(新高考)高考数学一轮复习课件第5章§5.4《平面向量中的综合问题 培优课》(含解析)
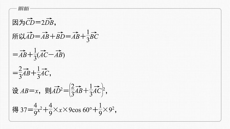
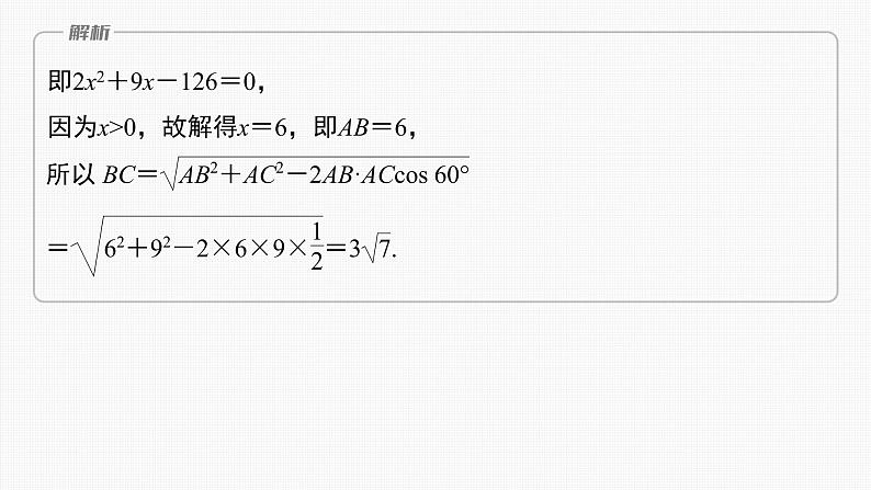
展开例1 (1)在△ABC中,AC=9,∠A=60°,D点满足则BC的长为
平面向量在几何中的应用
即2x2+9x-126=0,因为x>0,故解得x=6,即AB=6,
(2)已知平行四边形ABCD,证明:AC2+BD2=2(AB2+AD2).
∴AC2+BD2=2(AB2+AD2).
用向量方法解决平面几何问题的步骤
跟踪训练1 (1)(2020·全国Ⅲ)在平面内,A,B是两个定点,C是动点,若 =1,则点C的轨迹为A.圆 B.椭圆 C.抛物线 D.直线
建立如图所示的平面直角坐标系Oxy,设点A,B的坐标分别为(-a,0),(a,0),点C为(x,y),
=x2+y2-a2=1,整理得x2+y2=a2+1.因此点C的轨迹为圆.
则四边形ABCD为平行四边形,设m,n,p都是单位向量,m+n=p,则(m+n)2=p2,m2+2m·n+n2=p2,1+2m·n+1=1,
所以〈m,n〉=120°,
且AC是∠BAD的平分线,因此四边形ABCD是菱形,
例2 (2022·广州模拟)如图,在平行四边形ABCD中,点E是CD的中点,点F为线段BD上的一动点,若 的最大值为
和向量有关的最值(范围)问题
命题点1 与平面向量基本定理有关的最值(范围)问题
设BD,AE交于O,因为DE∥AB,
因为O,F,B三点共线,
例3 (2020·新高考全国Ⅰ)已知P是边长为2的正六边形ABCDEF内的一点,则 的取值范围是A.(-2,6) B.(-6,2)C.(-2,4) D.(-4,6)
命题点2 与数量积有关的最值(范围)问题
如图,取A为坐标原点,AB所在直线为x轴建立平面直角坐标系,
例4 已知向量a=(cs θ,sin θ),b=(- ,1),则|2a-b|的最大值为___.
命题点3 与模有关的最值(范围)问题
方法一 由题意得|a|=1,|b|=2,
所以|2a-b|2=4|a|2+|b|2-4a·b
所以|2a-b|2的最大值为8-8×(-1)=16,
方法三 由题意得|2a-b|≤2|a|+|b|=2×1+2=4,当且仅当向量a,b方向相反时不等式取等号,故|2a-b|的最大值为4.
向量求最值(范围)的常用方法(1)利用三角函数求最值(范围).(2)利用基本不等式求最值(范围).(3)建立坐标系,设变量构造函数求最值(范围).(4)数形结合,应用图形的几何性质求最值.
跟踪训练2 (1)(2022·苏州模拟)已知△ABC为等边三角形,AB=2,△ABC所在平面内的点P满足
由平面向量模的三角不等式可得
因为点E在线段AD上移动(不含端点),
KESHIJINGLIAN
因为点M在△ABC内部(包括边界),
即点P的轨迹经过△ABC的垂心.
如图,以BC所在直线为x轴,BC的垂直平分线DA为y轴,D为坐标原点建立平面直角坐标系,
4.(2022·长沙长郡中学月考)如图是某一自行车的平面结构示意图,已知图中的圆A(前轮),圆D(后轮)的半径均为 ,△ABE,△BEC,△ECD均是边长为4的等边三角形.设点P为后轮上的一点,则在骑动该自行车的过程中, 的最大值为A.18 B.24 C.36 D.48
骑行过程中,A,B,C,D,E相对不动,只有P点绕D点作圆周运动.如图,以AD所在直线为x轴,E为坐标原点建立平面直角坐标系,
圆D方程为(x-4)2+y2=3,
5.(2022·合肥模拟)P为双曲线x2-y2=1左支上任意一点,EF为圆C:(x-2)2+y2=4的任意一条直径,则 的最小值为A.3 B.4 C.5 D.9
如图,圆C的圆心C为(2,0),半径r=2,
如图分别以AB,AD所在直线为x轴、y轴,建立平面直角坐标系,设P(t,t),Q(cs θ,1+sin θ),
7.(多选)(2022·武汉调研)如图,点A,B在圆C上,则 的值A.与圆C的半径有关B.与圆C的半径无关C.与弦AB的长度有关D.与点A,B的位置有关
如图,连接AB,过C作CD⊥AB交AB于D,则D是AB的中点,
8.(多选)(2022·武汉模拟)瑞士数学家欧拉在1765年发表的《三角形的几何学》一书中有这样一个定理:三角形的外心、垂心和重心都在同一直线上,而且外心和重心间的距离是垂心和重心间的距离的一半.这个定理就是著名的欧拉线定理.设△ABC中,点O,H,G分别是外心、垂心、重心.下列四个选项中结论正确的是
对于C项,因为D为BC的中点,G为△ABC的重心,
所以△AGH∽△DGO,
9.(2022·潍坊模拟)已知正方形ABCD的边长为1, =c,则|a+b+c|=________.
方法一 根据题意作出图象,如图所示,A(-2,0),P(x,y).
点P在圆x2+y2=1上,所以x∈[-1,1].
方法二 如图所示,因为点P在圆x2+y2=1上,所以可设P(cs α,sin α)(0≤α<2π),
当且仅当cs α=1,即α=0,P(1,0)时等号成立.
在△ABC中,设角A,B,C所对的边的长为a,b,c,因为sin2C=sin2A+sin2B-sin Asin B,所以由正弦定理得c2=a2+b2-ab,
所以C=60°,因为A,P,D三点共线,
当且仅当a=3b时等号成立.
12.如图,在矩形ABCD中,AB=2,AD=1,P是矩形ABCD内的动点,且点P到点A的距离为1,则 的最小值为________.
如图,以A为坐标原点,AB边所在的直线为x轴,AD边所在的直线为y轴,建立平面直角坐标系,则D(0,1),C(2,1),
新高考数学一轮复习讲练测课件第6章§6.4数列中的构造问题[培优课] (含解析): 这是一份新高考数学一轮复习讲练测课件第6章§6.4数列中的构造问题[培优课] (含解析),共60页。PPT课件主要包含了题型一,思维升华,n+1-n-1,题型二,n-1,题型三,倒数为特殊数列,课时精练,故选项AB错误,故选项D正确等内容,欢迎下载使用。
新高考数学一轮复习讲练测课件第3章§3.4函数中的构造问题[培优课] (含解析): 这是一份新高考数学一轮复习讲练测课件第3章§3.4函数中的构造问题[培优课] (含解析),共54页。PPT课件主要包含了题型一,导数型构造函数,思维升华,3+∞,题型二,同构法构造函数,∵αβ均为锐角,课时精练,2+∞等内容,欢迎下载使用。
新高考数学一轮复习课件 第5章 §5.4 平面向量中的综合问题 培优课: 这是一份新高考数学一轮复习课件 第5章 §5.4 平面向量中的综合问题 培优课,共58页。PPT课件主要包含了课时精练等内容,欢迎下载使用。

