2021上海市宝安区数学高考最后冲刺题
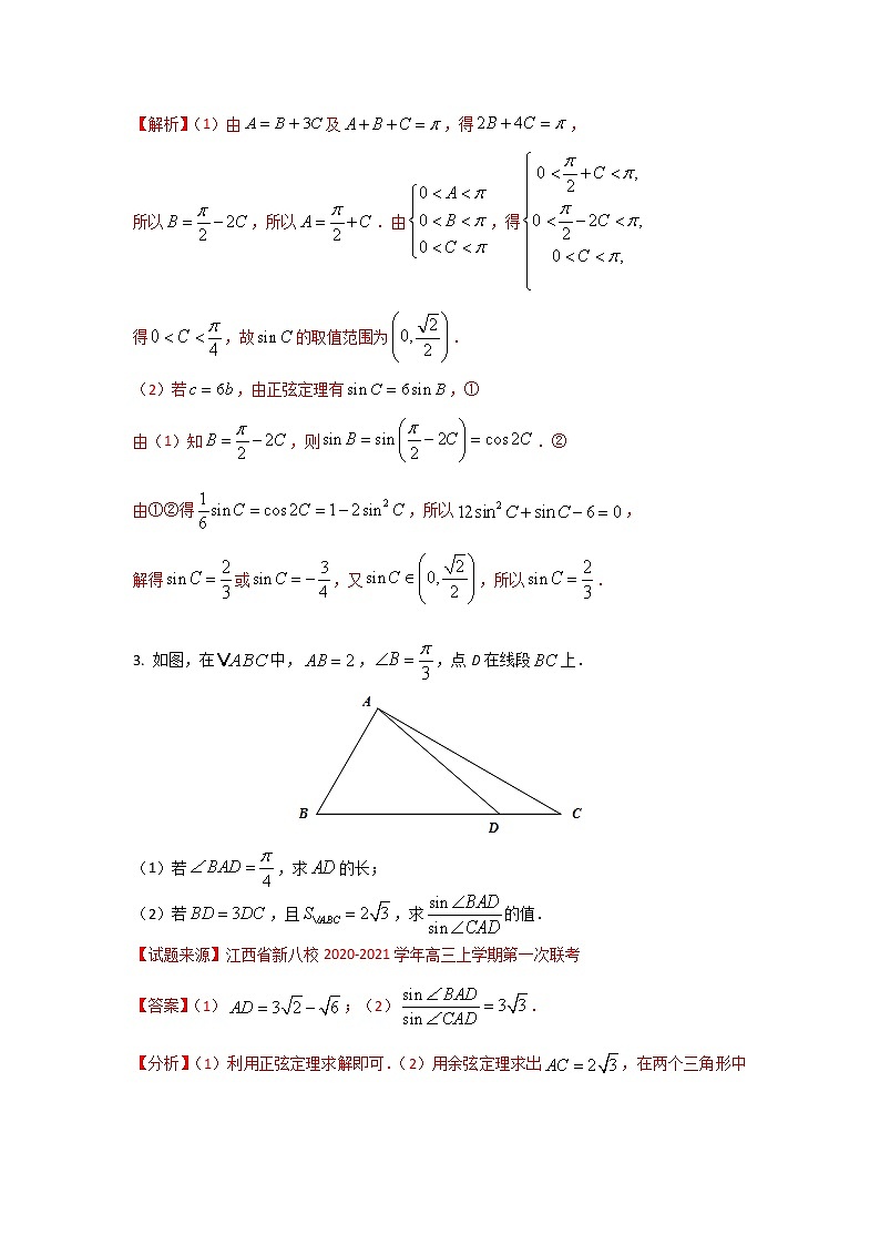
展开不等式一、单项选择1.设a,b,c,d为实数,则“a>b,c>d”是“a+c>b+d”的( )A.充分而不必要条件 B.必要而不充分条件 C.充分必要条件 D.既不充分也不必要条件2.函数y=a3-x(a>0,且a≠1)的图象恒过定点A,若点A在椭圆x2m+y2n=1(m>0,n>0)上,则m+n的最小值为A. 12 B. 14 C. 16 D. 18 3.若正实数满足,且,则下列结论正确的是A. B. C. D.4.已知a>0,b>0,向量=(a+2b,﹣9),=(8,ab),若⊥,则2a+b的最小值为( )A.9 B.8 C. D.5二、多项选择5.下列结论正确的是( )A. B.若a<b<0,则 C.若x(x﹣2)<0,则log2x∈(0,1) D.若a>0,b>0,a+b≤1,则6. 设正实数a,b满足a+b=1,则( )A.log2a+log2b≥﹣2 B.ab+ C. D.2a﹣b>7.若01,则A.ca
2023年数学高考考前最后一课课件: 这是一份2023年数学高考考前最后一课课件,共52页。PPT课件主要包含了发卷前的心理调节,选择题,审出个性,大胆猜测,速战速决,必选无疑,填空题,合理联想,必填无疑,追围堵截等内容,欢迎下载使用。
最后的叮咛,高考数学考前知识自查 82 问: 这是一份最后的叮咛,高考数学考前知识自查 82 问,共9页。
2022届高考数学冲刺课第10讲 巧解高考小题 课件: 这是一份2022届高考数学冲刺课第10讲 巧解高考小题 课件,共23页。PPT课件主要包含了中点弦模型,列举法秒杀数列,数列四大求和方法,排列组合七大解题策略,巧解高考小题,本节说明,特殊和估算值,极端和临界情况,尺规测量,特殊值估算值等内容,欢迎下载使用。

