(新高考专用)高考数学二轮热点题型归纳与变式演练 专题06 三角恒等变换与解三角形(解析+原卷)学案
展开一.考情分析
二.热点题型归纳
【题型一】三角恒等变换
【题型二】正弦定理与余弦定理解三角形
【题型三】解三角形的综合问题
三.最新模考题组练
【考情分析】
考查特点:由于新高考删除了解答题的选做题,三角函数与解三角形成为新高考全国卷六大解答题的必选内容.在命题数量上“一大二小”的趋势比较明显,主要考查三角恒等变换、解三角形,另外三角函数及解三角形题和数列题会交替处在解答题的第一题或第二题的位置上,考查难度中等,这两个题目有时会有一道题设计成“结构不良”试题.
2.关键能力:运算求解能力、逻辑思维能力、创新能力.
3.学科素养:数学抽象、逻辑推理、数学运算、数学建模.
【题型一】三角恒等变换
【题组练透】
1.(2021·山东省淄博实验中学高三一模)黄金分割比是指将整体一分为二,较大部分与整体部分的比值等于较小部分与较大部分的比值,该比值为,这是公认的最能引起美感的比例.我国著名数学家华罗庚以此引入并优化了现如今广泛应用于国内各个领域的“0.618优选法”.黄金分割比,它还可以近似表示为,则的值近似等于( )
A.B.1C.2D.
【答案】B
【解析】由题
=,故选:B.
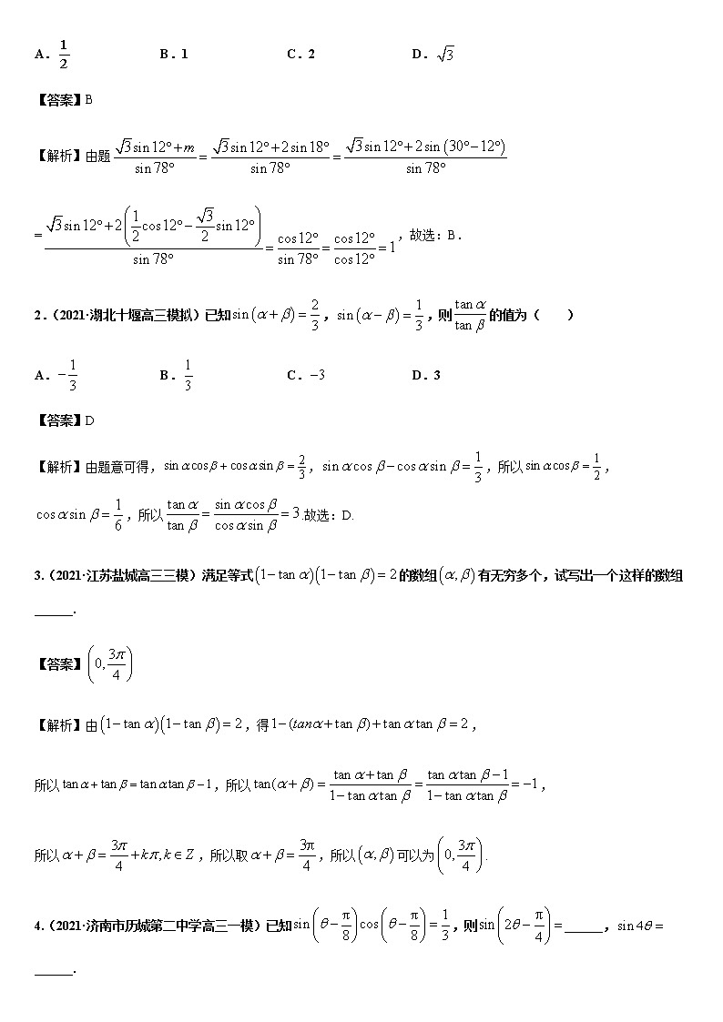
2.(2021·湖北十堰高三模拟)已知,,则的值为( )
A.B.C.D.3
【答案】D
【解析】由题意可得,,,所以,,所以.故选:D.
3.(2021·江苏盐城高三三模)满足等式的数组有无穷多个,试写出一个这样的数组______.
【答案】
【解析】由,得,
所以,所以,
所以,所以取,所以可以为.
4.(2021·济南市历城第二中学高三一模)已知,则______, ______.
【答案】
【解析】由得,故;
.
【提分秘籍】
1.三角恒等变换的基本思路:找差异,化同角(名),化简求值.
2.解决条件求值问题的三个关注点
(1)分析已知角和未知角之间的关系,正确地用已知角来表示未知角.
(2)正确地运用有关公式将所求角的三角函数值用已知角的三角函数值来表示.
(3)求解三角函数中给值求角的问题时,要根据已知求这个角的某三角函数值,然后结合角的取值范围,求出角的大小.
【题型二】正弦定理与余弦定理解三角形
【典例分析】
【典例】(2021·山东德州市·高三二模)的内角,,的对边分别是,,,且.
(1)求角的大小;
(2)若,,为边上一点,,求的值.
【解析】(1)因为,由正弦定理得,
故,所以,
因为,所以,即,因为,所以;
(2)因为,,所以,,
中,由余弦定理得,,所以,
由正弦定理得,故.
【变式探究1】本例第(1)问变条件,“”,改为“”,求求角的大小
【解析】中,由正弦定理及,
知,所以,
由余弦定理知,所以,所以,又,所以.
【变式探究2】本例第(2)问变设问,若,为边上一点,,且___,求的面积.(从①为的平分线,②为的中点,这两个条件中任选一个补充在上面的横线上并作答.
【解析】①为的平分线,,所以,
因为,所以,即,
由余弦定理得,,所以,
解得或(舍,所以的面积;
②为的中点,,则,
因为,所以,整理得,
由余弦定理得,,所以,
所以的面积.
【提分秘籍】
1.正、余弦定理的适用条件:(1)“已知两角和一边”或“已知两边和其中一边的对角”采用正弦定理解决问题;(2)“已知两边和这两边的夹角”或“已知三角形的三边”采用余弦定理解决问题.
2.关于解三角形问题,一般要用到三角形的内角和定理,正、余弦定理及有关三角形的性质和三角形的面积公式,常见的三角变换方法和原则都适用,同时要注意“三统一”,即“统一角、统一函数、统一结构”,一般地,若已知条件中的等式两边含有角的正弦、余弦或边的一次式,则考虑使用正弦定理将边化为角(或将角化为边),若含有角的余弦式或边的二次式,则考虑使用余弦定理.
【题型三】解三角形的综合问题
【典例分析】
【典例】(2021·广东深圳市·高三一模)在中,角,,所对的边分别为,,,且.
(Ⅰ)求;
(Ⅱ)若,求面积的最大值.
【解析】(Ⅰ)由正弦定理得,又,
,又,,,故在中,;
(Ⅱ)由余弦定理得:,,,面积.故面积的最大值为.
【提分秘籍】
解三角形中的最值或范围问题主要有两种解决方法:一是将问题表示为边的形式,利用基本不等式求得最大值或最小值;二是将问题用三角形某一个角的三角函数表示,结合角的范围确定最值.或范围
【变式演练】
(2021·浙江高三模拟)在中,角A,B,C的对边分别为a,b,c,设的面积为S﹐且满足.
(1)求角C的大小;
(2)求的最大值.
【解析】(1)解:由题意可知.
所以.
因为,
所以;
(2)解:由已知
.
因为,
所以即时,取最大值.
所以的最大值是.
1.(2021·山东师范大学附中高三模拟)函数的图象的一个对称中心为( )
A.B.C.D.
【答案】C
【解析】,
令,可得,则函数的图象的对称中心为,
因此函数的图象的一个对称中心为.故选:C
2.(2021·陕西宝鸡市·高三一模(理))的内角A,B,C的对边分别为a,b,c,若a,b,c成等差数列,,的面积为,则b=( )
A.B.C.D.
【答案】B
【解析】,,成等差数列,,平方得,
又的面积为,且,故由,
得,,
由余弦定理得,
解得,又为边长,,故选.
3.(2021·宁波市北仑中学高三模拟)若,则( )
A.B.C.D.
【答案】C
【解析】,,,
,.
.故选:C
4.(2021·浙江温州市·温州中学高三模拟)设锐角的内角,,的对边分别为,,,若,则的取值范围是( )
A.B.C.D.
【答案】A
【解析】由正弦定理得.
因为为锐角三角形,所以即所以,
所以,所以的取值范围是.故选:A.
5.(2021·安徽师范大学附属中学高三模拟)已知分别为内角的对边,的面积为3,则( )
A.B.C.D.
【答案】C
【解析】因为a=2,2csinA=3csCacsC,由正弦定理可得:2sinCsinAsinAcsC,
因为 故sinA≠0,所以2sinCcsC,可得:4sinC=3csC>0,
又sin2C+cs2C=1,可得,csC,sinC,∵△ABC的面积为3absinC,∴b=5,
则由余弦定理可得,,∴c.故选:C.
6.(2021·湖北十堰市·高三模拟)设的内角A,B,C的对边分别为a,b,c;已知,,则的面积的最大值为( )
A.B.C.D.
【答案】B
【解析】由,
得,由正弦定理得,得.
因为,所以.由,得,
所以,解得,当且仅当时取等号,所以.故选:B
7.(多选题)在中,角A,B,C所对的边外别为a,b,c,下列说法中正确的是( )
A.若,则
B.若,则为等腰三角形
C.
D.若,则为钝角三角形
【答案】ACD
【解析】由可知,再根据正弦定理可得,所以,故A正确;
由及正弦定理可知,即,又
所以或,可知为等腰三角形或直角三角形,故B错误;
由正弦定理知,,故C正确;
因为
,
又,故中有且只有一个角为钝角,故D正确,故选ACD
8.(多选题)(2021·山东泰安市·高三期中)设分别为△的内角的对边,下列条件中可以判定△一定为等腰三角形的有( )
A.B.
C.D.
【答案】BCD
【解析】A:,即,有或,错误;
B:,即,在三角形中必有,正确;
C:,在三角形中必有,正确;
D:,而,所以,在三角形中必有,正确;
故选BCD.
9.(2021春•湖南月考)内角,,的对边分别为,,,已知,,,则
A.B.C.D.
【答案】
【解析】因为,所以,
由正弦定理得.又,,
所以,,.
又,所以,,
所以,.
故选:.
10.(2021·北京高三二模)赵爽是我国古代数学家,大约在公元222年,他为《周髀算经》一书作序时,介绍了“赵爽弦图”——由四个全等的直角三角形与一个小正方形拼成的一个大正方形,如图1所示.类比“赵爽弦图”,可构造如图2所示的图形,它是由3个全等的三角形与中间一个小等边三角形拼成的一个大等边三角形.在中,若,则___________.
【答案】
【解析】由题意为等边三角形,则,所以
根据条件与全等,所以
在中,
所以
11.(湖南省长沙市长郡中学2021届高三下学期月考(六)数学试题)托勒密(Ptlemy)是古希腊天文学家、地理学家、数学家,托勒密定理就是由其名字命名,该定理指出:圆的内接凸四边形两对对边乘积的和等于两条对角线的乘积.已知凸四边形的四个顶点在同一个圆的圆周上,是其两条对角线,,,,则四边形的面积为_____.
【答案】9.
【解析】在中,设,由余弦定理得: ,
所以,由托勒密定理可得,
即,又,
所以四边形的面积.
12.(2021·浙江温州市·高三其他模拟)如图所示,在中,已知,D为边上的一点,且满足,则_________,__________.
【答案】
【解析】令,因为,
所以,
所以,
,
在中,由正弦定理得,
解得.
13.(山东菏泽2021届高三数学二模试题)如图,在四边形中,.求:
(1)的长度;
(2)三角形的面积.
【解析】(1)在中,由余弦定理可得:
,
则;
(2)在中,,
,
由正弦定理可得,
所以,
则.
14.(2021·江苏南通市·高三一模)在①,②,③这三个条件中任选一个,补充到下面的问题中并作答.
问题:在中,角,,的对边分别为,,,且___________.
(1)求角;
(2)若,求的取值范围.
注:如果选择多个条件分别解答,按第一个解答计分.
【解析】解法一:因为,所以,
即. 因为,所以.又,所以.
解法二:因为,所以,
即,所以.又,所以.
选择条件② :
因为,所以,
即,所以.又,所以.
选择条件③ :
因为,所以,
从而,所以.又,所以.
(2)因为,所以,从而
.
因为,所以,从而,所以的取值范围为
(新高考专用)高考数学二轮热点题型归纳与变式演练 专题04 函数与导数的综合应用(解析+原卷)学案: 这是一份(新高考专用)高考数学二轮热点题型归纳与变式演练 专题04 函数与导数的综合应用(解析+原卷)学案,文件包含新高考专用高考数学二轮热点题型归纳与变式演练专题04函数与导数的综合应用解析版docx、新高考专用高考数学二轮热点题型归纳与变式演练专题04函数与导数的综合应用原卷版docx等2份学案配套教学资源,其中学案共36页, 欢迎下载使用。
(新高考专用)高考数学二轮热点题型归纳与变式演练 专题01 函数的图象和性质(解析+原卷)学案: 这是一份(新高考专用)高考数学二轮热点题型归纳与变式演练 专题01 函数的图象和性质(解析+原卷)学案,文件包含新高考专用高考数学二轮热点题型归纳与变式演练专题01函数的图象和性质解析版docx、新高考专用高考数学二轮热点题型归纳与变式演练专题01函数的图象和性质原卷版docx等2份学案配套教学资源,其中学案共25页, 欢迎下载使用。
(新高考专用)高考数学二轮热点题型归纳与变式演练 专题15 圆锥曲线的定义、方程与性质(解析+原卷)学案: 这是一份(新高考专用)高考数学二轮热点题型归纳与变式演练 专题15 圆锥曲线的定义、方程与性质(解析+原卷)学案,文件包含新高考专用高考数学二轮热点题型归纳与变式演练专题15圆锥曲线的定义方程与性质解析版docx、新高考专用高考数学二轮热点题型归纳与变式演练专题15圆锥曲线的定义方程与性质原卷版docx等2份学案配套教学资源,其中学案共33页, 欢迎下载使用。

