数学必修 第一册3.3 从函数观点看一元二次方程和一元二次不等式习题课件ppt
展开培优课 巧借性质处理函数的综合问题
函数的性质是高中数学的核心内容,包括函数的定义域、值域、单调性、奇偶性、对称性等,在历年的高考中函数的性质都占有非常重要的地位.命题时常常多种性质结合在一起进行考查,难度较大,技巧性比较强.
类型一 利用函数的单调性、奇偶性比较大小
例1 已知奇函数f(x)在R上是增函数,g(x)=xf(x).若a=g(-2),b=g(1),c=g(3),则a,b,c的大小关系为( )
A.a<b<c B.c<b<a
C.b<a<c D.b<c<a
答案 C
解析 ∵f(x)是奇函数,∴f(-x)=-f(x),∴g(-x)=-x·f(-x)=xf(x)=g(x),∴g(x)为偶函数.
又f(x)在R上递增,∴当x>0时,f(x)>f(0)=0.
又x>0时,y=x>0且为增函数,
∴g(x)在(0,+∞)上为增函数.
又g(x)为偶函数,∴c=g(3)>a=g(-2)=g(2)>b=g(1).
类型二 利用奇函数、偶函数的图象解不等式
例2 设函数f(x)为奇函数,且在(-∞,0)上单调递减,若f(-2)=0,则xf(x)<0的解集为( )
A.(-1,0)∪(2,+∞)
B.(-∞,-2)∪(0,2)
C.(-∞,-2)∪(2,+∞)
D.(-2,0)∪(0,2)
答案 C
解析 ∵f(x)为奇函数,且在(-∞,0)上单调递减,又f(-2)=0,∴可画出符合条件的奇函数f(x)的图象,如图所示.
∵xf(x)<0,∴
或结合图象可知答案为C.
类型三 利用函数的奇偶性、单调性解不等式
例3 已知函数g(x)是R上的奇函数,且当x<0时,g(x)=-x2+2x,函数f(x)=若f(2-x2)>f(x),则实数x的取值范围是( )
A.(-∞,1)∪(2,+∞)
B.(-∞,-2)∪(1,+∞)
C.(1,2)
D.(-2,1)
答案 D
解析 设x>0,则-x<0,
∴g(-x)=-(-x)2+2(-x)
=-x2-2x,又g(-x)=-g(x),
∴g(x)=x2+2x.
∴f(x)=
图象如图.
显然f(x)在R上为增函数,
又f(2-x2)>f(x),∴2-x2>x,
即x2+x-2<0,∴-2<x<1.
类型四 利用函数的奇偶性、单调性求函数的最值
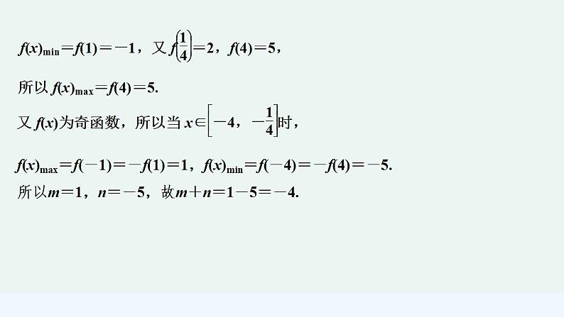
例4 已知函数f(x)为奇函数,当x>0时,f(x)=若f(x)在上的最大值为m,最小值为n,求m+n.
解 如图,
画出f(x)在(0,+∞)上的图象,
由图知,当x∈时,
f(x)min=f(1)=-1,又f=2,f(4)=5,
所以f(x)max=f(4)=5.
又f(x)为奇函数,所以当x∈时,
f(x)max=f(-1)=-f(1)=1,f(x)min=f(-4)=-f(4)=-5.
所以m=1,n=-5,故m+n=1-5=-4.
类型五 抽象函数性质的应用
例5 设函数y=f(x)是定义在(0,+∞)上的函数,并且满足下面三个条件:①对任意正数x,y,都有f(xy)=f(x)+f(y);②当x>1时,f(x)<0;③f(3)=-1.
(1)求f(1),f的值;
(2)证明:f(x)在(0,+∞)上是减函数;
(3)如果不等式f(x)+f(2-x)<2成立,求x的取值范围.
(1)解 ∵对任意正数x,y,
都有f(xy)=f(x)+f(y),
故令x=y=1,
得f(1)=f(1)+f(1),f(1)=0.
令x=y=3,又f(3)=-1,
则f(9)=f(3)+f(3)=-2,
令x=,y=9,
则有f(1)=f+f(9)=0,∴f=2.
(2)证明 任取x1,x2∈(0,+∞),
且x1<x2,则>1,f<0,f(x2)=f=f(x1)+f<f(x1),
∴f(x)在(0,+∞)上是减函数.
(3)解 由已知及(1),不等式f(x)+f(2-x)<2可化为f(2x-x2)<f,
又f(x)在(0,+∞)上是减函数,
∴解得1-<x<1+.
∴x的取值范围为.
类型六 根据函数的奇偶性、单调性求参数
例6 已知函数f(x)=是奇函数.
(1)求实数m的值;
(2)若函数f(x)在区间[-1,a-2]上单调递增,求实数a的取值范围.
解 (1)设x<0,则-x>0,
所以f(-x)=-(-x)2+2(-x)
=-x2-2x.
又f(x)为奇函数,
所以f(-x)=-f(x).
于是x<0时,f(x)=x2+2x=x2+mx,
所以m=2.
(2)要使f(x)在[-1,a-2]上单调递增,
结合f(x)的图象(图略)知
所以1<a≤3,
故实数a的取值范围是(1,3].
类型七 函数性质的综合应用
例7 已知函数f(x)=为R上的奇函数,且f(1)=.
(1)求a,b;
(2)判断f(x)在[1,+∞)上的单调性并证明;
(3)当x∈[-4,-1]时,求f(x)的最大值和最小值.
解 (1)∵f(x)为R上的奇函数,
∴f(0)=0,得b=0,
又f(1)==,∴a=1.
(2)f(x)在[1,+∞)上为减函数.
证明如下:
由(1)知f(x)=,
设任意x2>x1≥1,
则f(x2)-f(x1)=-=
==.
∵x2>x1≥1,∴x1x2-1>0,x1-x2<0,
∴f(x2)-f(x1)<0,即f(x2)<f(x1),
∴f(x)在[1,+∞)上为减函数.
(3)∵f(x)为奇函数且f(x)在[1,+∞)上是减函数,
∴f(x)在(-∞,-1]上为减函数,
又x∈[-4,-1],
∴f(x)max=f(-4)=-.
f(x)min=f(-1)=-.
【最新版】高中数学(新苏教版)习题+同步课件培优课 离心率问题: 这是一份【最新版】高中数学(新苏教版)习题+同步课件培优课 离心率问题,文件包含培优课离心率问题pptx、培优课离心率问题doc等2份课件配套教学资源,其中PPT共9页, 欢迎下载使用。
【最新版】高中数学(新苏教版)习题+同步课件培优课 借助几何性质解决圆中的最值问题: 这是一份【最新版】高中数学(新苏教版)习题+同步课件培优课 借助几何性质解决圆中的最值问题,文件包含培优课借助几何性质解决圆中的最值问题pptx、培优课借助几何性质解决圆中的最值问题doc等2份课件配套教学资源,其中PPT共19页, 欢迎下载使用。
【最新版】高中数学(新苏教版)习题+同步课件培优课 破解与指数函数、对数函数有关的复合函数问题: 这是一份【最新版】高中数学(新苏教版)习题+同步课件培优课 破解与指数函数、对数函数有关的复合函数问题,文件包含培优课破解与指数函数对数函数有关的复合函数问题pptx、培优课破解与指数函数对数函数有关的复合函数问题doc等2份课件配套教学资源,其中PPT共18页, 欢迎下载使用。

