高考数学(理数)二轮复习课时跟踪检测02《三角函数的图象与性质》小题练(教师版)
展开一、选择题
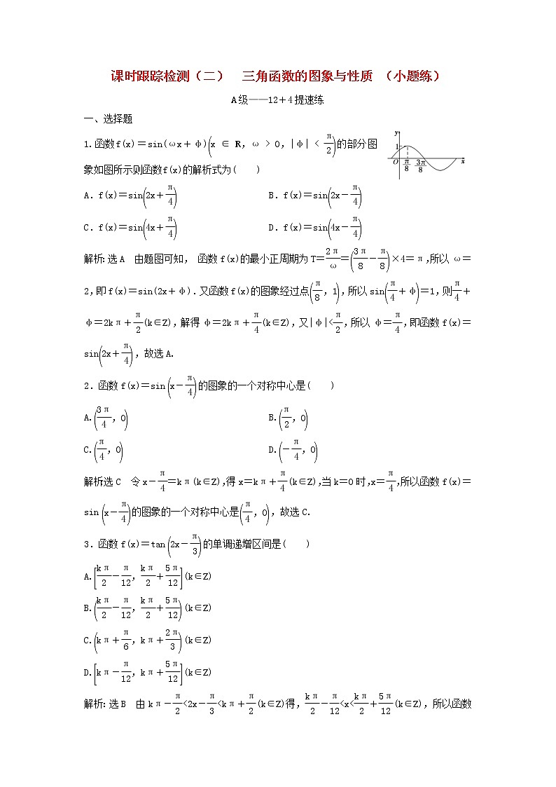
1.函数f(x)=sin(ωx+φ)eq \b\lc\(\rc\)(\a\vs4\al\c1(x∈R,ω>0,|φ|<\f(π,2)))的部分图象如图所示,则函数f(x)的解析式为( )
A.f(x)=sineq \b\lc\(\rc\)(\a\vs4\al\c1(2x+\f(π,4))) B.f(x)=sineq \b\lc\(\rc\)(\a\vs4\al\c1(2x-\f(π,4)))
C.f(x)=sineq \b\lc\(\rc\)(\a\vs4\al\c1(4x+\f(π,4))) D.f(x)=sineq \b\lc\(\rc\)(\a\vs4\al\c1(4x-\f(π,4)))
解析:选A 由题图可知, 函数f(x)的最小正周期为T=eq \f(2π,ω)=eq \b\lc\(\rc\)(\a\vs4\al\c1(\f(3π,8)-\f(π,8)))×4=π,所以ω=2,即f(x)=sin(2x+φ).又函数f(x)的图象经过点eq \b\lc\(\rc\)(\a\vs4\al\c1(\f(π,8),1)),所以sineq \b\lc\(\rc\)(\a\vs4\al\c1(\f(π,4)+φ))=1,则eq \f(π,4)+φ=2kπ+eq \f(π,2)(k∈Z),解得φ=2kπ+eq \f(π,4)(k∈Z),又|φ|
A.eq \b\lc\(\rc\)(\a\vs4\al\c1(\f(3π,4),0)) B.eq \b\lc\(\rc\)(\a\vs4\al\c1(\f(π,2),0))
C.eq \b\lc\(\rc\)(\a\vs4\al\c1(\f(π,4),0)) D.eq \b\lc\(\rc\)(\a\vs4\al\c1(-\f(π,4),0))
解析:选C 令x-eq \f(π,4)=kπ(k∈Z),得x=kπ+eq \f(π,4)(k∈Z),当k=0时,x=eq \f(π,4),所以函数f(x)=sineq \b\lc\(\rc\)(\a\vs4\al\c1(x-\f(π,4)))的图象的一个对称中心是eq \b\lc\(\rc\)(\a\vs4\al\c1(\f(π,4),0)),故选C.
3.函数f(x)=taneq \b\lc\(\rc\)(\a\vs4\al\c1(2x-\f(π,3)))的单调递增区间是( )
A.eq \b\lc\[\rc\](\a\vs4\al\c1(\f(kπ,2)-\f(π,12),\f(kπ,2)+\f(5π,12)))(k∈Z)
B.eq \b\lc\(\rc\)(\a\vs4\al\c1(\f(kπ,2)-\f(π,12),\f(kπ,2)+\f(5π,12)))(k∈Z)
C.eq \b\lc\(\rc\)(\a\vs4\al\c1(kπ+\f(π,6),kπ+\f(2π,3)))(k∈Z)
D.eq \b\lc\[\rc\](\a\vs4\al\c1(kπ-\f(π,12),kπ+\f(5π,12)))(k∈Z)
解析:选B 由kπ-eq \f(π,2)<2x-eq \f(π,3)
A.y=sin x-2cs x B.y=2sin x-cs x
C.y=-sin x+2cs x D.y=-2sin x-cs x
解析:选D 因为y=2sin x+cs x=eq \r(5)sin(x+θ),其中θ满足cs θ=eq \f(2,\r(5)),sin θ=eq \f(1,\r(5)),所以函数y=2sin x+cs x的周期为2π,所以eq \f(1,2)个周期为π.于是由题设知平移后所得图象对应的函数为y=2sin(x-π)+cs(x-π)=-2sin x-cs x.故选D.
5.若将函数f(x)=eq \f(1,2)sineq \b\lc\(\rc\)(\a\vs4\al\c1(2x+\f(π,3)))图象上的每一个点都向左平移eq \f(π,3)个单位长度,得到g(x)的图象,则函数g(x)的单调递增区间为( )
A.eq \b\lc\[\rc\](\a\vs4\al\c1(kπ+\f(π,4),kπ+\f(3π,4)))(k∈Z)
B.eq \b\lc\[\rc\](\a\vs4\al\c1(kπ-\f(π,4),kπ+\f(π,4)))(k∈Z)
C.eq \b\lc\[\rc\](\a\vs4\al\c1(kπ-\f(2π,3),kπ-\f(π,6)))(k∈Z)
D.eq \b\lc\[\rc\](\a\vs4\al\c1(kπ-\f(π,12),kπ+\f(5π,12)))(k∈Z)
解析:选A 将函数f(x)=eq \f(1,2)sineq \b\lc\(\rc\)(\a\vs4\al\c1(2x+\f(π,3)))图象上的每一个点都向左平移eq \f(π,3)个单位长度,得到函数g(x)=eq \f(1,2)sineq \b\lc\[\rc\](\a\vs4\al\c1(2\b\lc\(\rc\)(\a\vs4\al\c1(x+\f(π,3)))+\f(π,3)))=eq \f(1,2)sineq \b\lc\(\rc\)(\a\vs4\al\c1(2x+π))=-eq \f(1,2)sin 2x的图象,令eq \f(π,2)+2kπ≤2x≤eq \f(3π,2)+2kπ(k∈Z),可得eq \f(π,4)+kπ≤x≤eq \f(3π,4)+kπ(k∈Z),因此函数g(x)的单调递增区间为eq \b\lc\[\rc\](\a\vs4\al\c1(kπ+\f(π,4),kπ+\f(3π,4)))(k∈Z),故选A.
6.把函数y=sineq \b\lc\(\rc\)(\a\vs4\al\c1(2x-\f(π,6)))的图象向左平移eq \f(π,6)个单位长度后,所得函数图象的一条对称轴的方程为( )
A.x=0 B.x=eq \f(π,2)
C.x=eq \f(π,6) D.x=-eq \f(π,12)
解析:选C 将函数y=sineq \b\lc\(\rc\)(\a\vs4\al\c1(2x-\f(π,6)))的图象向左平移eq \f(π,6)个单位长度后得到y=sineq \b\lc\[\rc\](\a\vs4\al\c1(2\b\lc\(\rc\)(\a\vs4\al\c1(x+\f(π,6)))-\f(π,6)))=sineq \b\lc\(\rc\)(\a\vs4\al\c1(2x+\f(π,6)))的图象,令2x+eq \f(π,6)=eq \f(π,2)+kπ(k∈Z),得x=eq \f(π,6)+eq \f(kπ,2)(k∈Z),令k=0,则x=eq \f(π,6),选C.
7.已知函数f(x)=sin x+eq \r(3)cs x在x=θ时取得最大值,则cseq \b\lc\(\rc\)(\a\vs4\al\c1(2θ+\f(π,4)))=( )
A.-eq \f(\r(2)+\r(6),4) B.-eq \f(1,2)
C.eq \f(\r(2)-\r(6),4) D.eq \f(\r(3),2)
解析:选C ∵f(x)=sin x+eq \r(3)cs x=2sineq \b\lc\(\rc\)(\a\vs4\al\c1(x+\f(π,3))),又f(x)在x=θ时取得最大值,∴θ+eq \f(π,3)=eq \f(π,2)+2kπ(k∈Z),即θ=eq \f(π,6)+2kπ(k∈Z),于是cseq \b\lc\(\rc\)(\a\vs4\al\c1(2θ+\f(π,4)))=cseq \b\lc\(\rc\)(\a\vs4\al\c1(\f(π,3)+\f(π,4)+4kπ))=cseq \b\lc\(\rc\)(\a\vs4\al\c1(\f(π,3)+\f(π,4)))=eq \f(1,2)×eq \f(\r(2),2)-eq \f(\r(3),2)×eq \f(\r(2),2)=eq \f(\r(2)-\r(6),4),故选C.
8.函数f(x)=sin ωx(ω>0)的图象向右平移eq \f(π,12)个单位长度得到函数y=g(x)的图象,并且函数g(x)在区间eq \b\lc\[\rc\](\a\vs4\al\c1(\f(π,6),\f(π,3)))上单调递增,在区间eq \b\lc\[\rc\](\a\vs4\al\c1(\f(π,3),\f(π,2)))上单调递减,则实数ω的值为( )
A.eq \f(7,4) B.eq \f(3,2)
C.2 D.eq \f(5,4)
解析:选C 因为将函数f(x)=sin ωx(ω>0)的图象向右平移eq \f(π,12)个单位长度得到函数y=g(x)的图象,所以g(x)=sineq \b\lc\[\rc\](\a\vs4\al\c1(ω\b\lc\(\rc\)(\a\vs4\al\c1(x-\f(π,12))))),又函数g(x)在区间eq \b\lc\[\rc\](\a\vs4\al\c1(\f(π,6),\f(π,3)))上单调递增,在区间eq \b\lc\[\rc\](\a\vs4\al\c1(\f(π,3),\f(π,2)))上单调递减,所以geq \b\lc\(\rc\)(\a\vs4\al\c1(\f(π,3)))=sineq \f(ωπ,4)=1且eq \f(2π,ω)≥eq \f(π,3),所以eq \b\lc\{\rc\ (\a\vs4\al\c1(ω=8k+2k∈Z,,0<ω≤6,))所以ω=2,故选C.
9.将函数y=cs x-sin x的图象先向右平移φ(φ>0)个单位长度,再将所得的图象上每个点的横坐标变为原来的a倍,得到y=cs 2x+sin 2x的图象,则φ,a的可能取值为( )
A.φ=eq \f(π,2),a=2 B.φ=eq \f(3π,8),a=2
C.φ=eq \f(3π,8),a=eq \f(1,2) D.φ=eq \f(π,2),a=eq \f(1,2)
解析:选D 将函数y=cs x-sin x=eq \r(2)cseq \b\lc\(\rc\)(\a\vs4\al\c1(x+\f(π,4)))的图象向右平移φ(φ>0)个单位长度,可得y=eq \r(2)cseq \b\lc\(\rc\)(\a\vs4\al\c1(x+\f(π,4)-φ))的图象,再将函数图象上每个点的横坐标变为原来的a倍,得到y=eq \r(2)cseq \b\lc\(\rc\)(\a\vs4\al\c1(\f(1,a)x+\f(π,4)-φ))的图象,又y=eq \r(2)cseq \b\lc\(\rc\)(\a\vs4\al\c1(\f(1,a)x+\f(π,4)-φ))=cs 2x+sin 2x=eq \r(2)cseq \b\lc\(\rc\)(\a\vs4\al\c1(2x-\f(π,4))),∴eq \f(1,a)=2,eq \f(π,4)-φ=-eq \f(π,4)+2kπ(k∈Z),∴a=eq \f(1,2),φ=eq \f(π,2)+2kπ(k∈N),又φ>0,结合选项知选D.
10.若存在正整数ω和实数φ使得函数f(x)=sin2(ωx+φ)的图象如图所示(图象经过点(1,0)),那么ω的值为( )
A.1 B.2
C.3 D.4
解析:选B 由f(x)=sin2(ωx+φ)=eq \f( (1-cs2ωx+2φ),2)及其图象知,eq \f(1,2)
11.已知函数f(x)=sineq \b\lc\(\rc\)(\a\vs4\al\c1(2x+\f(π,3))),以下命题中为假命题的是( )
A.函数f(x)的图象关于直线x=eq \f(π,12)对称
B.x=-eq \f(π,6)是函数f(x)的一个零点
C.函数f(x)的图象可由g(x)=sin 2x的图象向左平移eq \f(π,3)个单位长度得到
D.函数f(x)在eq \b\lc\[\rc\](\a\vs4\al\c1(0,\f(π,12)))上是增函数
解析:选C 令2x+eq \f(π,3)=kπ+eq \f(π,2)(k∈Z),当k=0时,x=eq \f(π,12),即函数f(x)的图象关于直线x=eq \f(π,12)对称,选项A正确;令2x+eq \f(π,3)=kπ(k∈Z),当k=0时,x=-eq \f(π,6),即x=-eq \f(π,6)是函数f(x)的一个零点,选项B正确;2x+eq \f(π,3)=2eq \b\lc\(\rc\)(\a\vs4\al\c1(x+\f(π,6))),故函数f(x)的图象可由g(x)=sin 2x的图象向左平移eq \f(π,6)个单位长度得到,选项C错误;若x∈eq \b\lc\[\rc\](\a\vs4\al\c1(0,\f(π,12))),则2x+eq \f(π,3)∈eq \b\lc\[\rc\](\a\vs4\al\c1(\f(π,3),\f(π,2))),故f(x)在eq \b\lc\[\rc\](\a\vs4\al\c1(0,\f(π,12)))上是增函数,选项D正确.故选C.
12.已知函数f(x)=sineq \b\lc\(\rc\)(\a\vs4\al\c1(ωx-\f(π,6)))(ω>0),若f(0)=-feq \b\lc\(\rc\)(\a\vs4\al\c1(\f(π,2)))且f(x)在eq \b\lc\(\rc\)(\a\vs4\al\c1(0,\f(π,2)))上有且仅有三个零点,则ω=( )
A.eq \f(2,3) B.2
C.eq \f(26,3) D.eq \f(14,3)或6
解析:选D f(0)=sineq \b\lc\(\rc\)(\a\vs4\al\c1(-\f(π,6)))=-eq \f(1,2),
令ωx1-eq \f(π,6)=0得,x1=eq \f(π,6ω),而eq \f(\f(π,6ω),T)=eq \f(\f(π,6ω),\f(2π,ω))=eq \f(1,12),故x1=eq \f(T,12).
又f(0)=-feq \b\lc\(\rc\)(\a\vs4\al\c1(\f(π,2))),如图,若f(x)在eq \b\lc\(\rc\)(\a\vs4\al\c1(0,\f(π,2)))上有且仅有3个零点,
则eq \f(π,2)=T+eq \f(T,12)×2或eq \f(π,2)=eq \f(3T,2),即T=eq \f(3π,7)或T=eq \f(π,3),则ω=eq \f(14,3)或6,故选D.
二、填空题
13.函数f(x)=4cs xsineq \b\lc\(\rc\)(\a\vs4\al\c1(x+\f(π,6)))-1(x∈R)的最大值为________.
解析:∵f(x)=4cs xsineq \b\lc\(\rc\)(\a\vs4\al\c1(x+\f(π,6)))-1=4cs xeq \b\lc\(\rc\)(\a\vs4\al\c1(\f(\r(3),2)sin x+\f(1,2)cs x))-1=2eq \r(3)sin xcs x+2cs2x-1=eq \r(3)sin 2x+cs 2x=2sineq \b\lc\(\rc\)(\a\vs4\al\c1(2x+\f(π,6))),∴f(x)max=2.
答案:2
14.函数f(x)=sin2x+eq \r(3)sin xcs x在区间eq \b\lc\[\rc\](\a\vs4\al\c1(\f(π,4),\f(π,2)))上的最小值为________.
解析: 由函数f(x)=sin2x+eq \r(3)sin xcs x=eq \f(1,2)-eq \f(1,2)cs 2x+eq \f(\r(3),2)sin 2x=sineq \b\lc\(\rc\)(\a\vs4\al\c1(2x-\f(π,6)))+eq \f(1,2).
∵x∈eq \b\lc\[\rc\](\a\vs4\al\c1(\f(π,4),\f(π,2))),∴2x-eq \f(π,6)∈eq \b\lc\[\rc\](\a\vs4\al\c1(\f(π,3),\f(5π,6))).
当2x-eq \f(π,6)=eq \f(5π,6)时,函数f(x)取得最小值为1.
答案:1
15.若函数f(x)=2sineq \b\lc\(\rc\)(\a\vs4\al\c1(ωx+\f(π,4)))(ω>0)的图象的对称轴与函数g(x)=cs(2x+φ)eq \b\lc\(\rc\)(\a\vs4\al\c1(|φ|<\f(π,2)))的图象的对称轴完全相同,则φ=________.
解析:因为函数f(x)=2sineq \b\lc\(\rc\)(\a\vs4\al\c1(ωx+\f(π,4)))(ω>0)的图象的对称轴与函数g(x)=cs(2x+φ)eq \b\lc\(\rc\)(\a\vs4\al\c1(|φ|<\f(π,2)))的图象的对称轴完全相同,故它们的最小正周期相同,即eq \f(2π,ω)=eq \f(2π,2),所以ω=2,故函数f(x)=2sineq \b\lc\(\rc\)(\a\vs4\al\c1(2x+\f(π,4))).令2x+eq \f(π,4)=kπ+eq \f(π,2),k∈Z,则x=eq \f(kπ,2)+eq \f(π,8),k∈Z,故函数f(x)的图象的对称轴为x=eq \f(kπ,2)+eq \f(π,8),k∈Z.令2x+φ=mπ,m∈Z,则x=eq \f(mπ,2)-eq \f(φ,2),m∈Z,故函数g(x)的图象的对称轴为x=eq \f(mπ,2)-eq \f(φ,2),m∈Z,故eq \f(kπ,2)+eq \f(π,8)-eq \f(mπ,2)+eq \f(φ,2)=eq \f(nπ,2),m,n,k∈Z,即φ=(m+n-k)π-eq \f(π,4),m,n,k∈Z,又|φ|
16.设函数f(x)=Asin(ωx+φ)(A>0,ω>0).若函数f(x)在区间eq \b\lc\[\rc\](\a\vs4\al\c1(\f(π,6),\f(π,2)))上具有单调性,且feq \b\lc\(\rc\)(\a\vs4\al\c1(\f(π,2)))=feq \b\lc\(\rc\)(\a\vs4\al\c1(\f(2π,3)))=-feq \b\lc\(\rc\)(\a\vs4\al\c1(\f(π,6))),则函数f(x)的最小正周期为________.
解析:法一:∵f(x)在区间eq \b\lc\[\rc\](\a\vs4\al\c1(\f(π,6),\f(π,2)))上具有单调性,且feq \b\lc\(\rc\)(\a\vs4\al\c1(\f(π,2)))=feq \b\lc\(\rc\)(\a\vs4\al\c1(\f(2π,3))),∴x=eq \f(π,2)和x=eq \f(2π,3)均不是f(x)的极值点,其极值应该在x=eq \f(\f(π,2)+\f(2π,3),2)=eq \f(7π,12)处取得,∵feq \b\lc\(\rc\)(\a\vs4\al\c1(\f(π,2)))=-feq \b\lc\(\rc\)(\a\vs4\al\c1(\f(π,6))),∴x=eq \f(π,6)也不是函数f(x)的极值点,又f(x)在区间eq \b\lc\[\rc\](\a\vs4\al\c1(\f(π,6),\f(π,2)))上具有单调性,∴x=eq \f(π,6)-eq \b\lc\(\rc\)(\a\vs4\al\c1(\f(7π,12)-\f(π,2)))=eq \f(π,12)为f(x)的另一个相邻的极值点,故函数f(x)的最小正周期T=2×eq \b\lc\(\rc\)(\a\vs4\al\c1(\f(7π,12)-\f(π,12)))=π.
法二:由已知可画出草图,如图所示,则eq \f(T,4)=eq \f(\f(π,2)+\f(2π,3),2)-eq \f(\f(π,2)+\f(π,6),2),解得T=π.
答案:π
B级——难度小题强化练
1.设函数f(x)=sineq \b\lc\(\rc\)(\a\vs4\al\c1(\f(1,2)x+θ))-eq \r(3)cseq \b\lc\(\rc\)(\a\vs4\al\c1(\f(1,2)x+θ))eq \b\lc\(\rc\)(\a\vs4\al\c1(|θ|<\f(π,2)))的图象关于原点对称,则角θ=( )
A.-eq \f(π,6) B.eq \f(π,6)
C.-eq \f(π,3) D.eq \f(π,3)
解析:选D ∵f(x)=2sineq \b\lc\(\rc\)(\a\vs4\al\c1(\f(1,2)x+θ-\f(π,3))),且f(x)的图象关于原点对称,∴f(0)=2sineq \b\lc\(\rc\)(\a\vs4\al\c1(θ-\f(π,3)))=0,即sineq \b\lc\(\rc\)(\a\vs4\al\c1(θ-\f(π,3)))=0,∴θ-eq \f(π,3)=kπ(k∈Z),即θ=eq \f(π,3)+kπ(k∈Z),又|θ|
A.eq \f(π,9) B.eq \f(π,3)
C.eq \f(5π,18) D.eq \f(2π,3)
解析:选C f(x)=sin x+eq \r(3)cs x=2sineq \b\lc\(\rc\)(\a\vs4\al\c1(x+\f(π,3))),将其图象上所有点的横坐标缩短到原来的eq \f(1,3)(纵坐标不变),得y=2sineq \b\lc\(\rc\)(\a\vs4\al\c1(3x+\f(π,3)))的图象,再将得到的图象上所有的点向右平移θ(θ>0)个单位长度,得y=2sineq \b\lc\[\rc\](\a\vs4\al\c1(3x-θ+\f(π,3)))=2sineq \b\lc\(\rc\)(\a\vs4\al\c1(3x+\f(π,3)-3θ))的图象.由y=2sineq \b\lc\(\rc\)(\a\vs4\al\c1(3x+\f(π,3)-3θ))的图象关于y轴对称得eq \f(π,3)-3θ=eq \f(π,2)+kπ,k∈Z,即θ=-eq \f(6k+1,18)π,k∈Z,又θ>0,故当k=-1时,θ取得最小值eq \f(5π,18),故选C.
3.已知函数f(x)=sin(sin x)+cs(sin x),x∈R,则下列说法正确的是( )
A.函数f(x)是周期函数且最小正周期为π
B.函数f(x)是奇函数
C.函数f(x)在区间eq \b\lc\[\rc\](\a\vs4\al\c1(0,\f(π,2)))上的值域为[1,eq \r(2)]
D.函数f(x)在eq \b\lc\[\rc\](\a\vs4\al\c1(\f(π,4),\f(π,2)))上是增函数
解析:选C f(x)=sin(sin x)+cs(sin x)=eq \r(2)sineq \b\lc\(\rc\)(\a\vs4\al\c1(sin x+\f(π,4))),因为f(π+x)=eq \r(2)sineq \b\lc\[\rc\](\a\vs4\al\c1(sinx+π+\f(π,4)))=eq \r(2)sineq \b\lc\(\rc\)(\a\vs4\al\c1(-sin x+\f(π,4)))≠f(x),所以π不是函数f(x)的最小正周期,故A错误;f(-x)=eq \r(2)sineq \b\lc\[\rc\](\a\vs4\al\c1(sin-x+\f(π,4)))=eq \r(2)sineq \b\lc\(\rc\)(\a\vs4\al\c1(-sin x+\f(π,4)))≠-f(x),故B错误;当x∈eq \b\lc\[\rc\](\a\vs4\al\c1(0,\f(π,2)))时,sin x∈[0,1],sin x+eq \f(π,4)∈eq \b\lc\[\rc\](\a\vs4\al\c1(\f(π,4),\f(π,4)+1)),所以sineq \b\lc\(\rc\)(\a\vs4\al\c1(sin x+\f(π,4)))∈eq \b\lc\[\rc\](\a\vs4\al\c1(\f(\r(2),2),1)),则eq \r(2)sineq \b\lc\(\rc\)(\a\vs4\al\c1(sin x+\f(π,4)))∈[1,eq \r(2)],
故C正确;当x∈eq \b\lc\[\rc\](\a\vs4\al\c1(\f(π,4),\f(π,2)))时,sin x∈eq \b\lc\[\rc\](\a\vs4\al\c1(\f(\r(2),2),1)),sin x+eq \f(π,4)∈eq \b\lc\[\rc\](\a\vs4\al\c1(\f(\r(2),2)+\f(π,4),1+\f(π,4))),而eq \f(π,2)∈eq \b\lc\[\rc\](\a\vs4\al\c1(\f(\r(2),2)+\f(π,4),1+\f(π,4))),所以函数f(x)在eq \b\lc\[\rc\](\a\vs4\al\c1(\f(π,4),\f(π,2)))上不是单调函数,故D错误.
4.函数f(x)=Acseq \b\lc\(\rc\)(\a\vs4\al\c1(ωx+φ))(ω>0)的部分图象如图所示,给出以下结论:
①f(x)的最大值为A;
②f(x)的最小正周期为2;
③f(x)图象的一条对称轴为直线x=-eq \f(1,2);
④f(x)在eq \b\lc\(\rc\)(\a\vs4\al\c1(2k-\f(1,4),2k+\f(3,4))),k∈Z上是减函数.
则正确结论的个数为( )
A.1 B.2
C.3 D.4
解析:选B 若A>0,则最大值是A,若A<0,则最大值是-A,故①不正确;由题图可知,函数f(x)的最小正周期T=2×eq \b\lc\(\rc\)(\a\vs4\al\c1(\f(5,4)-\f(1,4)))=2,故②正确;因为函数f(x)的图象过点eq \b\lc\(\rc\)(\a\vs4\al\c1(\f(1,4),0))和eq \b\lc\(\rc\)(\a\vs4\al\c1(\f(5,4),0)),所以函数f(x)图象的对称轴为直线x=eq \f(1,2)eq \b\lc\(\rc\)(\a\vs4\al\c1(\f(1,4)+\f(5,4)))+eq \f(kT,2)=eq \f(3,4)+k(k∈Z),而eq \f(3,4)+k=-eq \f(1,2)无整数解,故直线x=-eq \f(1,2)不是函数f(x)图象的对称轴,故③不正确;由图可知,当eq \f(1,4)-eq \f(T,4)+kT≤x≤eq \f(1,4)+eq \f(T,4)+kT(k∈Z),即2k-eq \f(1,4)≤x≤2k+eq \f(3,4)(k∈Z)时,f(x)是减函数,故④正确.故选B.
5.若函数y=sin2x+acs x+eq \f(5,8)a-eq \f(3,2)在闭区间eq \b\lc\[\rc\](\a\vs4\al\c1(0,\f(π,2)))上的最大值是1,则实数a的值为________.
解析:y=1-cs2x+acs x+eq \f(5,8)a-eq \f(3,2)=-eq \b\lc\(\rc\)(\a\vs4\al\c1(cs x-\f(a,2)))2+eq \f(a2,4)+eq \f(5,8)a-eq \f(1,2).∵0≤x≤eq \f(π,2),∴0≤cs x≤1.
①若eq \f(a,2)>1,即a>2,则当cs x=1时,ymax=a+eq \f(5,8)a-eq \f(3,2)=1⇒a=eq \f(20,13)<2(舍去);
②若0≤eq \f(a,2)≤1,即0≤a≤2,则当cs x=eq \f(a,2)时,ymax=eq \f(a2,4)+eq \f(5,8)a-eq \f(1,2)=1,∴a=eq \f(3,2)或a=-4<0(舍去);
③若eq \f(a,2)<0,即a<0,则当cs x=0时,ymax=eq \f(5,8)a-eq \f(1,2)=1⇒a=eq \f(12,5)>0(舍去).
答案:eq \f(3,2)
6.已知函数f(x)=eq \r(2)asin(πωx+φ)eq \b\lc\(\rc\)(\a\vs4\al\c1(a≠0,ω>0,|φ|≤\f(π,2))),直线y=a与f(x)的图象的相邻两个交点的横坐标分别是2和4,现有如下命题:
①该函数在[2,4]上的值域是[a,eq \r(2)a];
②在[2,4]上,当且仅当x=3时函数取得最大值;
③该函数的最小正周期可以是eq \f(8,3);
④f(x)的图象可能过原点.
其中是真命题的为________(写出序号即可).
解析:对于①,∵直线y=a与函数f(x)=eq \r(2)asin(πωx+φ)的图象的相邻两个交点的横坐标分别为2和4,∴结合图象可以看出,当a>0时,f(x)在[2,4]上的值域为[a,eq \r(2)a],当a<0时,f(x)在[2,4]上的值域为[eq \r(2)a,a],①错误;
对于②,根据三角函数图象的对称性,显然x=2和x=4的中点是x=3,即当a>0时,f(x)在x=3处有最大值f(3)=eq \r(2)a,当a<0时,f(x)在x=3处有最小值f(3)=eq \r(2)a,②错误;
对于③,∵函数f(x)=eq \r(2)asin(πωx+φ)的最小正周期T=eq \f(2π,πω)=eq \f(2,ω),当ω=eq \f(3,4)时,T=eq \f(8,3)>4-2=2,因此f(x)的最小正周期可以是eq \f(8,3),③正确;
对于④,f(0)=eq \r(2)asin φ,令f(0)=0,得φ=0,此时f(x)=eq \r(2)asin πωx,
由eq \r(2)asin πωx=a得sin πωx=eq \f(\r(2),2),
则πωx=2kπ+eq \f(π,4)(k∈Z)或πωx=2kπ+eq \f(3π,4)(k∈Z),
∴x=eq \f(2k+\f(1,4),ω)(k∈Z)或x=eq \f(2k+\f(3,4),ω)(k∈Z),
∵直线y=a与函数f(x)=eq \r(2)asin(πωx+φ)的图象的相邻两个交点的横坐标分别为2和4,
∴令eq \b\lc\{\rc\ (\a\vs4\al\c1(\f(2k+\f(1,4),ω)=2,,\f(2k+\f(3,4),ω)=4,))解得k=eq \f(1,8)∉Z,即不存在这样的k符合题意,④错误.
综上,只有③正确.
答案:③
高考数学(理数)二轮复习课时跟踪检测23《不等式》小题练(教师版): 这是一份高考数学(理数)二轮复习课时跟踪检测23《不等式》小题练(教师版),共6页。试卷主要包含了选择题,填空题等内容,欢迎下载使用。
高考数学(理数)二轮复习课时跟踪检测24《导数的简单应用》小题练(教师版): 这是一份高考数学(理数)二轮复习课时跟踪检测24《导数的简单应用》小题练(教师版),共8页。试卷主要包含了选择题,填空题等内容,欢迎下载使用。
高考数学(理数)二轮复习课时跟踪检测21《函数的图象与性质》小题练(教师版): 这是一份高考数学(理数)二轮复习课时跟踪检测21《函数的图象与性质》小题练(教师版),共7页。试卷主要包含了选择题,填空题等内容,欢迎下载使用。

