数学苏科版9.2 单项式乘多项式导学案
展开
第二讲:多项式的乘法法则
一、主要内容
1、单项式与多项式相乘的运算法则
2、多项式与多项式相乘的运算法则
二、基本概念
1、单项式与多项式相乘的运算法则
单项式与多项式相乘,就是用单项式去乘多项式的每一项,再把所得的积相加.
即.
要点诠释:(1)单项式与多项式相乘的计算方法,实质是利用乘法的分配律将其转化为多个单项式乘单项式的问题.
(2)单项式与多项式的乘积仍是一个多项式,项数与原多项式的项数相同.
(3)计算的过程中要注意符号问题,多项式中的每一项包括它前面的符号,同时还要注意单项式的符号.
(4)对混合运算,应注意运算顺序,最后有同类项时,必须合并,从而得到最简的结果.
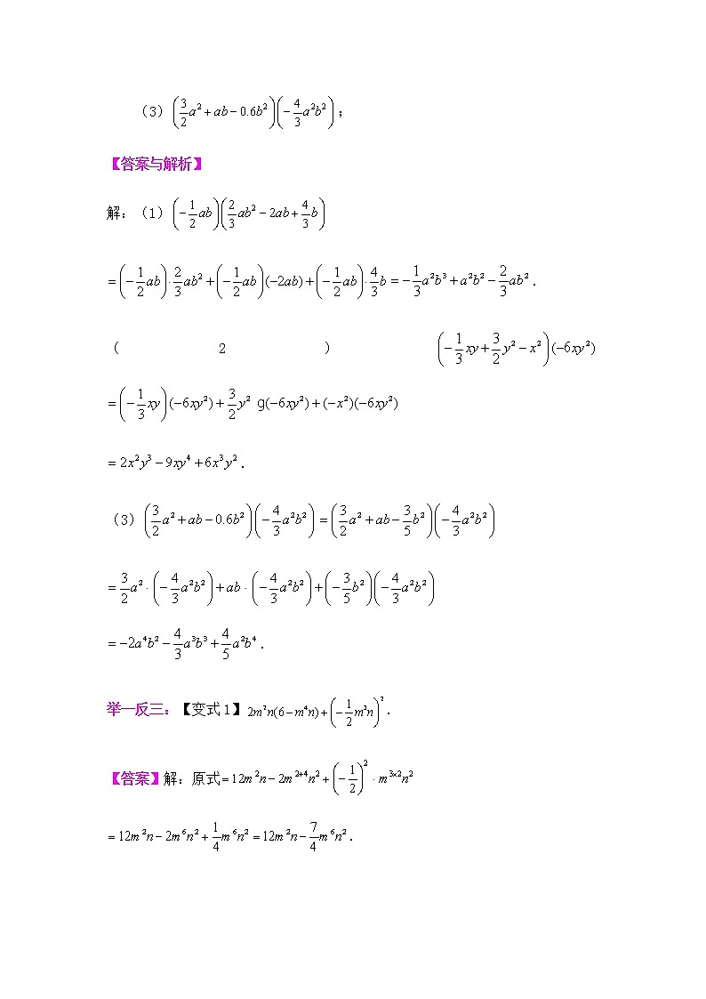
2、 计算:
(1);(2);
(3);
举一反三:【变式1】.
【变式2】若为自然数,试说明整式的值一定是3的倍数.
2、多项式与多项式相乘的运算法则
多项式与多项式相乘,先用一个多项式的每一项乘另一个多项式的每一项,再把所得的积相加.即.
要点诠释:多项式与多项式相乘,仍得多项式.在合并同类项之前,积的项数应该等于两个多项式的项数之积.多项式与多项式相乘的最后结果需化简,有同类项的要合并.特殊的二项式相乘:.
3、计算:
(1); (2);
(3); (4).
4、解方程:(x+7)(x+5)﹣(x+1)(x+5)=42.
举一反三:【变式】求出使成立的非负整数解.
三、课堂讲解
1、计算:
(1) (2)
2、化简:x(x﹣1)+2x(x+1)﹣3x(2x﹣5).
3、先化简,再求值3a(2a2﹣4a+3)﹣2a2(3a+4),其中a=﹣2.
4、若,求的值.
5、若多项式与的积不含项,也不含项,求和的值.
【达标检测】
一.选择题
1.下列算式中正确的是( ).
A. B. C. D.
2.的结果是( ).
A. B. C. D.
3.下列计算正确的是( )
A.x(x2﹣x﹣1)=x3﹣x﹣1 B.ab(a+b)=a2+b2
C.3x(x2﹣2x﹣1)=3x3﹣6x2﹣3x D.﹣2x(x2﹣x﹣1)=﹣2x3﹣2x2+2x
4.已知,那么的值为( ).
A.-2 B.2 C.-5 D.5
5. 要使成立,则,的值分别是( ).
A. B.
C. D.
6.设M=,N=,则M与N的关系为( ).
A.M<N B.M>N C.M=N D.不能确定
二.填空题
7. 已知三角形的底边为,高是,则三角形的面积是_________.
8. 计算:①=________;②=______;
③=_______;④=______.
9. 方程的解为________.
10. .
11.若化简(ax+3y)(x﹣y)的结果中不含xy项,则a的值为 .
12. 若,,则=____________.
三.解答题
13.先阅读后作答:我们已经知道,根据几何图形的面积关系可以说明完全平方公式,实际上还有一些等式也可以用这种方式加以说明,例如:
=,就可以用图1的面积关系来说明.
① 根据图2写出一个等式 ;
② 已知等式:=,请你画出一个相应的几何图形加以说明.
14.已知的展开式中不含和项,求的值.
初中数学苏科版七年级下册第9章 整式乘法与因式分解9.2 单项式乘多项式导学案及答案: 这是一份初中数学苏科版七年级下册第9章 整式乘法与因式分解9.2 单项式乘多项式导学案及答案,文件包含苏科版七年级数学下册同步精品讲义92单项式乘多项式教师版docx、苏科版七年级数学下册同步精品讲义92单项式乘多项式学生版docx等2份学案配套教学资源,其中学案共33页, 欢迎下载使用。
苏科版七年级下册第9章 从面积到乘法公式综合与测试学案及答案: 这是一份苏科版七年级下册第9章 从面积到乘法公式综合与测试学案及答案,文件包含苏教版7下数学98《整式乘法与因式分解》复习1-学生1docx、苏教版7下数学98《整式乘法与因式分解》复习1-教师1docx等2份学案配套教学资源,其中学案共14页, 欢迎下载使用。
综合复习(2)-2020-2021学年苏科版七年级数学下册讲义(学生版+教师版)学案: 这是一份综合复习(2)-2020-2021学年苏科版七年级数学下册讲义(学生版+教师版)学案,文件包含苏教版7下数学总复习2-学生docx、苏教版7下数学总复习2-教师docx等2份学案配套教学资源,其中学案共14页, 欢迎下载使用。

