为,
则,取,
,,
设平面ABF的一个法向量为,
则,取,
所以,
解得,即当平面ABF与平面CEF所夹的角的余弦值为时,.
22.定义椭圆C:上的点的“圆化点”为.已知椭圆C的离心率为,“圆化点”D在圆上.
(1)求椭圆C的方程;
(2)设椭圆C的左顶点为A,不过点A的直线l交椭圆C于M,N两点,点M,N的“圆化点”分别为点P,Q.记直线l,AP,AQ的斜率分别为k,,,若,则直线l是否过定点?若直线l过定点,求定点的坐标;若直线l不过定点,说明理由.
【答案】(1)
(2)直线l过定点
【分析】(1)结合离心率及点的位置求得,,得到椭圆的方程;
(2)设直线l的方程为,与椭圆的方程联立得到关于的一元二次方程,由韦达定理得到用参数表示,代入化简整理可得,从而得到直线的定点坐标.
【详解】(1)由题意,所以,
由得,
又点在圆上,,
所以,即,,
所以椭圆C的方程为.
(2)设直线l的方程为,,,其中,
联立,
消y得,,
由,,,
得
,
因为,则,
即,所以直线l方程为,
即直线l过定点.
【点睛】求解圆锥曲线中定点问题的两种求法:
(1) 特殊推理法:先从特殊情况入手,求出定点,再证明定点与变量无关.
(2) 直接推理法:①选择一个参数建立方程,一般将题目中给出的曲线方程(包含直线方程)中的常数变成变量,将变量当成常数,将原方程转化为的形式;②根据曲线(包含直线)过定点时与参数没有关系(即方程对参数的任意值都成立),得到方程组;③以②中方程组的解为坐标的点就是曲线所过的定点,若定点具备一定的限制条件,可以特殊解决.
福建省南平市2023-2024学年高二上学期期末质量检测数学试题(Word版附答案): 这是一份福建省南平市2023-2024学年高二上学期期末质量检测数学试题(Word版附答案),文件包含南平市20232024学年第一学期高二期末质量检测试题docx、南平市20232024学年第一学期高二期末质量检测参考答案及评分标准docx、南平市20232024学年第一学期高二期末质量检测数学双向细目表docx等3份试卷配套教学资源,其中试卷共19页, 欢迎下载使用。
福建省南平市2018-2019学年高二上学期期末质量检测数学(文)试题 Word版含解析: 这是一份福建省南平市2018-2019学年高二上学期期末质量检测数学(文)试题 Word版含解析,共16页。试卷主要包含了选择题,填空题,解答题等内容,欢迎下载使用。
福建省南平市2018-2019学年高二上学期期末质量检测数学(理)试题 Word版含解析: 这是一份福建省南平市2018-2019学年高二上学期期末质量检测数学(理)试题 Word版含解析,共19页。试卷主要包含了选择题,填空题,解答题等内容,欢迎下载使用。

