- 【期末专题复习】人教版(2019)物理必修1-高一上学期期末专题点拨与训练:第3讲 初速度为零的匀变速直线运动的规律 试卷 2 次下载
- 【期末专题复习】人教版(2019)物理必修1-高一上学期期末专题点拨与训练:第4讲 中时速度和中置速度 试卷 1 次下载
- 【期末专题复习】人教版(2019)物理必修1-高一上学期期末专题点拨与训练:第6讲 追及和相遇问题 试卷 1 次下载
- 【期末专题复习】人教版(2019)物理必修1-高一上学期期末专题点拨与训练:第7讲 运动图像的理解与应用 试卷 1 次下载
- 【期末专题复习】人教版(2019)物理必修1-高一上学期期末专题点拨与训练:第8讲 特殊图像 试卷 1 次下载
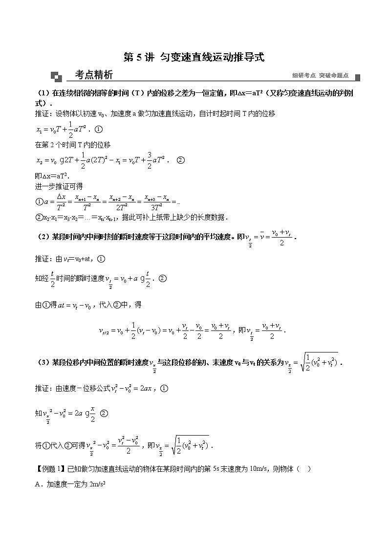
【期末专题复习】人教版(2019)物理必修1-高一上学期期末专题点拨与训练:第5讲 匀变速直线运动推导式
展开第5讲 匀变速直线运动推导式
(1)在连续相邻的相等的时间(T)内的位移之差为一恒定值,即△x=aT2(又称匀变速直线运动的判别式).
推证:设物体以初速v0、加速度a做匀加速直线运动,自计时起时间T内的位移
.①
在第2个时间T内的位移
. ②
即△x=aT2.
进一步推证可得
①
②x2-x1=x3-x2=…=xn-xn-1,据此可补上纸带上缺少的长度数据.
(2)某段时间内中间时刻的瞬时速度等于这段时间内的平均速度。即.
推证:由vt=v0+at,①
知经时间的瞬时速度.②
由①得,代入②中,得
,即.
(3)某段位移内中间位置的瞬时速度与这段位移的初、末速度v0与vt的关系为.
推证:由速度-位移公式,①
知 ②
将①代入②可得,即.
【例题1】已知做匀加速直线运动的物体在某段时间内的第5s末速度为10m/s,则物体( )
A.加速度一定为2m/s2
B.前5s内位移一定是25m
C.前10s内位移一定为100m
D.前10s内位移不一定为100m
【例题2】一个小石子从离地某一高度处由静止自由落下,某摄影爱好者恰好拍到了它下落的一段轨迹AB如图。该爱好者用直尺量出轨迹的实际长度,如图所示。已知曝光时间为s,则小石子出发点离A点约为( )
A.6.5m B.10m C.20m D.45m
【例题3】一个做匀加速直线运动的物体,先后经过A、B两点的速度分别是v和7v,经过AB段的时间是t,则下列判断中正确的是( )
A.经过A、B中点的速度是4v
B.经过A、B中间时刻的速度是4v
C.前位移所需时间是后位移所需时间的2倍
D.前时间通过的位移比后时间通过的位移少2vt
【例题4】一物体以vA从A点出发做匀加速直线运动,经过时间t以速度vB到达相距为s的B点,则该物体经过0.4t时刻的瞬时速率和距B点为0.4s处的瞬时速率分别为( )
A.vB﹣vA, B.vB+vA,
C.vB+vA, D.vB+vA,
1.如图所示,一小球(可视为质点)沿斜面匀加速下滑,依次经过A、B、C三点。已知AB=18m,BC=30m,小球经过AB和BC两段所用的时间均为2s,则小球经过A、B、C三点时的速度大小分别是( )
A.6m/s,12m/s,18m/s
B.10m/s,12m/s,18m/s
C.6m/s,12m/s,16m/s
D.12m/s,13m/s,14m/s
2.一物体做匀加速直线运动,通过一段位移△x1所用的时间为t,紧接着通过下一段位移△x2所用时间也为t。则物体运动的加速度为
A.
B.
C.
D.
3.一质点作匀加速直线运动,通过一段位移Δx所用时间为t1,紧接着通过下一段位移Δx所用的时间为t2,则有关下列说法正确的是( )
A.t1时间内中间位置的速度为
B.t2时间内中间时刻的速度为
C.t1和t2的关系为:
D.该质点运动的加速度为
4.一质点做匀加速直线运动,速度变化∆v时发生位移x1,紧接着速度变化同样的∆v时发生位移x2,则该质点的加速度大小为( )
A. B.
C. D.
5.若滑雪运动员在直道上做匀加速直线运动,从某一时刻记时起,它在第3s内的位移为10m,则可以确定( )
A.运动员在第3s末的速度一定是12m/s
B.运动员的加速度一定是4m/s2
C.运动员在前5s内的位移一定是50m
D.运动员在第5s内的位移一定是18m
6.一个物体做初速度为零的匀加速直线运动,已知它在第一个内的位移为x,若未知,则可求出( )
A.第一个内的平均速度
B.物体运动的加速度
C.第n个内的位移
D.n个内的位移
7.如图,物体自O点由静止开始做匀加速直线运动,A、B、C、D为其运动轨迹上的四点,得AB=3m,BC=4 m。且物体通过AB、BC、CD所用时间相等,则下列说法正确的是( )
A.可以求出物体加速度的大小 B.可以求得CD=5 m
C.可求得OA之间的距离为3.125m D.可求得OA之间的距离为2m
8.一物体沿一直线运动,先后经过匀加速、匀速和匀减速运动过程,已知物体在这三个运动过程中的位移均为s,所用时间分别为2t、t和t,则( )
A.物体做匀加速运动过程时初速度大小为零
B.物体做匀减速运动时加速度大小为
C.物体做匀加速运动的加速度大小为
D.物体在这三个运动过程中的平均速度大小为
9.雪崩是自然灾害之一,我们在登雪山和欣赏雪山的美景时,一定要注意安全。某摄影爱好者站在倾角为37°的斜坡底端正在对斜坡顶端的美景进行拍摄,t0=0时,在距坡底为L=45m处发生雪崩,摄影受好者发现后经过t1=1s的反应时间,从静止开始以的加速度逃离。当摄影者的速度达到6m/s后就不能再加速了,并以此速度做匀速运动,如图所示。已知雪块(可视为质点)与坡面和地面间的动摩擦因数均为0.3,sin37°=0.6,cos37°=0.8,取g=10m/s2,假设雪块从坡面滑向水平面时速度大小不变。
(1)求雪块到达斜面底端时的速度大小和下滑的时间;
(2)摄影者站在距坡底至少多远处才能安全逃离。
【期末专题复习】人教版(2019)物理必修1-高一上学期期末专题点拨与训练:第9讲 研究匀变速直线运动: 这是一份【期末专题复习】人教版(2019)物理必修1-高一上学期期末专题点拨与训练:第9讲 研究匀变速直线运动,文件包含期末专题复习人教版2019物理必修1-高一上学期期末专题点拨与训练第9讲研究匀变速直线运动解析版doc、期末专题复习人教版2019物理必修1-高一上学期期末专题点拨与训练第9讲研究匀变速直线运动原卷版doc等2份试卷配套教学资源,其中试卷共19页, 欢迎下载使用。
【期末专题复习】人教版(2019)物理必修1-高一上学期期末专题点拨与训练:第8讲 特殊图像: 这是一份【期末专题复习】人教版(2019)物理必修1-高一上学期期末专题点拨与训练:第8讲 特殊图像,文件包含期末专题复习人教版2019物理必修1-高一上学期期末专题点拨与训练第8讲特殊图像解析版doc、期末专题复习人教版2019物理必修1-高一上学期期末专题点拨与训练第8讲特殊图像原卷版doc等2份试卷配套教学资源,其中试卷共14页, 欢迎下载使用。
【期末专题复习】人教版(2019)物理必修1-高一上学期期末专题点拨与训练:第3讲 初速度为零的匀变速直线运动的规律: 这是一份【期末专题复习】人教版(2019)物理必修1-高一上学期期末专题点拨与训练:第3讲 初速度为零的匀变速直线运动的规律,文件包含期末专题复习人教版2019物理必修1-高一上学期期末专题点拨与训练第3讲初速度为零的匀变速直线运动的规律解析版doc、期末专题复习人教版2019物理必修1-高一上学期期末专题点拨与训练第3讲初速度为零的匀变速直线运动的规律原卷版doc等2份试卷配套教学资源,其中试卷共15页, 欢迎下载使用。

