- 9.1.1分式及其基本性质(课件+教案+练习) 课件 7 次下载
- 9.1.2分式及其基本性质(课件 教案 练习) 课件 7 次下载
- 9.2.1分式的乘除(课件+教案+练习) 课件 7 次下载
- 9.2.2分式的加减(课件+教案+练习) 课件 7 次下载
- 9.2.3分式的加减(课件+教案+练习) 课件 6 次下载
初中数学沪科版七年级下册9.1 分式及其基本性质试讲课课件ppt
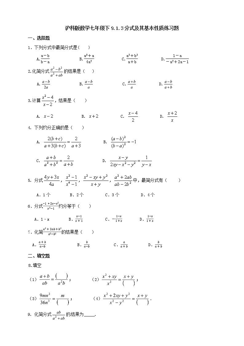
展开沪科版数学七年级下9.1.3分式及其基本性质练习题
一、选择题
1.下列分式中最简分式是( )
A. B. C. D.
2.化简分式的结果是( )
A. B. C. D.
3.计算,结果是( )
A. B. C. D.
4. 下列约分正确的是( )
A. B.
C. D.
5. 分式,,,中,最简分式有( )
A.1个 B.2个 C.3个 D.4个
6.分式约分等于( )
A.1﹣x B. C. D.
7.化简的结果是( )
A. B. C. D.
二、填空题
8.填空
(1); (2);
(3); (4).
9. 化简分式的结果为 .
10..填空.
11. =________.
三、解答题
12.约分:
(1); (2);(3);
13. 先化简,再求值:
(1)分式,其中;
(2)分式,其中。
答案:
1.C 2.B 3.B 4.B 5.C 6.D 7.A
8.⑴,⑵x,⑶4n,⑷x-y;
9. 10.m-mn
11.
12.(1)原式=-. (2)原式=ab+2. (3)原式=.
13.(1)原式; (2)原式
数学七年级下册9.1 分式及其基本性质一等奖课件ppt: 这是一份数学七年级下册9.1 分式及其基本性质一等奖课件ppt,文件包含第1课时分式的相关概念ppt、第3课时约分ppt、第2课时分式的基本性质ppt、第2课时分式的基本性质doc、第1课时分式的概念doc等5份课件配套教学资源,其中PPT共41页, 欢迎下载使用。
沪科版七年级下册9.1 分式及其基本性质试讲课ppt课件: 这是一份沪科版七年级下册9.1 分式及其基本性质试讲课ppt课件,文件包含912分式及其基本性质课件pptx、912分式及其基本性质教学设计docx、912分式及其基本性质练习题docx等3份课件配套教学资源,其中PPT共18页, 欢迎下载使用。
七年级下册第9章 分式9.1 分式及其基本性质精品课件ppt: 这是一份七年级下册第9章 分式9.1 分式及其基本性质精品课件ppt,文件包含911分式及其基本性质课件pptx、911分式及其基本性质教学设计docx、911分式及其基本性质练习题docx等3份课件配套教学资源,其中PPT共18页, 欢迎下载使用。

