- 高考数学二轮专题训练高考小题标准练7课件 课件 0 次下载
- 高考数学二轮专题训练高考小题标准练8课件 课件 0 次下载
- 高考数学二轮专题训练高考小题标准练10课件 课件 0 次下载
- 高考数学二轮专题训练高考小题标准练11课件 课件 0 次下载
- 高考数学二轮专题训练高考小题标准练12课件 课件 0 次下载
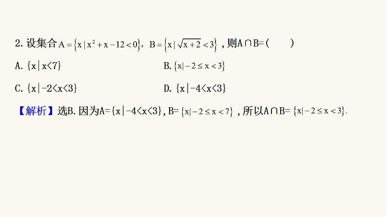
高考数学二轮专题训练高考小题标准练9课件
展开高考数学二轮专题训练高考小题标准练18课件: 这是一份高考数学二轮专题训练高考小题标准练18课件,共1页。
高考数学二轮专题训练高考小题标准练16课件: 这是一份高考数学二轮专题训练高考小题标准练16课件,共1页。
高考数学二轮专题训练高考小题标准练12课件: 这是一份高考数学二轮专题训练高考小题标准练12课件,共36页。

