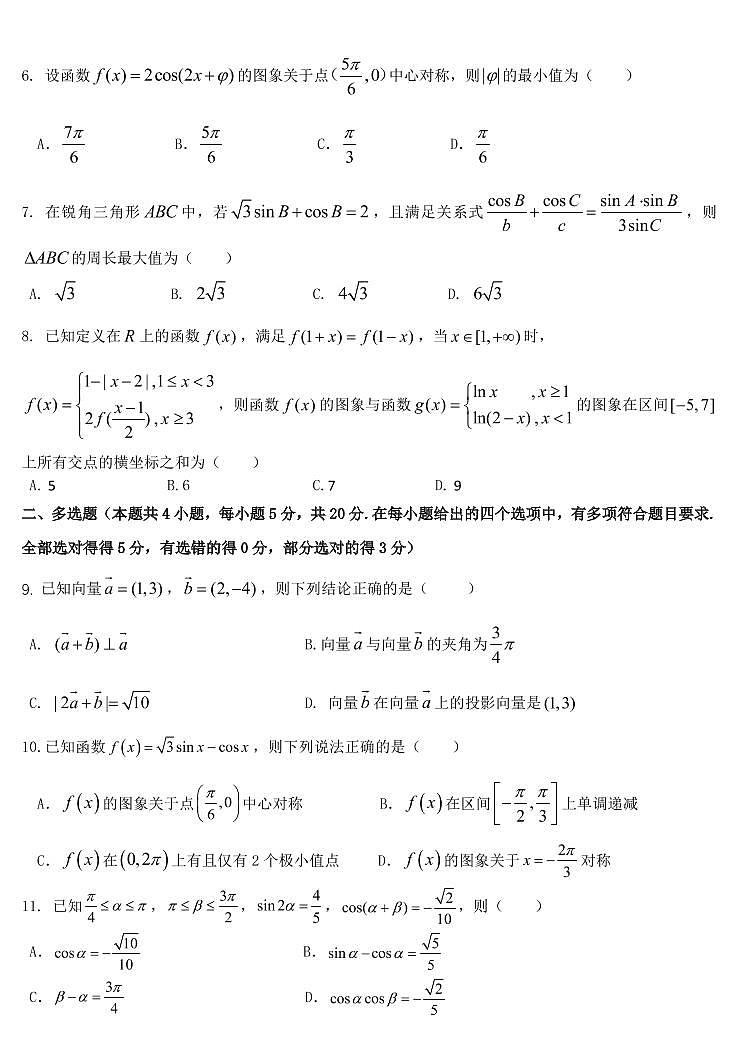
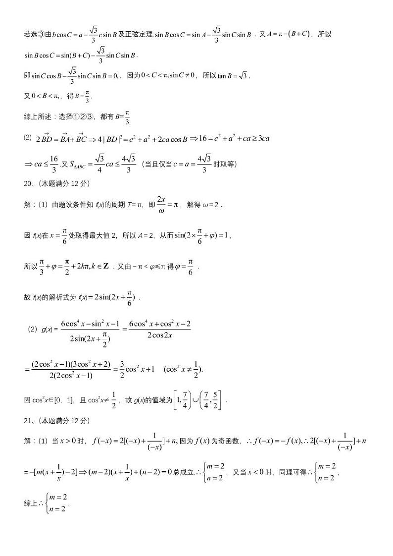
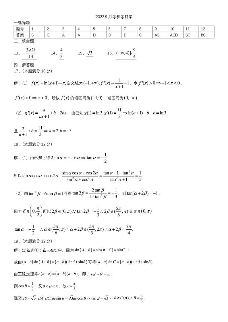
2023届黑龙江省哈尔滨师范大学附属中学高三上学期9月月考数学试题 PDF版
展开2024届黑龙江省哈尔滨市哈尔滨师范大学附属中学高三上学期10月月考数学试题含解析: 这是一份2024届黑龙江省哈尔滨市哈尔滨师范大学附属中学高三上学期10月月考数学试题含解析,共20页。试卷主要包含了单选题,多选题,填空题,解答题等内容,欢迎下载使用。
黑龙江省哈尔滨市哈尔滨师范大学附属中学2023-2024学年高三上学期10月月考数学试题: 这是一份黑龙江省哈尔滨市哈尔滨师范大学附属中学2023-2024学年高三上学期10月月考数学试题,文件包含精品解析黑龙江省哈尔滨市哈尔滨师范大学附属中学2023-2024学年高三上学期10月月考数学试题原卷版docx、精品解析黑龙江省哈尔滨市哈尔滨师范大学附属中学2023-2024学年高三上学期10月月考数学试题解析版docx等2份试卷配套教学资源,其中试卷共28页, 欢迎下载使用。
2022-2023学年黑龙江省哈尔滨师范大学附属中学高三上学期期末考试数学试题PDF版含答案: 这是一份2022-2023学年黑龙江省哈尔滨师范大学附属中学高三上学期期末考试数学试题PDF版含答案,共9页。

