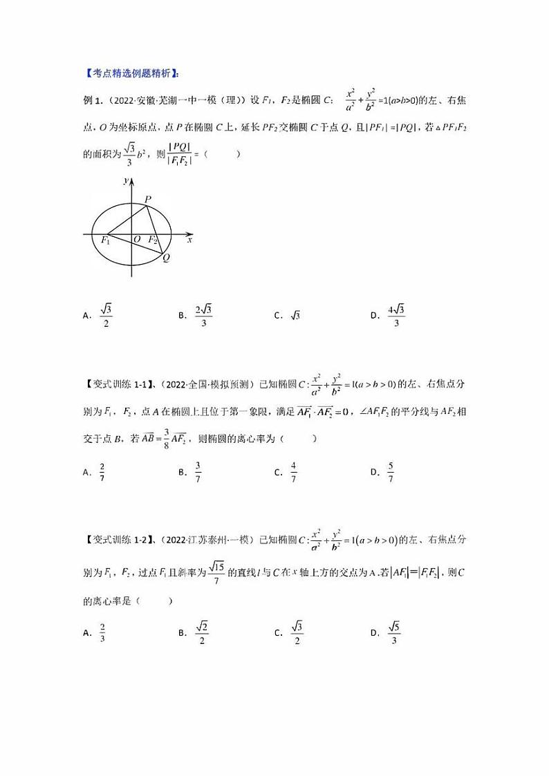
【高考总复习】2022高考数学满分突破之解析几何篇专题07 焦长与焦比体系之椭圆(学生版+教师版)
展开专题09 焦长与焦比体系之抛物线-高考数学满分突破之解析几何篇: 这是一份专题09 焦长与焦比体系之抛物线-高考数学满分突破之解析几何篇,文件包含专题09焦长与焦比体系之抛物线教师版docx、专题09焦长与焦比体系之抛物线学生版docx等2份试卷配套教学资源,其中试卷共60页, 欢迎下载使用。
专题08 焦长与焦比体系之双曲线-高考数学满分突破之解析几何篇: 这是一份专题08 焦长与焦比体系之双曲线-高考数学满分突破之解析几何篇,文件包含专题08焦长与焦比体系之双曲线教师版docx、专题08焦长与焦比体系之双曲线学生版docx等2份试卷配套教学资源,其中试卷共56页, 欢迎下载使用。
【高考总复习】2022高考数学满分突破之解析几何篇专题08 焦长与焦比体系之双曲线(学生版+教师版): 这是一份【高考总复习】2022高考数学满分突破之解析几何篇专题08 焦长与焦比体系之双曲线(学生版+教师版),共58页。

