所属成套资源:2022年高考数学高分突破冲刺练(全国通用)
专题22 坐标系与参数方程-2022年高考数学高分突破冲刺练(全国通用)
展开
这是一份专题22 坐标系与参数方程-2022年高考数学高分突破冲刺练(全国通用),文件包含专题22坐标系与参数方程-2022年高考数学高分突破冲刺练全国通用解析版docx、专题22坐标系与参数方程-2022年高考数学高分突破冲刺练全国通用原卷版docx等2份试卷配套教学资源,其中试卷共22页, 欢迎下载使用。
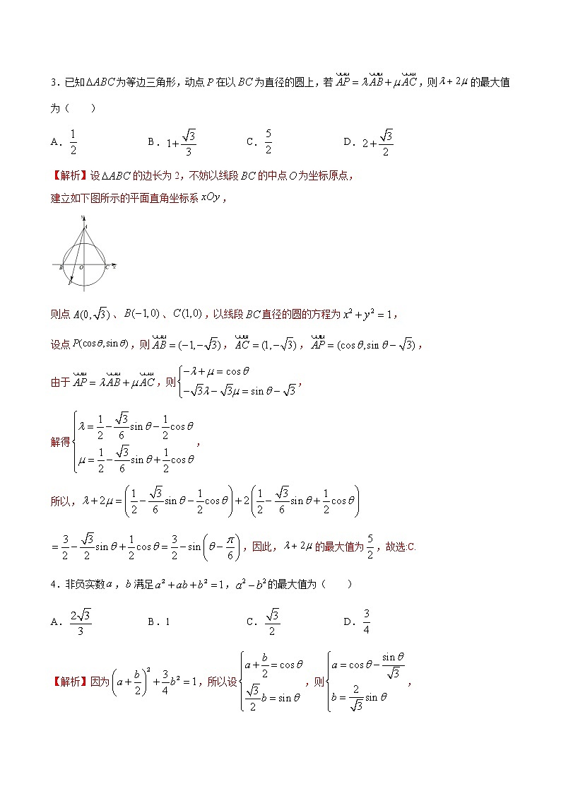
专题22 坐标系与参数方程一.选择题(在每小题给出的四个选项中,只有一项是符合题目要求的)1.已知为圆上任一点,其坐标均使得不等式恒成立,则实数m的取值范围是( )A. B. C. D.【解析】设圆上任一点P的坐标为,即,,则,即,又因为,所以得到:,则.故选:C.2.设点在椭圆上,点在直线上,则的最小值是( )A. B. C. D.2【解析】设,,则有当且仅当时取最小值,即,此时,,的最小值是,故选:D.3.已知为等边三角形,动点在以为直径的圆上,若,则的最大值为( )A. B. C. D.【解析】设的边长为2,不妨以线段的中点为坐标原点,建立如下图所示的平面直角坐标系,则点、、,以线段直径的圆的方程为,设点,则,,,由于,则,解得,所以,,因此,的最大值为,故选:C.4.非负实数,满足,的最大值为( )A. B.1 C. D.【解析】因为,所以设,则,因为,,故取,所以,因为,所以,所以,所以值域为.故选:B.5.已知圆的方程为,点是圆上的任一点,则不等式恒成立,则实数的取值范围为( )A. B. C. D.【解析】令,,,,令,则,,令,当时,,因为不等式恒成立,所以,即,解得:,所以实数的取值范围为.故选:C6.已知腰长为2的等腰直角ΔABC中,M为斜边AB的中点,点P为该平面内一动点,若,则的最小值为( )A. B. C. D.【解析】以为轴建立平面直角坐标系,则,设,则,,,,∵,∴,设,则,∴,,∴时,取得最小值。故选:C。7.,是:上两个动点,且,,到直线:的距离分别为,,则的最大值是( )A.3 B.4 C.5 D.6【解析】由题设,其中.可以由题得
≤5,此时.故选C8.已知点为椭圆上第一象限上的任意一点,点,分别为椭圆的右顶点和上顶点,直线与交于点,直线与轴交于点,则的值为( )A. B. C. D.【解析】设的坐标为 由 则直线的方程为 令时,则 即 则直线的方程为 令,则 即 故选B9.在平面直角坐标系xOy中,圆x2+y2=4上三点A(x1,y1),B(x2,y2),C(x3,y3)构成正三角形ABC,那么( )A.0 B.2 C.3 D.6【解析】因为三角形ABC为正三角形,所以设,,故,故选:D10.已知在平面直角坐标系中,以为极点,轴的正半轴为极轴,建立极坐标系.曲线的极坐标方程为,直线(为参数).若曲线的参数方程为(为参数),曲线上点的极角为,为曲线上的动点,求的中点到直线距离的最大值为( )A.2 B. C. D.【解析】将代入得,即点的极坐标为,所以其直角坐标为,即,又曲线的参数方程为,为曲线上的动点,所以可设,因此的中点的坐标为,由消去参数可得:,因此点到直线距离为:,因为,所以.故选:D.11.设,为两个平面直角坐标系,它们具有相同的原点,正方向到正方向的角度为,那么对于任意的点,在下的坐标为,那么它在坐标系下的坐标可以表示为:,.根据以上知识求得椭圆的离心率为( )A. B. C. D.【解析】,,,,则,故,可化为,方程表示为椭圆,,化简得:,代入方程得:,,,故,故选12.已知点是单位圆上的动点,点是直线上的动点,定义,则的最小值为( )A. B. C. D.【解析】过作轴,轴的垂线,垂足及其他交点如图所示,则,,由于直线的斜率是,当都在第一象限时,①取x1=x2∈[0,1]时等号成立,则y1=,y2=6﹣2x2=6﹣2x1,则|x1﹣x2|+|y1﹣y2|=|y1﹣y2|=,令x1=cos(∈[0,]),则|y1﹣y2|=6﹣2cos﹣sin=6﹣(+)≥6﹣;②取y1=y2∈[0,1] 时等号成立,则x1=,x2=3﹣=3﹣.则|x1﹣x2|+|y1﹣y2|=|x1﹣x2|=,令y1=sin(∈[0,]),则|x1﹣x2|=3﹣﹣cos=3﹣sin(+)≥3.当中至少有一个点不在第一象限时,明显的取值会比都在第一象限时大,综上可得:|x1﹣x2|+|y1﹣y2|的最小值是3.故选:A.二.填空题13.正方形中,点在以为圆心且与直线相切的圆上运动,若(其中,),则的取值范围是______.【解析】设正方形ABCD的边长为2,以点A为坐标原点,AB、AD所在直线分别为x,y轴建立如下图所示平面直角坐标系,则点、、、,直线的方程为,即,点到直线的距离为,则以点为圆心且与直线相切的圆的方程为,设点的坐标为,由,得,,所以,,所以的取值范围是.14.已知,当ab取得最小值时,曲线上的点到直线的距离的取值范围是________【解析】由题有,因为,故,当且仅当时取,因为,解得.故曲线方程为.故方程为: ,画出图像有故为双曲线与的渐近线方程.易得曲线上的点到直线的距离.最大值时设椭圆上的点.此时 ,当时取最大值为.点到直线的距离的取值范围是15.已知圆,圆,直线分别过圆心,且与圆相交于两点,与圆相交于两点,点是椭圆上任意一点,则的最小值为___________;【解析】由题意可设:,,则,,同理可得:当时,16.若,则的最小值为___________.【解析】设,,所以,所以,其中满足,所以,所以,所以,即,所以,所以的最小值为.三.解答题(解答应写出文字说明、证明过程或演算步骤)17.在直角坐标系中,直线的参数方程为(为参数).以坐标原点为极点,轴的正半轴为极轴建立极坐标系,半圆的极坐标方程为.(1)求半圆的参数方程和直线的直角坐标方程;(2)直线与轴交于点,与轴交于点,点在半圆上,且直线的倾斜角是直线的倾斜角的倍,的面积为,求的值.【解析】(1)半圆的参数方程为(其中为参数,),直线的直角坐标方程为.(2)由题意可知,可设,其中所以点到直线的距离为:,又,.三角形的面积.,又,.18.在平面直角坐标系中,曲线的参数方程为,为参数).以坐标原点为极点,轴的正半轴为极轴建立极坐标系,曲线的直角坐标方程为.(1)求曲线的普通方程和直线的极坐标方程;(2)射线,和曲线分别交于点,,与直线分别交于,两点,求四边形的面积.【解析】(1)曲线的参数方程为,为参数),转换为直角坐标方程为.曲线的直角坐标方程为,根据,整理得,即.(2)射线,和曲线分别交于点,,与直线分别交于,两点,如图所示:所以直线的直角坐标方程为,直线的直线方程为,所以,解得,设直线与轴交于点,将代入,得,即.所以.同理:,解得:,所以,所以.19.在直角坐标系中,以坐标原点为极点,x轴的正半轴为极轴建立极坐标系,曲线的参数方程为为参数,曲线上的点的极坐标分别为.(1)过O作线段的垂线,垂足为H,求点H的轨迹的直角坐标方程;(2)求两点间的距离的取值范围.【解析】(1)因为曲线的参数方程为所以曲线的普通方程为. 因为曲线上的点的极坐标分别为,所以点的直角坐标分别为, 代入曲线的方程得,所以,所以两个式子相加得. 由题意可知,所以,所以点H的轨迹是圆, 所以点H的轨迹的方程为. (2)两点间的距离为,设,则, 令函数, 所以,所以在区间上是减函数,在区间上是增函数. 又,所以函数的最大值为13,最小值为, 所以两点间的距离的取值范围是.20.平面直角坐标系中,已知F为椭圆的右焦点,且,过F作两条互相垂直的直线交椭圆分别于A、B与C、D,以F为极点,轴正半轴为极轴建立极坐标系.(1)求椭圆的极坐标方程与的代数表达式;(2)求的取值范围.【解析】由已知,(1)设,,,以右焦点F为极点,轴正半轴为极轴建立极坐标系,则椭圆的极坐标方程为,即,其中.设,则,所以,,即,(2)由(1)得,因为,所以且,解得.记,,,当时,,是增函数,所以.即.21.如图,椭圆的两条弦,满足,记直线与直线交于P点.(1)求的最大值;(2)若P点在抛物线上,求四边形面积的最大值.【解析】(1)设,则,则,则,,当取时取到等号,所以的最大值为6;(2)经过坐标变换可得到上图,则新的抛物线解析式, 记四边形面积得面积为,由,取的中点H,作,设,设,则,且,则.由于,则在内,有,得.设,则,且,得,故,记,由于,则的最大值在时取到,此时.22.已知点()为平面直角坐标系中的点,点S为线段AB的中点,当变化时,点S形成轨迹.(1)求S点的轨迹的方程;(2)若点M的坐标为,是否存在直线交S点的轨迹于P、Q两点,且使点为的垂心?若存在,求出直线的方程;若不存在,请说明理由.【解析】(1)设,因为点为的中点,则(),消去得到点的轨迹方程为; (5分)(2)假设存在直线交椭圆于,两点,设,因为为△的垂心,点,故.于是设直线的方程为,由得.由,得, 且,.由题意应有,又,故,得,即,整理得,解得或.经检验,当时,△不存在,故舍去,当时,满足,所求直线存在,的方程为.
相关试卷
这是一份专题13 空间几何体的体积-2022年高考数学高分突破冲刺练(全国通用),文件包含专题13空间几何体的体积-2022年高考数学高分突破冲刺练全国通用解析版docx、专题13空间几何体的体积-2022年高考数学高分突破冲刺练全国通用原卷版docx等2份试卷配套教学资源,其中试卷共30页, 欢迎下载使用。
这是一份专题23 不等式证明解答题专练-2022年高考数学高分突破冲刺练(全国通用),文件包含专题23不等式证明解答题专练-2022年高考数学高分突破冲刺练全国通用解析版docx、专题23不等式证明解答题专练-2022年高考数学高分突破冲刺练全国通用原卷版docx等2份试卷配套教学资源,其中试卷共28页, 欢迎下载使用。
这是一份专题18 圆锥曲线中的定点问题-2022年高考数学高分突破冲刺练(全国通用),文件包含专题18圆锥曲线中的定点问题-2022年高考数学高分突破冲刺练全国通用解析版docx、专题18圆锥曲线中的定点问题-2022年高考数学高分突破冲刺练全国通用原卷版docx等2份试卷配套教学资源,其中试卷共22页, 欢迎下载使用。

