所属成套资源:2022自治区赤峰四中高一四月月考及答案(九科)
2022自治区赤峰赤峰四中高一四月月考理科数学试卷PDF版含解析
展开
这是一份2022自治区赤峰赤峰四中高一四月月考理科数学试卷PDF版含解析,文件包含内蒙古自治区赤峰市赤峰四中2022届高一四月月考理科数学试卷解析doc、内蒙古自治区赤峰市赤峰四中2022届高一四月月考理科数学试卷PDF版无答案pdf等2份试卷配套教学资源,其中试卷共9页, 欢迎下载使用。
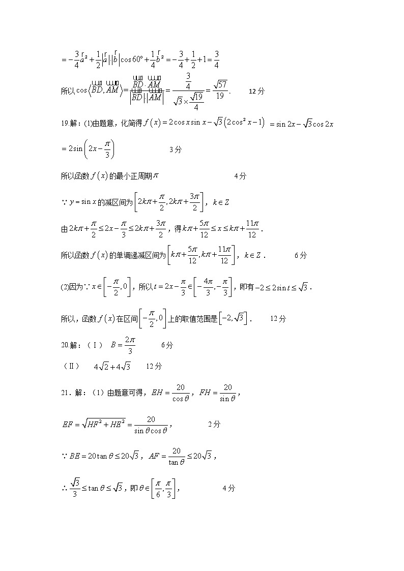
答案1-6 C C B B D A 7-12 C A A D B D 13.4 14. -1 15. 或 16.-1617.解:(1)因为,所以两边平方,可得1+2sinαcosα=,所以sinαcosα=﹣,所以=cosα(﹣sinα)=. 5分(2)由(1)可得(sinα﹣cosα)2=1﹣2sinαcosα=,又,所以sinα﹣cosα>0,可得sinα﹣cosα=, 10分18.解:(1)由题意,得; 4分(2)因为平面向量加法的平行四边形法则,且BD,AC相交于点O,M为BO中点,所以即; 8分(3)由(1),得,且,由(2),得,则,所以. 12分19.解:(1)由题意,化简得 3分所以函数的最小正周期 4分∵的减区间为,由,得.所以函数的单调递减区间为,. 6分(2)因为∵,所以,即有.所以,函数在区间上的取值范围是. 12分20.解:(Ⅰ) 6分(Ⅱ) 12分21.解:(1)由题意可得,,,, 2分∵,,∴,即, 4分故, 6分(2)设,则, 7分故,,又 9分则在上单调递减,故时,即或时,为米. 12分22.解:(1)函数,化简可得.∴. 3分(2),∴∴.令,则.那么:,可得:成立.即,∴m的最小值为.当或2时,可得,即m的最大值为3.故得实数m的最大值为3,最小值为. 7分(3)不等式恒成立,即恒成立当时,∴,.若时,显然恒成立.若时,当时,取得最小值.即成立.可得:,解得:.若时,当时,取得最小值.即成立.得:,∴.综上可得:a的范围是. 12分
相关试卷
这是一份2023-2024学年内蒙古自治区赤峰市赤峰四中高一上学期12月月考数学试题含答案,共15页。试卷主要包含了单选题,多选题,填空题,双空题,计算题,解答题,证明题等内容,欢迎下载使用。
这是一份内蒙古赤峰市赤峰第四中学2022-2023学年高二下学5月月考理科数学试题(解析版),共22页。
这是一份内蒙古赤峰二中、赤峰第四中学、红旗中学2022-2023学年高三5月模拟考试理科数学试题(含解析),共21页。试卷主要包含了单选题,填空题,双空题,解答题等内容,欢迎下载使用。

