- 知识讲解_ 奇偶性_基础练习题 试卷 3 次下载
- 巩固练习_集合及集合的表示_提高 试卷 11 次下载
- 知识讲解_指数函数、对数函数、幂函数综合_基础练习题 试卷 3 次下载
- 知识讲解_指数与指数幂的运算_基础练习题 试卷 3 次下载
- 知识讲解-函数及其表示方法-基础练习题 试卷 2 次下载
巩固练习_指数与指数幂的运算_提高
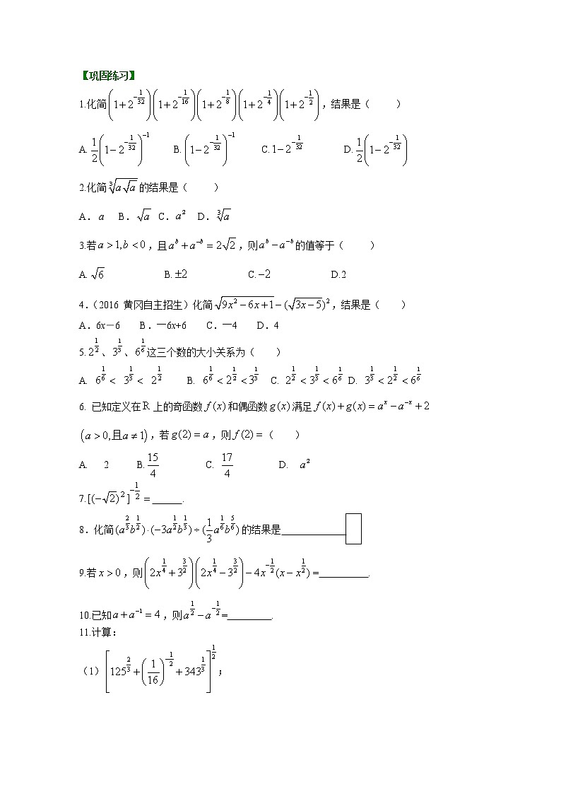
展开【巩固练习】
1.化简,结果是( )
A. B. C. D.
2.化简的结果是( )
A. a B. C. D.
3.若,且,则的值等于( )
A. B. C. D.2
4.(2016 黄冈自主招生)化简,结果是( )
A.6x―6 B.―6x+6 C.―4 D.4
5.、、这三个数的大小关系为( )
A. B. C. D.
6. 已知定义在上的奇函数和偶函数满足
,若,则( )
A. 2 B. C. D.
7. .
8.化简的结果是
9.若,则= .
10.已知,则= .
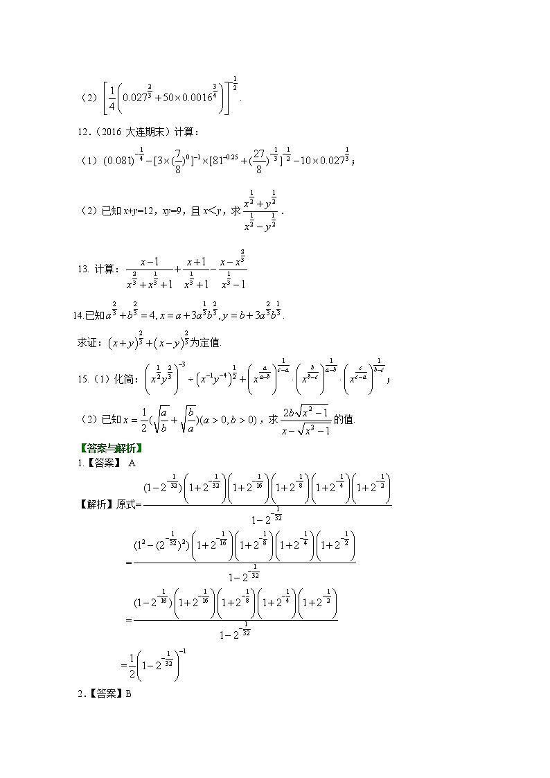
11.计算:
(1);
(2).
12.(2016 大连期末)计算:
(1);
(2)已知x+y=12,xy=9,且x<y,求.
13. 计算:
14.已知.
求证:为定值.
15.(1)化简:;
(2)已知,求的值.
【答案与解析】
1.【答案】 A
【解析】原式=
=
=
=
2.【答案】B
【解析】
故选B.
3. 【答案】C
【解析】因为,所以,即.同理,又因为,所以,故.
4.【答案】D
【解析】∵,
∴,∴,
∴
故选D.
5. 【答案】B
【解析】,,.,.
6.【答案】B
【解析】因为,又是奇函数,是偶函数,所以,所以,,两式联立解得,进一步求得.
7.【答案】
【解析】原式=.
8.【答案】
【解析】原式
9.【答案】-23
【解析】原式===4-27=-23.
10.【答案】
【解析】因为,所以.
11.【解析】(1)原式=.
(2)原式=
=
=
=
=
12.【答案】(1)0;(2)
【解析】(1)原式.
(2)原式
13. 【解析】原式=
=
=
=0
14.证明:
同理
原式=2,结论得证.
15.解:(1)原式==+
=
(2)因为,
所以 ,
所以
故当 a>b时, =a-b.当a=b时,=0.当a<b时,.
巩固练习_指数函数及其性质_提高: 这是一份巩固练习_指数函数及其性质_提高,共6页。
知识讲解_指数与指数幂的运算_基础练习题: 这是一份知识讲解_指数与指数幂的运算_基础练习题,共9页。
知识讲解_指数与指数幂的运算_提高练习题: 这是一份知识讲解_指数与指数幂的运算_提高练习题,共9页。

