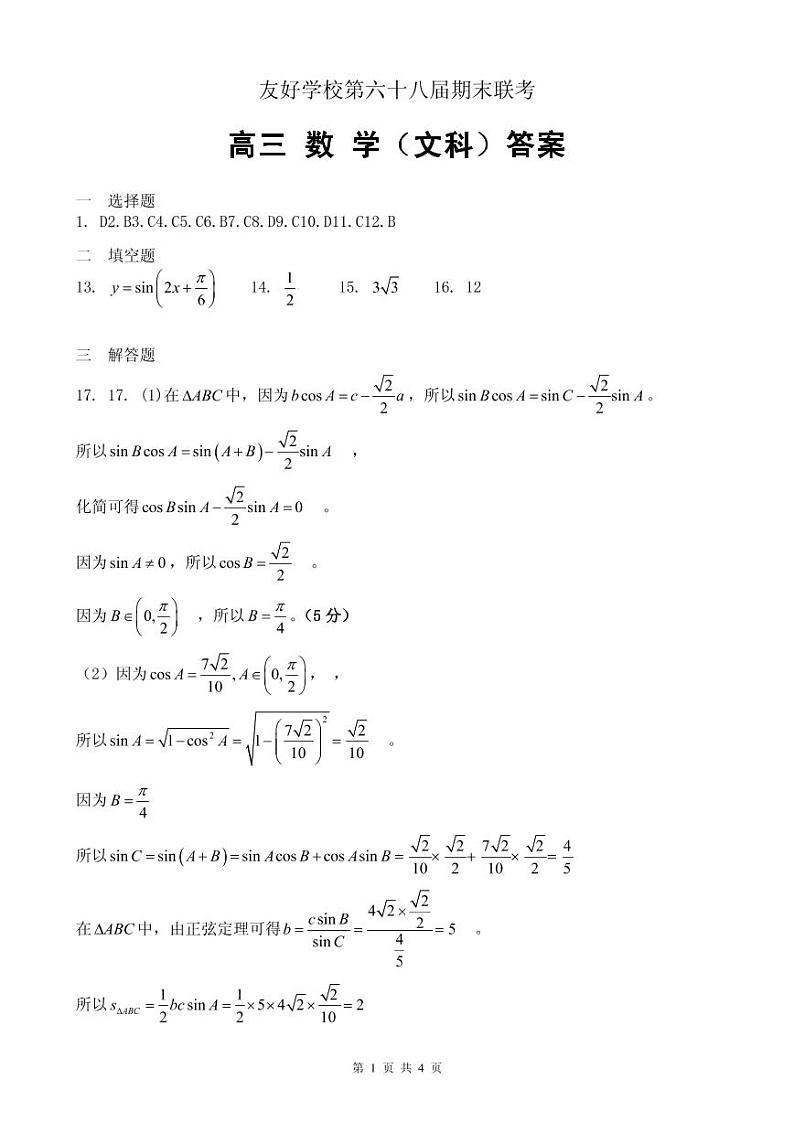
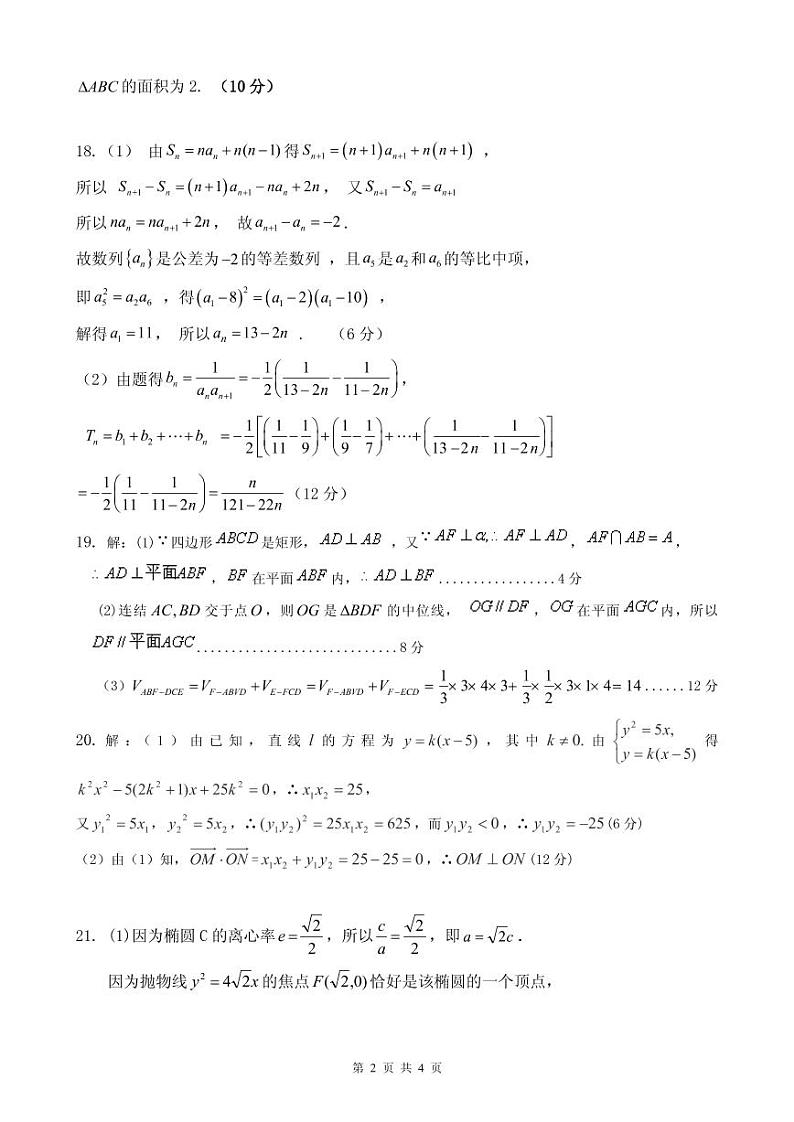
2020辽源田家炳高级中学友好学校第六十八届高三上学期期末联考数学(文)试题PDF版含答案
展开2020辽源田家炳高级中学友好学校第六十八届高一上学期期末联考数学(文)试题PDF版含答案: 这是一份2020辽源田家炳高级中学友好学校第六十八届高一上学期期末联考数学(文)试题PDF版含答案,文件包含首发吉林省辽源市田家炳高级中学友好学校第六十八届2019-2020学年高一上学期期末联考数学文答案pdf、首发吉林省辽源市田家炳高级中学友好学校第六十八届2019-2020学年高一上学期期末联考数学文试题pdf版pdf等2份试卷配套教学资源,其中试卷共6页, 欢迎下载使用。
2020辽源田家炳高级中学友好学校第六十八届高一上学期期末联考数学(理)试题PDF版含答案: 这是一份2020辽源田家炳高级中学友好学校第六十八届高一上学期期末联考数学(理)试题PDF版含答案,文件包含首发吉林省辽源市田家炳高级中学友好学校第六十八届2019-2020学年高一上学期期末联考数学理答案pdf、首发吉林省辽源市田家炳高级中学友好学校第六十八届2019-2020学年高一上学期期末联考数学理试题pdf版pdf等2份试卷配套教学资源,其中试卷共6页, 欢迎下载使用。
2020辽源田家炳高级中学友好学校第六十八届高二上学期期末联考数学(理)试题PDF版含答案: 这是一份2020辽源田家炳高级中学友好学校第六十八届高二上学期期末联考数学(理)试题PDF版含答案

