资料中包含下列文件,点击文件名可预览资料内容
还剩5页未读,
继续阅读
三明一中2022-2023学年上学期高三第二次月考数学试卷含解析
展开
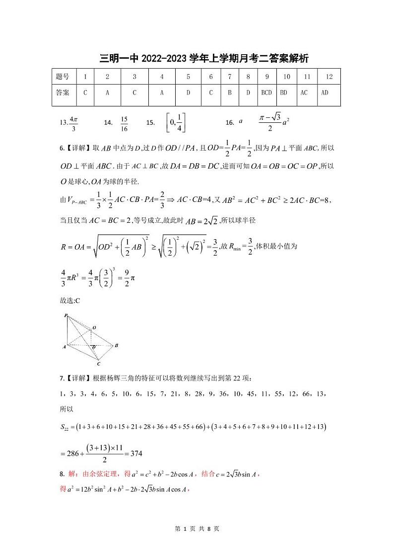
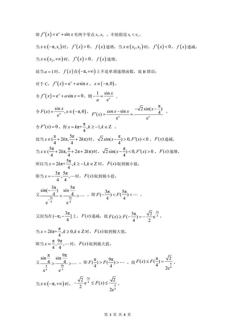
这是一份三明一中2022-2023学年上学期高三第二次月考数学试卷含解析,文件包含三明一中2022-2023学年上学期月考二高三数学科试卷解析pdf、三明一中2022-2023学年上学期月考二高三数学科试卷pdf等2份试卷配套教学资源,其中试卷共14页, 欢迎下载使用。
相关试卷
2023-2024学年辽宁省鞍山一中高三(上)第二次模拟数学试卷(含解析):
这是一份2023-2024学年辽宁省鞍山一中高三(上)第二次模拟数学试卷(含解析),共18页。试卷主要包含了单选题,多选题,填空题,解答题等内容,欢迎下载使用。
2023-2024学年福建省三明一中高三(上)月考数学试卷(12月份)(含解析):
这是一份2023-2024学年福建省三明一中高三(上)月考数学试卷(12月份)(含解析),共18页。试卷主要包含了单选题,多选题,填空题,解答题等内容,欢迎下载使用。
2023-2024学年湖南省常德一中高二(上)第二次月考数学试卷(12月份)(含解析):
这是一份2023-2024学年湖南省常德一中高二(上)第二次月考数学试卷(12月份)(含解析),共16页。试卷主要包含了单选题,多选题,填空题,解答题等内容,欢迎下载使用。

