2023届湖南省常德市桃源县第一中学高三上学期期中数学试题(解析版)
展开2023届湖南省常德市桃源县第一中学高三上学期期中数学试题
一、单选题
1.已知集合,,则( )
A. B.
C. D.
【答案】D
【分析】求出集合,利用交集的定义可求得集合.
【详解】因为或,所以,.
故选:D.
2.已知复数满足:,(其中为虚数单位,为实数且),则的共轭复数在复平面内对应的点位于( )
A.第一象限 B.第二象限 C.第三象限 D.第四象限
【答案】C
【分析】利用复数的除法化简得到复数,利用共轭复数的定义结合复数的几何意义可得出结论.
【详解】由已知可得,则,
,则,,所以,的共轭复数在复平面内对应的点位于第三象限.
故选:C.
3.直线:经过第一象限的充要条件是( )
A. B.或 C. D.
【答案】B
【分析】先确定所过的定点,再根据直线的斜率确定即可.
【详解】由题意,即,故当,即时恒成立,故过,故若直线经过第一象限,则直线的斜率大于0即可,即,即,解得或.
故选:B
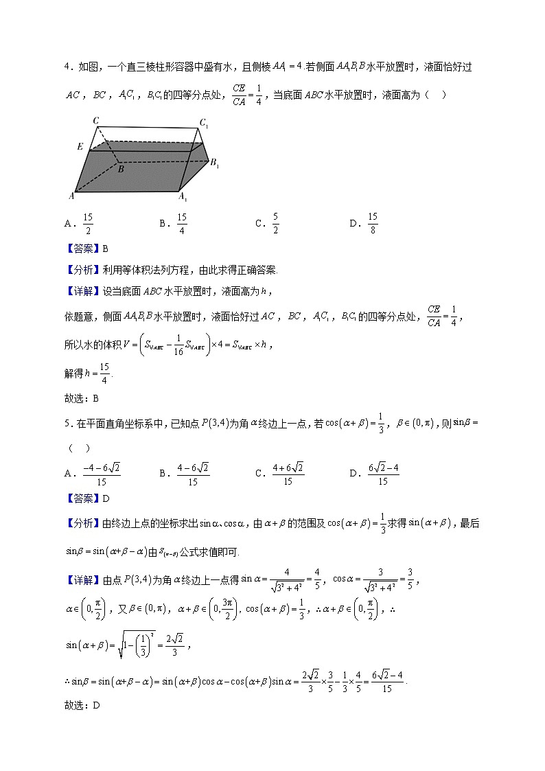
4.如图,一个直三棱柱形容器中盛有水,且侧棱.若侧面水平放置时,液面恰好过,,,的四等分点处,,当底面水平放置时,液面高为( )
A. B. C. D.
【答案】B
【分析】利用等体积法列方程,由此求得正确答案.
【详解】设当底面水平放置时,液面高为,
依题意,侧面水平放置时,液面恰好过,,,的四等分点处,,
所以水的体积,
解得.
故选:B
5.在平面直角坐标系中,已知点为角终边上一点,若,,则( )
A. B. C. D.
【答案】D
【分析】由终边上点的坐标求出,由的范围及求得,最后由公式求值即可.
【详解】由点为角终边上一点得,,
,又,,∴,∴,
∴.
故选:D
6.下图是正方体的平面展开图,在这个正方体中,下列判断不正确的是( )
A. B.
C. D.直线与的夹角为
【答案】A
【分析】将正方体进行还原,再根据正方体中的平行垂直之间关系即可判断选项的正误.
【详解】解:由题知将正方体还原如图所示,
由图可知,,
故选项A错误,选项B正确;
,,
故选项C正确;
连接,,且为等边三角形,
,即直线与的夹角为,
故选项D正确.
故选:A
7.已知函数的定义域为,函数为奇函数,且,则的值为( )
A.0 B.3 C. D.
【答案】D
【分析】根据已知可以得出,以及,可推出,进而得到,代入即可求得结果.
【详解】因为函数为奇函数,所以有,
又,所以函数的周期为4,且,
所以有,则.
即,所以.
故选:D.
8.在数列中,,,则数列的前项的和为( )
A. B. C. D.
【答案】A
【分析】分析出数列为周期数列,且对任意的,,,计算出数列数列的前项中奇数项和偶数项的和,相加可得出结果.
【详解】因为,,则,且,
所以,对任意的,,,
记,,
则,
,
因此,数列的前项和为.
故选:A.
二、多选题
9.下列不等式成立的是( )
A. B.
C. D.
【答案】BC
【分析】利用指数函数与对数函数的单调性,逐个选项进行判断求解即可.
【详解】对于A,为减函数,,故A错误;
对于B,为增函数,,故B正确;
对于C,,,故,C正确;
对于D,,,故,D错误;
故选:BC
10.我国有着丰富悠久的“印章文化”,古时候的印章一般用贵重的金属或玉石制成,本是官员或私人签署文件时代表身份的信物,后因其独特的文化内涵,也被作为装饰物来使用.图1是明清时期的一个金属印章摆件,除去顶部的环可以看作是一个正四棱柱和一个正四棱锥组成的几何体;如图2,已知正四棱柱和正四棱锥的高之比为1:2,且底面边长均为,若该几何体的所有顶点都在球的表面上,则( )
A.球的体积为
B.正四棱柱和正四棱锥组成的几何体的体积为20
C.正四棱锥的侧棱与其底面所成角的正弦值为
D.正四棱锥的侧面与其底面的夹角的正弦值为
【答案】BD
【分析】利用勾股定理列方程,求得球的半径以及正四棱锥、正四棱柱的高,结合体积、线面角、面面角的知识求得正确答案.
【详解】设正四棱锥为,其底面中心为;
设正四棱柱为,其下底面中心为,
设是的中点,连接,
是球的球心,设球的半径为,
设正四棱柱的高为,则正四棱锥的高为,为正数,
所以,,
所以,所以,解得,
所以,球的体积,A选项错误.
组合体的体积为,B选项正确.
依题意可知正四棱锥的侧棱与其底面所成角为,
,C选项错误.
根据正四棱锥的性质可知:,
所以是正四棱锥的侧面与其底面的夹角,
,D选项正确.
故选:BD
11.已知数列的前项和,则下列结论正确的是( )
A. B.
C.数列是等差数列 D.数列的前项和
【答案】ABD
【分析】利用与的关系可判断AB选项;利用等差数列的定义可判断C选项;利用裂项求和法可判断D选项.
【详解】对于A选项,,A对;
对于B选项,当且时,,B对;
对于C选项,令,且,,
当且时,,
因为当且时,,,
所以,数列不是等差数列,C错;
对于D选项,当时,,
当且时,,
此时,,
综上所述,对任意的,,D对.
故选:ABD.
12.如图,正方体棱长为1,点是线段上的一个动点,下列结论中正确的是( )
A.存在点,使得
B.三棱锥的体积为定值
C.若动点在以点为球心,为半径的球面上,则的最小值为
D.过点,,作正方体的截面,则截面多边形的周长的取值范围是
【答案】BCD
【分析】A选项为直径的球面与直线没有公共点,则不存在点P;
B选项根据等体积法,则,将体积转化为,算出即可;
C选项的 最小值为,代入即可求得最小值;
D选项的动点位于点时截面周长最小,当位于中点时,截面的周长最大,故可得到结论.
【详解】对A选项,在正方体中,以为直径的球面,半径,则直线与该球面没有公共点,故不存在点,使得,故A选项错误;
对B选项, 因为,因为,平面,平面,所以平面,所以点到平面的距离即为直线到平面的距离,故,故B选项正确;
对C选项,,,因为,所以,故C选项正确;
对D选项,当在上移动时,截面多边形如图(1)所示,其侧面展开图如图(2)所示,
图(1) 图(2)
当点位于点时,即与点重合,截面多边形为正三角形,此时的周长最小,周长,当点从点向点移动时,根据对称性可知,截面多边形的周长先增大后减小,即点随着点的移动至点时,此时点为的中点,截面为平行四边形,截面多边形的周长最大,此时周长为,所以截面多边形的周长的取值范围是,故D选项正确.
故选:BCD
三、填空题
13.函数在处的切线方程为______.
【答案】
【分析】求出导函数,根据导数的几何意义求出切线斜率,再求出切点纵坐标,得到切线方程.
【详解】,故,
又,
所以,即
故答案为:
14.已知平面向量,为单位向量,且,则向量在向量上的投影向量的坐标为______.
【答案】
【分析】由得,计算在方向上的投影,进而得在方向上的投影向量.
【详解】因为,所以,为单位向量,,
又因为,所以,
即,在方向上的投影为,
所以在方向上的投影向量为.
故答案为:.
15.如图,已知、是球的球面上两点,,过作互相垂直的两个平面截球得到圆和圆,若,则球的表面积为______.
【答案】
【分析】取线段的中点,连接、、、,分析出为等边三角形,四边形为正方形,求出球的半径,利用球体的表面积公式可求得结果.
【详解】取线段的中点,连接、、、,如下图所示:
由球的几何性质可知平面,平面,
因为,,则是边长为的等边三角形,
因为为的中点,则,且,同理可知,
因为平面平面,平面平面,平面,
平面,平面,,同理,
因为平面,,所以,四边形为正方形,故,
所以,球的半径为,因此,球的表面积为.
故答案为:.
16.设函数,若对任意,关于的不等式恒成立,则实数的取值范围为______.
【答案】
【分析】分析出函数为上的奇函数,且为增函数,由已知可得出,令,则,,可知对任意的恒成立,分、两种情况讨论,结合一次函数不等式恒成立可得出关于实数的不等式,综合可求得实数的取值范围.
【详解】因为,该函数的定义域为,
,则函数为奇函数,
且,故函数为上的增函数,
由可得,
所以,,即,
令,则,令,
①当时,,
由题意可得,解得;
当时,,
由题意可得,解得.
综上所述,实数的取值范围是.
故答案为:.
【点睛】方法点睛:利用函数的奇偶性与单调性求解抽象函数不等式,要设法将隐性划归为显性的不等式来求解,方法是:
(1)把不等式转化为;
(2)判断函数的单调性,再根据函数的单调性把不等式的函数符号“”脱掉,得到具体的不等式(组),但要注意函数奇偶性的区别.
四、解答题
17.已知函数
(I)求的值
(II)求的最小正周期及单调递增区间.
【答案】(I)2;(II)的最小正周期是,.
【分析】(Ⅰ)直接利用三角函数关系式的恒等变换,把函数的关系式变形成正弦型函数,进一步求出函数的值.
(Ⅱ)直接利用函数的关系式,求出函数的周期和单调区间.
【详解】(Ⅰ)f(x)=sin2x﹣cos2xsin x cos x,
=﹣cos2xsin2x,
=﹣2,
则f()=﹣2sin()=2,
(Ⅱ)因为.
所以的最小正周期是.
由正弦函数的性质得
,
解得,
所以,的单调递增区间是.
【点睛】本题主要考查了三角函数的化简,以及函数的性质,是高考中的常考知识点,属于基础题,强调基础的重要性;三角函数解答题中,涉及到周期,单调性,单调区间以及最值等考点时,都属于考查三角函数的性质,首先应把它化为三角函数的基本形式即,然后利用三角函数的性质求解.
18.已知为等差数列,前项和为,是首项为3且公比大于0的等比数列,,,.
(1)求和的通项公式;
(2)求数列的前项和.
【答案】(1),;
(2).
【分析】(1)根据等比数列的通项公式可计算得到公比的值,再根据等差数列的通项公式及其性质和求和公式,即可解出首项和公差的值,即可求得和的通项公式;
(2)先根据第(1)题的结论得到数列的通项公式,然后运用错位相减法求出前项和.
【详解】(1)由题意,设等差数列的公差为,等比数列的公比为,则.
则由可得,,解得或(舍去),
所以,则,.
由可得,由可得,,
又,所以.
所以,,所以,
所以.
(2)由(1)知,,,
所以.
所以,,
,
两式作差得,,
所以,.
19.设的三个内角、、所对的边分别为、、.已知.
(1)求的值;
(2)若,,求的面积.
【答案】(1)
(2)
【分析】(1)利用正弦定理结合两角和的正弦公式化简可得出的值;
(2)由(1)可得出,利用余弦定理可得出的值,求出的值,利用三角形的面积公式可求得的面积.
【详解】(1)解:由可得,
所以,,
即,即,
即,可得,故.
(2)解:因为,则,
由余弦定理可得,,
,则角为锐角,故,
因此,.
20.如图,在三棱柱中,平面平面,,四边形是边长为的菱形,.
(1)证明:;
(2)若,求平面和平面夹角的余弦值.
【答案】(1)证明见解析
(2)
【分析】(1)取的中点,连接、,证明出平面,利用线面垂直的性质可证得结论成立;
(2)以点为坐标原点,、、所在直线分别为、、轴建立空间直角坐标系,设,根据求出的值,再利用空间向量法可求得平面和平面夹角的余弦值.
【详解】(1)证明:取的中点,连接、,
因为,为的中点,则,
因为四边形为菱形,则,,则为等边三角形,
因为为的中点,则,
因为,、平面,平面,
因为平面,.
(2)解:因为平面平面,平面平面,平面,,
平面,又因为,以点为坐标原点,、、所在直线分别为、、轴建立如下图所示的空间直角坐标系,
设,则、、、,
,,
因为,则,解得,
设平面的法向量为,,,
则,取,则,
设平面的法向量为,,
则,取,可得,
,因此,平面和平面夹角的余弦值为.
21.已知函数.
(1)若对任意的,恒成立,求实数的取值范围;
(2)证明:当时,.
【答案】(1)
(2)见解析
【分析】(1)对任意的,恒成立,分离参数,则,令,利用导数进行研究求出函数的最大值即可;
(2)由(1)可得,令,整理即可得,然后利用此不等式将待证不等式左边每一项放缩,进而利用对数的运算性质证得原不等式.
【详解】(1)解:对任意的,恒成立,
即为,
令,则,
令,则,
当时,,当时,,
所以函数在上递增,在上递减,
又当时,,
注意到,则当时,,即;
当时,,即,
所以函数在上递增,在上递减,
所以,
所以;
(2)证明:由(1)可得,
即,令,
则,即,
所以.,
所以原不等式成立.
22.已知函数,且.
(1)当时,求函数的最大值;
(2)判断函数零点的个数,并说明理由.
【答案】(1)
(2)答案见解析
【分析】(1)求出函数的定义域,利用导数分析函数的单调性,可求得函数的最大值;
(2)对实数的取值进行分类讨论,利用导数分析函数的单调性,结合零点存在定理可得出函数的零点个数,综合可得出结论.
【详解】(1)解:当时,,由可得,
所以,函数的定义域为,,
令,则,
故函数在上单调递减,
当时,则;当时,.
所以,函数的增区间为,减区间为,故.
(2)解:因为,函数的定义域为,,
令,其中,,
所以,函数在上单调递减,
令,其中,则,
则函数在上单调递增,
当时,,即,可得,
①当时,由(1)可知,函数只有一个零点;
②当时,则,,
,
所以,存在,使得,
当时,,此时函数单调递增,
当时,,此时函数单调递减,且,
又因为当时,,
则,
令,其中,则,由,可得,
记,当时,,此时函数单调递增,
当时,,此时函数单调递减,
所以,,
令,其中,则,
所以,函数在上单调递减,
因为,且,所以,,即,
所以,,即,
因为,,
由零点存在定理可知,函数在、上各存在一个零点,
此时,函数在定义域内有两个零点;
③当时,因为函数在上单调递减,
,
令,则,,
所以存在,使得,即,
当时,,此时函数单调递增,
当时,,此时函数单调递减,
所以,,
令,其中,
则,所以,函数在上单调递增,
所以,,即,此时函数无零点.
综上所述,当时,函数的零点个数为;
当时,函数的零点个数为;
当时,函数的个数为.
【点睛】方法点睛:利用导数解决函数零点问题的方法:
(1)直接法:先对函数求导,根据导数的方法求出函数的单调区间与极值,根据函数的基本性质作出图象,然后将问题转化为函数图象与轴的交点问题,突出导数的工具作用,体现了转化与化归思想、数形结合思想和分类讨论思想的应用;
(2)构造新函数法:将问题转化为研究两函数图象的交点问题;
(3)参变量分离法:由分离变量得出,将问题等价转化为直线与函数的图象的交点问题.
湖南省常德市第一中学2023-2024学年高二上学期期中数学试题(Word版附解析): 这是一份湖南省常德市第一中学2023-2024学年高二上学期期中数学试题(Word版附解析),共22页。试卷主要包含了单项选择题,多项选择题,填空题,解答题等内容,欢迎下载使用。
2022-2023学年湖南省常德市第一中学高二下学期期中数学试题含解析: 这是一份2022-2023学年湖南省常德市第一中学高二下学期期中数学试题含解析,共23页。试卷主要包含了单选题,多选题,填空题,解答题等内容,欢迎下载使用。
2022-2023学年湖南省常德市第一中学高一上学期期中数学试题含解析: 这是一份2022-2023学年湖南省常德市第一中学高一上学期期中数学试题含解析,共20页。试卷主要包含了单选题,多选题,填空题,解答题等内容,欢迎下载使用。

