2021届黑龙江省哈尔滨市第六中学高三上学期数学理12月月考试题答案
展开2021届黑龙江省哈尔滨市第六中学高三上学期数学理12月月考试题答案
1-12:BACAC CCDBA BA
13-16:
17.解:(1)由且得:
,所以,
又因为数列为等比数列,所以可知其首项为4,公比为2.
故,所以.
(2)由,. ,
则,,,
累加得,
.
又满足上式
18.解:(1)已知抛物线过点,且
则,∴,故抛物线的方程为;
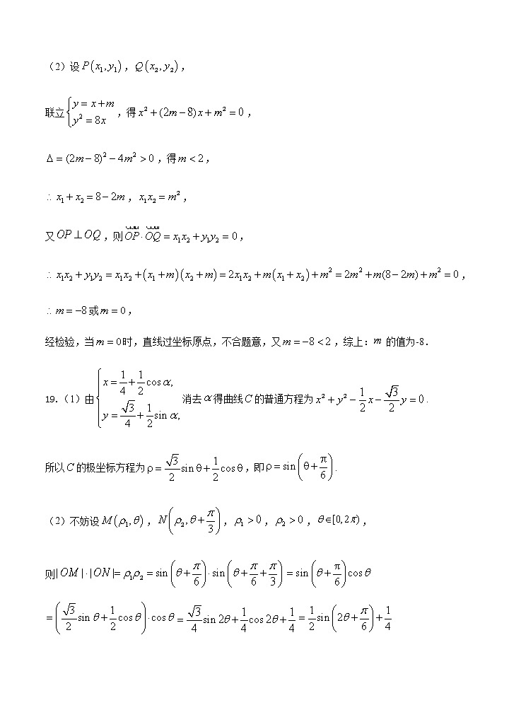
(2)设,,
联立,得,
,得,
,,
又,则,
,
或,
经检验,当时,直线过坐标原点,不合题意,又,综上:的值为-8.
19.(1)由消去得曲线的普通方程为.
所以的极坐标方程为,即.
(2)不妨设,,,,,
则
当时,取得最大值,最大值为.
20.(1)由题意,因为,,,∴,
又∴,∴,
∵侧面,∴.
又∵,,平面
∴直线平面.
(2)以为原点,分别以,和的方向为,和轴的正方向建立如图所示的空间直角坐标系,
则有,,,,
设平面的一个法向量为,,,
∵,∴,令,则,∴,
假设存在点,设,∵,,
∴,∴∴
设平面的一个法向量为,
∴,得.
即,∴或,∴或.
21.解:(1)由题意可知,,解得,,
所以,所以椭圆E的方程为.
(2) .证明B,T,C三点共线.
证明:设,,则,,
将:与,得,
从而
要证B,T,C三点共线,即证.
,得证.
22.(1)证明:当时,,则,
当时,,则,又因为,
所以当时,,仅时,,
所以在上是单调递减,所以,即.
(2),因为,所以,
①当时,恒成立,所以在上单调递增,没有极值点.
②当时,在区间上单调递增,
因为.
当时,,
所以在上单调递减,没有极值点.
当时,,所以存在,使
当时,时,
所以在处取得极小值,为极小值点.
综上可知,若函数在上存在极值点,则实数.
欢迎访问“高中试卷网”——http://sj.fjjy.org
2023-2024学年黑龙江省哈尔滨市实验中学高二上学期12月月考试题数学含答案: 这是一份2023-2024学年黑龙江省哈尔滨市实验中学高二上学期12月月考试题数学含答案,共13页。试卷主要包含了单项选择题,多项选择题,填空题,解答题等内容,欢迎下载使用。
2021届吉林省江城中学高三上学期数学理12月月考试题: 这是一份2021届吉林省江城中学高三上学期数学理12月月考试题,共4页。试卷主要包含了若集合,则,已知;,则是的条件,设,则的大小关系为,已知函数,给出下列命题等内容,欢迎下载使用。
2021届黑龙江省哈尔滨市第六中学高三上学期数学文期末考试题答案: 这是一份2021届黑龙江省哈尔滨市第六中学高三上学期数学文期末考试题答案,共2页。

