高中数学人教A版 (2019)选择性必修 第一册3.3 抛物线授课ppt课件
展开
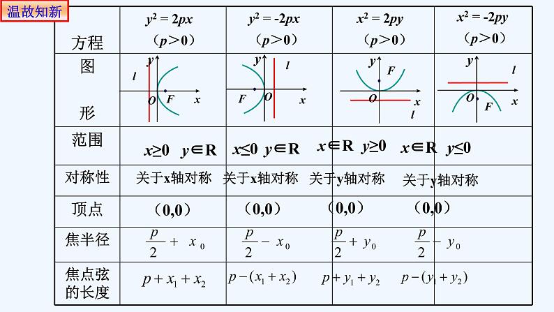
这是一份高中数学人教A版 (2019)选择性必修 第一册3.3 抛物线授课ppt课件,共13页。PPT课件主要包含了关于x轴对称,关于y轴对称,温故知新,得到一元一次方程,得到一元二次方程,相交一个交点,例题讲评,几何法代数法,巩固练习等内容,欢迎下载使用。
y2 = 2px(p>0)
y2 = -2px(p>0)
x2 = 2py(p>0)
x2 = -2py(p>0)
判断直线与抛物线位置关系的操作程序
把直线方程代入抛物线方程
直线与抛物线的对称轴平行(重合)
计 算 判 别 式
已知过抛物线 的焦点F的直线交抛物线于 两点,M是AB的中点。
(5)以AB为直径的圆与准线相切; 以AF为直径的圆与y轴相切.
例题、已知过抛物线 的焦点F的直线交抛物线于 两点,M是AB的中点
例1.已知抛物线 ,若△ABC的三个顶点都在该抛物线上,且点A的纵坐标为8, △ABC的重心恰在抛物线的焦点上,求直线BC的方程。
例3.过抛物线 的顶点O作两条互相垂直的弦交抛物线于A、B两点。(1)求证:A,B两点的横坐标之积,纵坐标之积分别为定值(2)证明:直线AB过定点;
(4)求 的面积的最小值;
(3)求AB中点M的轨迹方程;
例4.已知抛物线y=x2,动弦AB的长为2,求AB中点纵坐标的最小值。
2.已知A、B是抛物线 上两点,O为坐标原点,若 的垂心恰是此抛物线的焦点,则直线AB的方程是:( ) (A) (B) (C) (D)
相关课件
这是一份高中数学人教A版 (2019)选择性必修 第一册3.3 抛物线课文内容课件ppt,共19页。PPT课件主要包含了两个公共点,一个公共点,没有公共点,公共点个数,方程的解的个数,抛物线,或一个公共点,新知探究,题型二焦点弦问题,复习回顾等内容,欢迎下载使用。
这是一份人教A版 (2019)选择性必修 第一册3.3 抛物线评优课ppt课件,共13页。PPT课件主要包含了类比导入,知识海洋,抛物线的简单几何性质,应用探究等内容,欢迎下载使用。
这是一份高中数学人教A版 (2019)选择性必修 第一册3.3 抛物线教案配套ppt课件,共43页。

