2023重庆市三峡名校联盟高一上学期秋季联考试题数学含答案
展开三峡名校联盟2022年秋季高2025届数学试题
命题人:巫山中学, 刘承军 审题人:巫山中学, 李 超
一、单项选择题(本大题共8题,每小题5分,共计40分,每小题列出的四个选项中只有一项是最符合题目要求的.)
1、已知命题,则为 ( )
A. B. C. D.
2、已知函数是幂函数,且在上递减,则实数 = ( )
A.-1 B.2或1 C.4 D.2
3、,是第一象限角或第二象限角,则是的 ( ) A.充分不必要条件 B.必要不充分条件 C.充要条件 D.既不充分也不必要条件
4、下列散点图中,估计有可能用函数来模拟的是 ( )
A. B. C. D.
5、设则 ( )
A. B. C. D.
6、已知函数 则 ( )
A.是偶函数,且在是单调递增 B.是奇函数,且在是单调递增
C.是偶函数,且在是单调递减 D.是奇函数,且在是单调递减
7、若为奇函数,且是的一个零点,则是下列哪个函数的零点( )
A. B. C. D.
8、高斯是德国著名的数学家,近代数学奠基者之一,享有“数学王子”的称号,用其名字命名的“高斯函数”为:设用表示不超过的最大整数,则称为高斯函数,例如:已知函数 ,则函数的值域
为 ( )
A. {-2,-1, 0, 1,2, 3} B.{-1, 0, 1,2, 3} C.{-1,0,2,3} D.{-2, -1, 0,1, 2}
二、多项选择题(本题共4小题,每小题5分,共20分.在每小题给出的选项中,有多项符合题目要求.全部选对的得5分,部分选对的得2分,有选错的得0分.)
9、下列函数中,定义域为的函数是 ( )
A. B. C. D.
10、下列说法正确的是 ( )
- 若,则 B.若,则
C.若则 D.若则
11、已知函数,则 ( )
A. B.若
C. D.
12、已知,则下列说法正确的是 ( )
A. B.
C. D.
三、填空题(本题共4小题,每小题5分,共20分.其中15题第一空2分,第二空3分.)
13、请写出同时满足下列两个条件的函数____________.
(1)在定义域内单调递增,(2)
14、求的值为____________.
15、设时钟时针长5,时间经过4小时30分钟。①分针转了多少度____________.(用角度制表示)②时针尖端所走过的弧长为____________.
16、对于正整数,函数 对于实数,记
方程的不同实数解的个数为,求使得函数的最大值为4的所有正整数的和为____________.
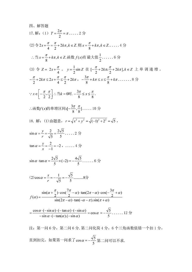
四、解答题(本题共6小题,17题10分,剩下每题12分,共70分。解答应写出文字说明、证明过程或演算步骤.)
17、已知函数,.
(1) 求的最小正周期;
(2) 求的最大值和对应的取值;
(3)求在的单调递增区间.
18、在平面直角坐标系中,角的顶点坐标原点,始边为的非负半轴,终边经过点.
(1)求的值;
(2)求的值.
19、在①不等式的解集为B,②不等式的解集为B .这两个条件中任选一个作为已知条件,补充在下面的问题中,并解决该问题.
问题:设
(1)当时,求;
(2)若“”是“”的充分不必要条件,求的取值范围.
20、已知函数,。
(1)当求函数;
(2)若函数
(3)若函数
21、习总书记指出:“绿水青山就是金山银山”.巫山县曲池乡响应号召,因地制宜地将该乡镇打造成“生态水果特色小镇”.调研过程中发现:纽荷尔树的单株产量(单位:)与肥料费用(单位:元)满足如下关系:,其他成本投入(如培育管理等人工费)为(单位:元).已知纽荷尔的市场售价大约为10元,且供不应求.记该单株水果树获得的利润为(单位:元).
(1)求的函数关系式;
(2)当投入的肥料费用为多少元时,该单株水果树获得的利润最大?最大利润是多少元?
22、定义在上的函数,对任意的,恒有且时,有
(1)判断的奇偶性并证明;
(2)若,且对恒成立,求的取值范围;
(3)若,函数有三个不同的零点,求的取值范围.
重庆市三峡名校联盟2023-2024学年高二上学期秋季联考数学试题(Word版附答案): 这是一份重庆市三峡名校联盟2023-2024学年高二上学期秋季联考数学试题(Word版附答案),共11页。试卷主要包含了单项选择题,多项选择题,填空题,解答题等内容,欢迎下载使用。
重庆市三峡名校联盟2023-2024学年高一上学期秋季联考数学试题(Word版附答案): 这是一份重庆市三峡名校联盟2023-2024学年高一上学期秋季联考数学试题(Word版附答案),共7页。试卷主要包含了单项选择题,多项选择题,填空题,解答题等内容,欢迎下载使用。
2024重庆市三峡名校联盟高二上学期秋季联考试题数学含答案: 这是一份2024重庆市三峡名校联盟高二上学期秋季联考试题数学含答案,文件包含三峡名校联盟2023年秋季联考高2025届数学答案docx、三峡名校联盟2023年秋季联考高2025届数学试题docx、三峡名校联盟2023年秋季联考高2025届数学答题卡pdf等3份试卷配套教学资源,其中试卷共13页, 欢迎下载使用。

