湘教版七年级下册第3章 因式分解综合与测试习题课件ppt
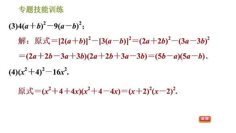
展开专题技能训练(三) 训练 因式分解的常用方法第3章 因式分解答案显示见习题见习题见习题AD见习题见习题见习题AD(x-2)(x-3)±9,±6
湘教版七年级下册第5章 轴对称与旋转综合与测试习题ppt课件: 这是一份湘教版七年级下册第5章 轴对称与旋转综合与测试习题ppt课件,共16页。PPT课件主要包含了见习题,MPQN,答案显示,答案D等内容,欢迎下载使用。
初中数学第2章 整式的乘法综合与测试习题课件ppt: 这是一份初中数学第2章 整式的乘法综合与测试习题课件ppt,共19页。PPT课件主要包含了答案显示,见习题,a2-ab+b2,a3-b3等内容,欢迎下载使用。
数学第3章 图形与坐标综合与测试习题ppt课件: 这是一份数学第3章 图形与坐标综合与测试习题ppt课件,共24页。PPT课件主要包含了答案显示,答案D,答案B,答案A等内容,欢迎下载使用。

