新高考数学二轮复习专题六微重点15离心率的范围问题课件
展开圆锥曲线离心率的范围问题是高考的热点题型,对圆锥曲线中已知特征关系的转化是解决此类问题的关键,相关平面几何关系的挖掘应用也可使问题求解更简洁.
利用圆锥曲线的定义求离心率的范围
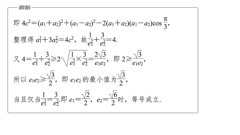
设椭圆的长半轴长为a1,双曲线的实半轴长为a2,不妨设|PF1|>|PF2|,
设|F1F2|=2c,
|F1F2|2=|PF1|2+|PF2|2-2|PF1||PF2|·cs∠F1PF2,
依题意作图,如图所示,由于|MN|=|F1F2|,并且线段MN,F1F2互相平分,
∴|NF1|=|MF2|,设|MF2|=x,则|MF1|=2a-x,根据勾股定理得|MF1|2+|MF2|2=|F1F2|2,即x2+(2a-x)2=4c2,整理得x2-2ax+2b2=0,
整理得2a2-2ac-c2≥0,e2+2e-2≤0,
此类题型的一般方法是利用圆锥曲线的定义,以及余弦定理或勾股定理,构造关于a,b,c的不等式或不等式组求解,要注意椭圆、双曲线离心率自身的范围.
由双曲线的定义得|PQ|+b-|QF2|=2a,所以|PQ|=2a-b+|QF2|,
所以21e2+40e-125<0,所以(3e-5)(7e+25)<0,
因为直线F1Q与双曲线的右支相交,
所以a2
利用圆锥曲线的性质求离心率的范围
(1)(2022·西安模拟)圆柱OO1的轴截面ABB1A1是正方形,过上底面圆弧上任意一点F作平面与圆柱的侧面相交,则相交所得到曲线的离心率的最大值为
过点F的平面与圆柱侧面相交,交线所形成的曲线为椭圆,如图,椭圆的短轴长为底面圆的直径,不妨令底面圆的半径为1,则短轴长2b=2,∴b=1,如图所示,当该椭圆刚好与上、下底面有一个交点时,长轴最长为EF,由图知,MENF为正方形,边长为2,
∵c2=a2-b2=a2-1,
连接OP,当P不为椭圆的上、下顶点时,设直线PA,PB分别与圆O切于点A,B,∠OPA=α,∵存在M,N使得∠MPN=120°,∴∠APB≥120°,即α≥60°,又α<90°,∴sin α≥sin 60°,
利用圆锥曲线的性质,如:椭圆的最大角,通径,三角形中的边角关系,曲线上的点到焦点距离的范围等,建立不等式(不等式组).
如图所示,A为椭圆的上顶点.依题意∠F1AF2≥90°,即∠OAF2≥45°,又|AF2|=a,|AO|=b,|OF2|=c,
∵∠OAF2≥45°,
利用几何图形的性质求离心率的范围
以F1F2为直径的圆的方程为x2+y2=c2,
解得(不妨设)P(a,b),Q(-a,-b),A(-a,0),
利用几何图形中几何量的大小,例如线段的长度、角的大小等,构造几何度量之间的关系.
双曲线C与直线y=x有交点,
双曲线上存在不是顶点的点P,使得∠PF2F1=3∠PF1F2,则P点在右支上,设PF1与y轴交于点Q,由对称性知|QF1|=|QF2|,所以∠QF1F2=∠QF2F1,所以∠PF2Q=∠PF2F1-∠QF2F1=2∠PF1F2=∠PQF2,所以|PQ|=|PF2|,所以|PF1|-|PF2|=|PF1|-|PQ|=|QF1|=2a,
在△PF1F2中,∠PF1F2+∠PF2F1=4∠PF1F2<180°,∠PF1F2<45°,
方法一 由双曲线的定义知|PF1|-|PF2|=2a,①又|PF1|=4|PF2|,②
在△PF1F2中,由余弦定理,
要求e的最大值,即求cs∠F1PF2的最小值,当cs∠F1PF2=-1时,
方法二 由双曲线的定义知,|PF1|-|PF2|=2a,又|PF1|=4|PF2|,
∵|F1F2|=2c,
依题意可得|AF1|-|AF2|=2a,又|AF1|2+|AF2|2=|F1F2|2=4c2,所以(|AF2|+2a)2+|AF2|2=4c2,
因为A在B的上方,且这两点都在C上,
又EA∥x轴,所以|ED|=|EB|,EA⊥BD,所以△BDE的内心G在线段EA上.因为DG平分∠EDA,在△EDA中,
由长轴长为4,故2a=4⇒a=2,由点Q在椭圆上,根据椭圆的定义得|QF1|+|QF2|=4,故A正确;
∴|OQ|min=b>c,
对于A,因为双曲线C的渐近线l与圆F交于A,B两点,所以过点O且与圆F相切的直线与C没有公共点(如图),故选项A正确;对于B,过点F作FD⊥l,垂足为D,易知|FD|=b,因为圆F与直线l相交,所以b设|AD|=m,则|OA|=2m,|OD|=3m,在Rt△AFD和Rt△OFD中,
消去m2,得c2=9a2-8b2,即17a2=9c2,
设双曲线C的左焦点为F′,则|QF|-|QF′|=2a,即|QF|=|QF′|+2a,故|QF|+|PQ|=|QF′|+|PQ|+2a≥|PF′|+2a.
∵|PQ|+|QF|+|PF|≥|PF′|+2a+|PF|=10+2a≥13,
专题二 微重点3 三角函数中ω,φ的范围问题 2024年高考数学大二轮复习课件(含讲义): 这是一份专题二 微重点3 三角函数中ω,φ的范围问题 2024年高考数学大二轮复习课件(含讲义),文件包含专题二微重点3三角函数中ωφ的范围问题pptx、专题二微重点3三角函数中ωφ的范围问题docx、专题二微重点3三角函数中ωφ的范围问题学生版docx等3份课件配套教学资源,其中PPT共60页, 欢迎下载使用。
新高考版高考数学二轮复习(新高考版) 第1部分 专题突破 专题6 微重点15 离心率的范围问题课件PPT: 这是一份新高考版高考数学二轮复习(新高考版) 第1部分 专题突破 专题6 微重点15 离心率的范围问题课件PPT,共60页。PPT课件主要包含了专题强化练等内容,欢迎下载使用。
新高考数学二轮复习专题二微重点8平面向量的最值与范围问题课件: 这是一份新高考数学二轮复习专题二微重点8平面向量的最值与范围问题课件,共57页。PPT课件主要包含了求参数的最值范围,考点一,规律方法,考点二,易错提醒,考点三,-22,专题强化练,设Fx0y0,因为-1≤x≤0等内容,欢迎下载使用。

